Τελευταία ενημέρωση :
27/01/2026
Αντιμυκητικό   Anidulafungin  
Ενέσιμο
Σταθερότητα διαλυμάτων Σταθερότητα σε μίγματα Παράγοντας που επηρεάζει τη σταθερότητα Συμβατότητες Τρόπος χορήγησης Βιβλιογραφία pdf
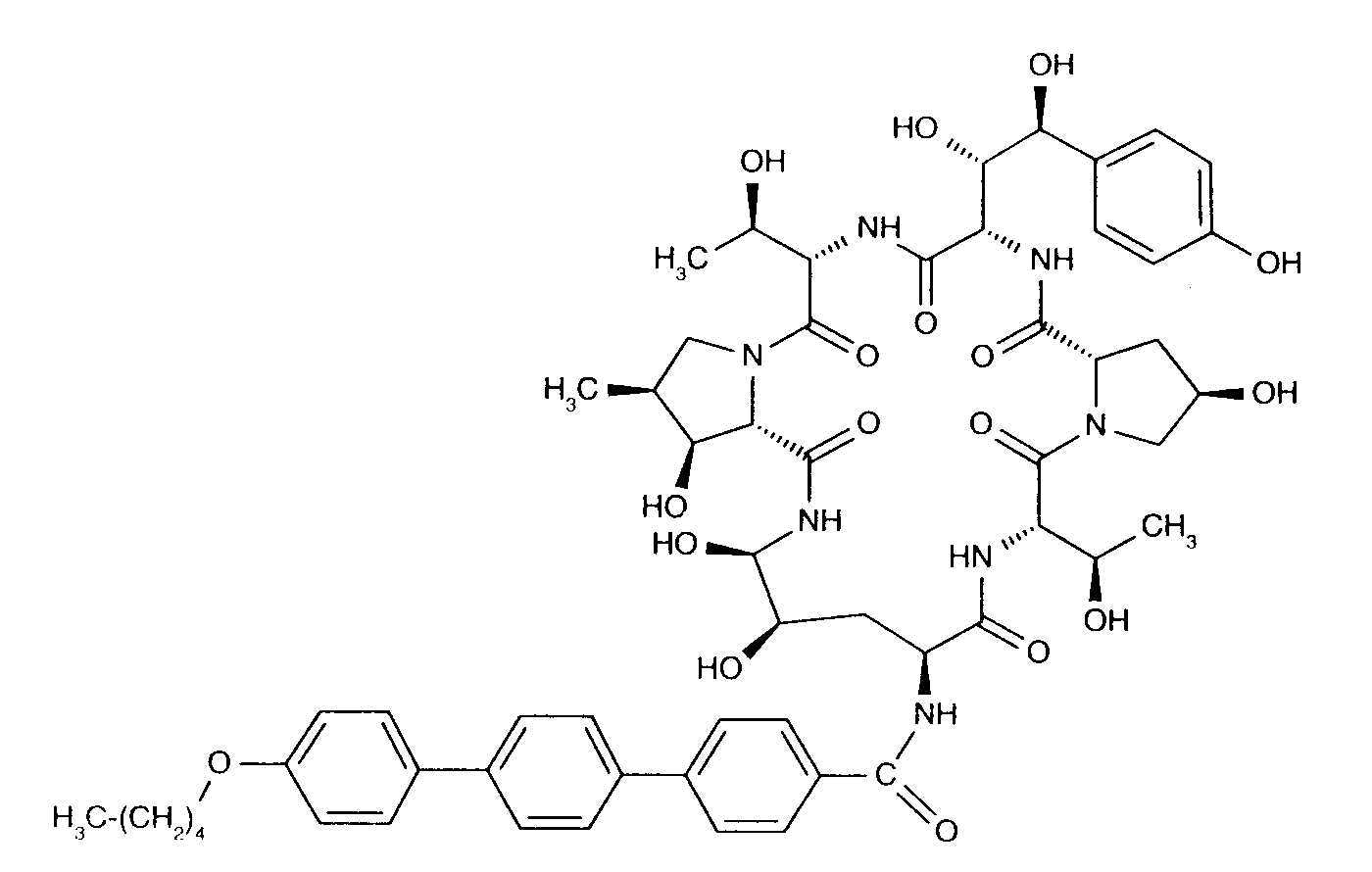
   χημική δομή  

Εμπορική ονομασία   Εμπορική ονομασία     

Οι εμπορικές ονομασίες είναι ενδεικτικές και η σύνθεση των εκδόχων μπορεί να διαφέρει ανάλογα με τη χώρα και τα εργαστήρια

Anidulafungin Βέλγιο, Γερμανία, Μεγάλη Βρετανία
Anidulafungina Βραζιλία, Ισπανία
Ecalta Αργεντινή, Βέλγιο, Βενεζουέλα, Βραζιλία, Γαλλία, Γερμανία, Δανία, Ελβετία, Ελλάδα, Η.Π.Α., Ισπανία, Ιταλία, Καναδάς, Κολομβία, Λουξεμβούργο, Μαλαισία, Μεγάλη Βρετανία, Νορβηγία, Ολλανδία, Ουγγαρία, Περού, Πολωνία, Ρουμανία, Σουηδία, Τουρκία, Φινλανδία, Χιλή
Equalta Μεξικό
Eraxis Αυστραλία, Η.Π.Α., Καναδάς
Fuzig Μεξικό
Συμβατότητες    Ενέσιμο   Συμβατότητες : Anidulafungin              
Σε αυτή την οθόνη εμφανίζονται οι συμβατότητες ή ασυμβατότητες. Σε αυτή την περίπτωση εμφανίζονται το είδος της ασυμβατότητας (ίζημα, αλλαγή χρώματος, μεταβολή γαλακτώματος, κλπ). Οι συμβατότητες που παρουσιάζονται εδώ είναι κυρίως φυσικές, ενώ η χημική σταθερότητα κάθε μορίου σπάνια περιλαμβάνεται. Η αξιολόγηση αυτών των μιγμάτων μελετήθηκε προκειμένου να εκτιμηθεί η πιθανότητα χορήγησης στον ασθενή στο Υ κέντρο. Τα δεδομένα αυτά δεν μπορούν να χρησιμοποιηθούν για την εκ των προτέρων δημιουργία μιγμάτων σε ασκούς ή σύριγγες. Αυτό το είδος πληροφορίας υπάρχει και μπορεί να αναζητηθεί στην οθόνη «Σταθερότητα σε μίγμα».
Συστατικό Διαλυτικό Βιβλιογραφία
Σύμφωνος
Ενέσιμο Anidulafungin 0.5 mg/ml
Ενέσιμο Aciclovir sodium 7 mg/ml
Γλυκόζη 5% 1982
Σύμφωνος
Ενέσιμο Anidulafungin 0.5 mg/ml
Ενέσιμο Amikacin sulfate 5 mg/ml
Γλυκόζη 5% 1982
Σύμφωνος
Ενέσιμο Anidulafungin 0.5 mg/ml
Ενέσιμο Aminophylline 2.5 mg/ml
Γλυκόζη 5% 1982
Άμεση θολότητα Ασύμβατες
Ενέσιμο Anidulafungin 0,5 mg/ml
Ενέσιμο Amphotericin B 0,6 mg/ml
Γλυκόζη 5% 1982
Σύμφωνος
Ενέσιμο Anidulafungin 0.5 mg/ml
Ενέσιμο Amphotericin B cholesteryl sulfate complex 1 mg/ml
Γλυκόζη 5% 1982
Σύμφωνος
Ενέσιμο Anidulafungin 0.5 mg/ml
Ενέσιμο Amphotericin B liposomale 1 mg/ml
Γλυκόζη 5% 1982
Σύμφωνος
Ενέσιμο Anidulafungin 0.5 mg/ml
Ενέσιμο Ampicillin sodium 20 mg/ml
Γλυκόζη 5% 1982
Σύμφωνος
Ενέσιμο Anidulafungin 0.5 mg/ml
Ενέσιμο Ampicillin sodium - sulbactam sodium 20/10 mg/ml
Γλυκόζη 5% 1982
Σύμφωνος
Ενέσιμο Anidulafungin 0.5 mg/ml
Ενέσιμο Carboplatin 5 mg/ml
Γλυκόζη 5% 1982
Σύμφωνος
Ενέσιμο Anidulafungin 0.5 mg/ml
Ενέσιμο Cefazolin sodium 20 mg/ml
Γλυκόζη 5% 1982
Σύμφωνος
Ενέσιμο Anidulafungin 0.5 mg/ml
Ενέσιμο Cefepime dihydrochloride 20 mg/ml
Γλυκόζη 5% 1982
Σύμφωνος
Ενέσιμο Anidulafungin 0.77 mg/ml
Ενέσιμο Cefiderocol sulfate tosylate 20 mg/mL
Χλωριούχο νάτριο 0,9% 4528
Σύμφωνος
Ενέσιμο Anidulafungin 0.77 mg/ml
Ενέσιμο Cefiderocol sulfate tosylate 20 mg/mL
Γλυκόζη 5% 4528
Σύμφωνος
Ενέσιμο Anidulafungin 0.5 mg/ml
Ενέσιμο Cefoxitin sodium 20 mg/ml
Γλυκόζη 5% 1982
Σύμφωνος
Ενέσιμο Anidulafungin 0.5 mg/ml
Ενέσιμο Ceftazidime 40 mg/ml
Γλυκόζη 5% 1982
Σύμφωνος
Ενέσιμο Anidulafungin 0.5 mg/ml
Ενέσιμο Ceftizoxime sodium 20 mg/ml
Γλυκόζη 5% 1982
Σύμφωνος
Ενέσιμο Anidulafungin 0.77 mg/ml
Ενέσιμο Ceftolozane / tazobactam 10/5 mg/ml
Χλωριούχο νάτριο 0,9% 3828
Σύμφωνος
Ενέσιμο Anidulafungin 0.77 mg/ml
Ενέσιμο Ceftolozane / tazobactam 10/5 mg/ml
Γλυκόζη 5% 3828
Σύμφωνος
Ενέσιμο Anidulafungin 0.5 mg/ml
Ενέσιμο Ceftriaxone disodium 20 mg/ml
Γλυκόζη 5% 1982
Σύμφωνος
Ενέσιμο Anidulafungin 0.5 mg/ml
Ενέσιμο Cefuroxime sodium 30 mg/ml
Γλυκόζη 5% 1982
Σύμφωνος
Ενέσιμο Anidulafungin 0.5 mg/ml
Ενέσιμο Ciclosporin 5 mg/ml
Γλυκόζη 5% 1982
Σύμφωνος
Ενέσιμο Anidulafungin 0.5 mg/ml
Ενέσιμο Cimetidine hydrochloride 12 mg/ml
Γλυκόζη 5% 1982
Σύμφωνος
Ενέσιμο Anidulafungin 0.5 mg/ml
Ενέσιμο Ciprofloxacin lactate 2 mg/ml
Γλυκόζη 5% 1982
Σύμφωνος
Ενέσιμο Anidulafungin 0.5 mg/ml
Ενέσιμο Cisplatin 1 mg/ml
Γλυκόζη 5% 1982
Σύμφωνος
Ενέσιμο Anidulafungin 0.5 mg/ml
Ενέσιμο Clindamycin phosphate 10 mg/ml
Γλυκόζη 5% 1982
Σύμφωνος
Ενέσιμο Anidulafungin 0.5 mg/ml
Ενέσιμο Co-trimoxazole 4/0.8 mg/ml
Γλυκόζη 5% 1982
Σύμφωνος
Ενέσιμο Anidulafungin 0.5 mg/ml
Ενέσιμο Cyclophosphamide 10 mg/ml
Γλυκόζη 5% 1982
Σύμφωνος
Ενέσιμο Anidulafungin 0.5 mg/ml
Ενέσιμο Cytarabine 50 mg/ml
Γλυκόζη 5% 1982
Σύμφωνος
Ενέσιμο Anidulafungin 0.5 mg/ml
Ενέσιμο Daunorubicin hydrochloride 1 mg/ml
Γλυκόζη 5% 1982
Σύμφωνος
Ενέσιμο Anidulafungin 0.5 mg/ml
Ενέσιμο Dexamethasone sodium phosphate 1 mg/ml
Γλυκόζη 5% 1982
Σύμφωνος
Ενέσιμο Anidulafungin 0.5 mg/ml
Ενέσιμο Digoxin 250 µg/ml
Γλυκόζη 5% 1982
Σύμφωνος
Ενέσιμο Anidulafungin 0.5 mg/ml
Ενέσιμο Dobutamine hydrochloride 4 mg/ml
Γλυκόζη 5% 1982
Σύμφωνος
Ενέσιμο Anidulafungin 0.5 mg/ml
Ενέσιμο Docetaxel 2 mg/ml
Γλυκόζη 5% 1982
Σύμφωνος
Ενέσιμο Anidulafungin 0.5 mg/ml
Ενέσιμο Dopamine hydrochloride 3.2 mg/ml
Γλυκόζη 5% 1982
Σύμφωνος
Ενέσιμο Anidulafungin 0,5 mg/ml
Ενέσιμο Doripenem 5 mg/ml
Χλωριούχο νάτριο 0,9% 2262
Σύμφωνος
Ενέσιμο Anidulafungin 0,5 mg/ml
Ενέσιμο Doripenem 5 mg/ml
Γλυκόζη 5% 2262
Σύμφωνος
Ενέσιμο Anidulafungin 0.5 mg/ml
Ενέσιμο Doxorubicin hydrochloride 2 mg/ml
Γλυκόζη 5% 1982
Σύμφωνος
Ενέσιμο Anidulafungin 0.5 mg/ml
Ενέσιμο Epinephrine hydrochloride 50 µg/ml
Γλυκόζη 5% 1982
Άμεση βροχόπτωση Ασύμβατες
Ενέσιμο Anidulafungin 0.5 mg/ml
Ενέσιμο Ertapenem 20 mg/ml
Γλυκόζη 5% 1982
Σύμφωνος
Ενέσιμο Anidulafungin 0.5 mg/ml
Ενέσιμο Erythromycin lactobionate 5 mg/ml
Γλυκόζη 5% 1982
Σύμφωνος
Ενέσιμο Anidulafungin 0.5 mg/ml
Ενέσιμο Etoposide phosphate 5 mg/ml
Γλυκόζη 5% 1982
Σύμφωνος
Ενέσιμο Anidulafungin 0.5 mg/ml
Ενέσιμο Famotidine 2 mg/ml
Γλυκόζη 5% 1982
Σύμφωνος
Ενέσιμο Anidulafungin 0.5 mg/ml
Ενέσιμο Fentanyl citrate 50 µg/ml
Γλυκόζη 5% 1982
Σύμφωνος
Ενέσιμο Anidulafungin 0.5 mg/ml
Ενέσιμο Fluconazole 2 mg/ml
Γλυκόζη 5% 1982
Σύμφωνος
Ενέσιμο Anidulafungin 0.5 mg/ml
Ενέσιμο Fluorouracil 16 mg/ml
Γλυκόζη 5% 1982
Σύμφωνος
Ενέσιμο Anidulafungin 0.5 mg/ml
Ενέσιμο Folinate calcium 2 mg/ml
Γλυκόζη 5% 1982
Καταβύθιση μετά από 1 ώρα Ασύμβατες
Ενέσιμο Anidulafungin 0,77 mg/ml
Ενέσιμο Fosfomycin 30 mg/ml
Χλωριούχο νάτριο 0,9% 4055
Βροχόπτωση μετά από 15 λεπτά Ασύμβατες
Ενέσιμο Anidulafungin 0,77 mg/ml
Ενέσιμο Fosfomycin 30 mg/ml
Γλυκόζη 5% 4055
Σύμφωνος
Ενέσιμο Anidulafungin 0.5 mg/ml
Ενέσιμο Furosemide 3 mg/ml
Γλυκόζη 5% 1982
Σύμφωνος
Ενέσιμο Anidulafungin 0.5 mg/ml
Ενέσιμο Ganciclovir sodium 20 mg/ml
Γλυκόζη 5% 1982
Σύμφωνος
Ενέσιμο Anidulafungin 0.5 mg/ml
Ενέσιμο Gemcitabine hydrochloride 10 mg/ml
Γλυκόζη 5% 1982
Σύμφωνος
Ενέσιμο Anidulafungin 0.5 mg/ml
Ενέσιμο Gentamicin sulfate 5 mg/ml
Γλυκόζη 5% 1982
Σύμφωνος
Ενέσιμο Anidulafungin 0.5 mg/ml
Ενέσιμο Heparin sodium 100 UI/ml
Γλυκόζη 5% 1982
Σύμφωνος
Ενέσιμο Anidulafungin 0.5 mg/ml
Ενέσιμο Hydrocortisone sodium succinate 1 mg/ml
Γλυκόζη 5% 1982
Σύμφωνος
Ενέσιμο Anidulafungin 0.5 mg/ml
Ενέσιμο Ifosfamide 25 mg/ml
Γλυκόζη 5% 1982
Σύμφωνος
Ενέσιμο Anidulafungin
Γλυκόζη 5% 3567
Σύμφωνος
Ενέσιμο Anidulafungin 0.5 mg/ml
Ενέσιμο Hydromorphone hydrochloride 0.5 mg/ml
Γλυκόζη 5% 1982
Σύμφωνος
Ενέσιμο Anidulafungin 0.5 mg/ml
Ενέσιμο Imipenem - cilastatin sodium 5 mg/ml
Γλυκόζη 5% 1982
Σύμφωνος
Ενέσιμο Anidulafungin 0.77 mg/ml
Ενέσιμο Isavuconazonium sulfate 1.5 mg/ml
Χλωριούχο νάτριο 0,9% 3829
Σύμφωνος
Ενέσιμο Anidulafungin 0.77 mg/ml
Ενέσιμο Isavuconazonium sulfate 1.5 mg/ml
Γλυκόζη 5% 3829
Σύμφωνος
Ενέσιμο Anidulafungin 0.5 mg/ml
Ενέσιμο Levofloxacine 5 mg/ml
Γλυκόζη 5% 1982
Σύμφωνος
Ενέσιμο Anidulafungin 0.5 mg/ml
Ενέσιμο Linezolid 2 mg/ml
Γλυκόζη 5% 1982
Σύμφωνος
Ενέσιμο Anidulafungin 0.5 mg/ml
Ενέσιμο Meropenem 2.5 mg/ml
Γλυκόζη 5% 1982
Σύμφωνος
Ενέσιμο Anidulafungin 0.5 mg/ml
Ενέσιμο Methylprednisolone sodium succinate 5 mg/ml
Γλυκόζη 5% 1982
Σύμφωνος
Ενέσιμο Anidulafungin 0.5 mg/ml
Ενέσιμο Metronidazole 5 mg/ml
Γλυκόζη 5% 1982
Σύμφωνος
Ενέσιμο Anidulafungin 0.5 mg/ml
Ενέσιμο Midazolam hydrochloride 1 mg/ml
Γλυκόζη 5% 1982
Σύμφωνος
Ενέσιμο Anidulafungin 0.5 mg/ml
Ενέσιμο Morphine sulfate 15 mg/ml
Γλυκόζη 5% 1982
Σύμφωνος
Ενέσιμο Anidulafungin 0.5 mg/ml
Ενέσιμο Mycophenolate mofetil 6 mg/ml
Γλυκόζη 5% 1982
Σύμφωνος
Ενέσιμο Anidulafungin 0.5 mg/ml
Ενέσιμο Paclitaxel 0.6 mg/ml
Γλυκόζη 5% 1982
Σύμφωνος
Ενέσιμο Anidulafungin 0.5 mg/ml
Ενέσιμο Pantoprazole sodium 0.4 mg/ml
Γλυκόζη 5% 1982
Σύμφωνος
Ενέσιμο Anidulafungin 0.5 mg/ml
Ενέσιμο Pethidine hydrochloride 10 mg/ml
Γλυκόζη 5% 1982
Σύμφωνος
Ενέσιμο Anidulafungin 0.5 mg/ml
Ενέσιμο Phenylephrine hydrochloride 1 mg/ml
Γλυκόζη 5% 1982
Σύμφωνος
Ενέσιμο Anidulafungin 0.5 mg/ml
Ενέσιμο Piperacillin sodium / tazobactam 40/5 mg/ml
Γλυκόζη 5% 1982
Θολότητα σε 15 λεπτά Ασύμβατες
Ενέσιμο Anidulafungin 0,77 mg/ml
Ενέσιμο Plazomicin sulfate 24 mg/ml
Χλωριούχο νάτριο 0,9% 4145
Σύμφωνος
Ενέσιμο Anidulafungin 0.5 mg/ml
Ενέσιμο Potassium chloride 0.1 mEq/l
Γλυκόζη 5% 1982
Σύμφωνος
Ενέσιμο Anidulafungin 0.5 mg/ml
Ενέσιμο Quinupristine/dalfopristine 5 mg/ml
Γλυκόζη 5% 1982
Σύμφωνος
Ενέσιμο Anidulafungin 0.5 mg/ml
Ενέσιμο Ranitidine hydrochloride 2 mg/ml
Γλυκόζη 5% 1982
Άμεση θολότητα Ασύμβατες
Ενέσιμο Anidulafungin 0.5 mg/ml
Ενέσιμο Sodium bicarbonate 84 mg/ml
Γλυκόζη 5% 1982
Σύμφωνος
Ενέσιμο Anidulafungin 0,77 mg/ml
Ενέσιμο Sulbactam/durlobactam 15/15 mg/ml
Χλωριούχο νάτριο 0,9% 4801
Σύμφωνος
Ενέσιμο Anidulafungin 0.5 mg/ml
Ενέσιμο Tacrolimus 20 µg/ml
Γλυκόζη 5% 1982
Σύμφωνος
Ενέσιμο Anidulafungin 0.77 mg/ml
Ενέσιμο Tedizolid phosphate 0.8 mg/ml
Χλωριούχο νάτριο 0,9% 3827
Σύμφωνος
Ενέσιμο Anidulafungin 0.5 mg/ml
Ενέσιμο Ticarcillin / clavulanic acid 31 mg/ml
Γλυκόζη 5% 1982
Σύμφωνος
Ενέσιμο Anidulafungin 0.5 mg/ml
Ενέσιμο Tobramycin sulfate 5 mg/ml
Γλυκόζη 5% 1982
Σύμφωνος
Ενέσιμο Anidulafungin 0.5 mg/ml
Ενέσιμο Vancomycin hydrochloride 10 mg/ml
Γλυκόζη 5% 1982
Σύμφωνος
Ενέσιμο Anidulafungin 0.5 mg/ml
Ενέσιμο Vincristine sulfate 0.05 mg/ml
Γλυκόζη 5% 1982
Σύμφωνος
Ενέσιμο Anidulafungin 0.5 mg/ml
Ενέσιμο Voriconazole 4 mg/ml
Γλυκόζη 5% 1982
Σύμφωνος
Ενέσιμο Anidulafungin
Χλωριούχο νάτριο 0,9% 3567
Σύμφωνος
Ενέσιμο Anidulafungin 0.5 mg/ml
Ενέσιμο Zidovudine 4 mg/ml
Γλυκόζη 5% 1982
Άμεση θολότητα Ασύμβατες
Ενέσιμο Anidulafungin 0.5 mg/ml
NaHCO3 1982

  Mentions Légales