Siste oppdatering :
27/01/2026
Fungicid   Anidulafungin  
Injeksjon
Oppløsningsstabilitet Stabilitet i blandinger Faktorer som påvirker stabiliteten Kompatibilitet Administrasjonsmåte Referanser pdf
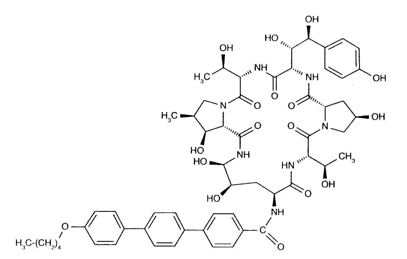
   Kjemisk struktur  

Handelsnavn   Handelsnavn     

Handelsnavn er veiledende og sammensetning av hjelpestoffer kan være forskjellig avhengig av land og produsent

Anidulafungin Belgia, Storbritannia, Tyskland
Anidulafungina Brasil, Spania
Ecalta Argentina, Belgia, Brasil, Canada, Chile, Colombia, Danmark, Finland, Frankrike, Hellas, Italia, Luxembourg, Malaysia, Nederland, Norge, Peru, Polen, Romania, Spania, Storbritannia, Sveits, Sverige, Tyrkia, Tyskland, Ungarn, USA, Venezuela
Equalta Mexico
Eraxis Australia, Canada, USA
Fuzig Mexico
Kompatibilitet   Injeksjon   Kompatibilitet : Anidulafungin              
Dette skjermbildet viser kompatibilitet eller inkompatibilitet med, i dette tilfellet, typen inkompatibilitet (nedbør, fargeendring, modifisering av en emulsjon, etc.). Kompatibilitetene som er vist her, er for det meste bare fysiske, og den kjemiske stabiliteten til hvert molekyl blir sjelden vurdert. Evalueringen av disse blandingene ble studert for å vurdere muligheten for Y-stedadministrasjon til pasienten. Disse dataene kan ikke brukes til å lage blandinger på forhånd i poser eller sprøyter. Denne typen informasjon er tilgjengelig på skjermen "Stabilitet i blanding".
Legemiddel Oppløsningsmiddel Referanser
Kompatibel
Injeksjon Anidulafungin 0.5 mg/ml
Injeksjon Aciclovir sodium 7 mg/ml
Glukose 5 % 1982
Kompatibel
Injeksjon Anidulafungin 0.5 mg/ml
Injeksjon Amikacin sulfate 5 mg/ml
Glukose 5 % 1982
Kompatibel
Injeksjon Anidulafungin 0.5 mg/ml
Injeksjon Aminophylline 2.5 mg/ml
Glukose 5 % 1982
Umiddelbar turbiditet Uforenlig
Injeksjon Anidulafungin 0,5 mg/ml
Injeksjon Amphotericin B 0,6 mg/ml
Glukose 5 % 1982
Kompatibel
Injeksjon Anidulafungin 0.5 mg/ml
Injeksjon Amphotericin B cholesteryl sulfate complex 1 mg/ml
Glukose 5 % 1982
Kompatibel
Injeksjon Anidulafungin 0.5 mg/ml
Injeksjon Amphotericin B liposomale 1 mg/ml
Glukose 5 % 1982
Kompatibel
Injeksjon Anidulafungin 0.5 mg/ml
Injeksjon Ampicillin sodium 20 mg/ml
Glukose 5 % 1982
Kompatibel
Injeksjon Anidulafungin 0.5 mg/ml
Injeksjon Ampicillin sodium - sulbactam sodium 20/10 mg/ml
Glukose 5 % 1982
Kompatibel
Injeksjon Anidulafungin 0.5 mg/ml
Injeksjon Carboplatin 5 mg/ml
Glukose 5 % 1982
Kompatibel
Injeksjon Anidulafungin 0.5 mg/ml
Injeksjon Cefazolin sodium 20 mg/ml
Glukose 5 % 1982
Kompatibel
Injeksjon Anidulafungin 0.5 mg/ml
Injeksjon Cefepime dihydrochloride 20 mg/ml
Glukose 5 % 1982
Kompatibel
Injeksjon Anidulafungin 0.77 mg/ml
Injeksjon Cefiderocol sulfate tosylate 20 mg/mL
Natriumklorid 0,9 % 4528
Kompatibel
Injeksjon Anidulafungin 0.77 mg/ml
Injeksjon Cefiderocol sulfate tosylate 20 mg/mL
Glukose 5 % 4528
Kompatibel
Injeksjon Anidulafungin 0.5 mg/ml
Injeksjon Cefoxitin sodium 20 mg/ml
Glukose 5 % 1982
Kompatibel
Injeksjon Anidulafungin 0.5 mg/ml
Injeksjon Ceftazidime 40 mg/ml
Glukose 5 % 1982
Kompatibel
Injeksjon Anidulafungin 0.5 mg/ml
Injeksjon Ceftizoxime sodium 20 mg/ml
Glukose 5 % 1982
Kompatibel
Injeksjon Anidulafungin 0.77 mg/ml
Injeksjon Ceftolozane / tazobactam 10/5 mg/ml
Natriumklorid 0,9 % 3828
Kompatibel
Injeksjon Anidulafungin 0.77 mg/ml
Injeksjon Ceftolozane / tazobactam 10/5 mg/ml
Glukose 5 % 3828
Kompatibel
Injeksjon Anidulafungin 0.5 mg/ml
Injeksjon Ceftriaxone disodium 20 mg/ml
Glukose 5 % 1982
Kompatibel
Injeksjon Anidulafungin 0.5 mg/ml
Injeksjon Cefuroxime sodium 30 mg/ml
Glukose 5 % 1982
Kompatibel
Injeksjon Anidulafungin 0.5 mg/ml
Injeksjon Ciclosporin 5 mg/ml
Glukose 5 % 1982
Kompatibel
Injeksjon Anidulafungin 0.5 mg/ml
Injeksjon Cimetidine hydrochloride 12 mg/ml
Glukose 5 % 1982
Kompatibel
Injeksjon Anidulafungin 0.5 mg/ml
Injeksjon Ciprofloxacin lactate 2 mg/ml
Glukose 5 % 1982
Kompatibel
Injeksjon Anidulafungin 0.5 mg/ml
Injeksjon Cisplatin 1 mg/ml
Glukose 5 % 1982
Kompatibel
Injeksjon Anidulafungin 0.5 mg/ml
Injeksjon Clindamycin phosphate 10 mg/ml
Glukose 5 % 1982
Kompatibel
Injeksjon Anidulafungin 0.5 mg/ml
Injeksjon Co-trimoxazole 4/0.8 mg/ml
Glukose 5 % 1982
Kompatibel
Injeksjon Anidulafungin 0.5 mg/ml
Injeksjon Cyclophosphamide 10 mg/ml
Glukose 5 % 1982
Kompatibel
Injeksjon Anidulafungin 0.5 mg/ml
Injeksjon Cytarabine 50 mg/ml
Glukose 5 % 1982
Kompatibel
Injeksjon Anidulafungin 0.5 mg/ml
Injeksjon Daunorubicin hydrochloride 1 mg/ml
Glukose 5 % 1982
Kompatibel
Injeksjon Anidulafungin 0.5 mg/ml
Injeksjon Dexamethasone sodium phosphate 1 mg/ml
Glukose 5 % 1982
Kompatibel
Injeksjon Anidulafungin 0.5 mg/ml
Injeksjon Digoxin 250 µg/ml
Glukose 5 % 1982
Kompatibel
Injeksjon Anidulafungin 0.5 mg/ml
Injeksjon Dobutamine hydrochloride 4 mg/ml
Glukose 5 % 1982
Kompatibel
Injeksjon Anidulafungin 0.5 mg/ml
Injeksjon Docetaxel 2 mg/ml
Glukose 5 % 1982
Kompatibel
Injeksjon Anidulafungin 0.5 mg/ml
Injeksjon Dopamine hydrochloride 3.2 mg/ml
Glukose 5 % 1982
Kompatibel
Injeksjon Anidulafungin 0,5 mg/ml
Injeksjon Doripenem 5 mg/ml
Natriumklorid 0,9 % 2262
Kompatibel
Injeksjon Anidulafungin 0,5 mg/ml
Injeksjon Doripenem 5 mg/ml
Glukose 5 % 2262
Kompatibel
Injeksjon Anidulafungin 0.5 mg/ml
Injeksjon Doxorubicin hydrochloride 2 mg/ml
Glukose 5 % 1982
Kompatibel
Injeksjon Anidulafungin 0.5 mg/ml
Injeksjon Epinephrine hydrochloride 50 µg/ml
Glukose 5 % 1982
Umiddelbar nedbør Uforenlig
Injeksjon Anidulafungin 0.5 mg/ml
Injeksjon Ertapenem 20 mg/ml
Glukose 5 % 1982
Kompatibel
Injeksjon Anidulafungin 0.5 mg/ml
Injeksjon Erythromycin lactobionate 5 mg/ml
Glukose 5 % 1982
Kompatibel
Injeksjon Anidulafungin 0.5 mg/ml
Injeksjon Etoposide phosphate 5 mg/ml
Glukose 5 % 1982
Kompatibel
Injeksjon Anidulafungin 0.5 mg/ml
Injeksjon Famotidine 2 mg/ml
Glukose 5 % 1982
Kompatibel
Injeksjon Anidulafungin 0.5 mg/ml
Injeksjon Fentanyl citrate 50 µg/ml
Glukose 5 % 1982
Kompatibel
Injeksjon Anidulafungin 0.5 mg/ml
Injeksjon Fluconazole 2 mg/ml
Glukose 5 % 1982
Kompatibel
Injeksjon Anidulafungin 0.5 mg/ml
Injeksjon Fluorouracil 16 mg/ml
Glukose 5 % 1982
Kompatibel
Injeksjon Anidulafungin 0.5 mg/ml
Injeksjon Folinate calcium 2 mg/ml
Glukose 5 % 1982
Nedbør etter 1 time Uforenlig
Injeksjon Anidulafungin 0,77 mg/ml
Injeksjon Fosfomycin 30 mg/ml
Natriumklorid 0,9 % 4055
Nedbør etter 15 minutter Uforenlig
Injeksjon Anidulafungin 0,77 mg/ml
Injeksjon Fosfomycin 30 mg/ml
Glukose 5 % 4055
Kompatibel
Injeksjon Anidulafungin 0.5 mg/ml
Injeksjon Furosemide 3 mg/ml
Glukose 5 % 1982
Kompatibel
Injeksjon Anidulafungin 0.5 mg/ml
Injeksjon Ganciclovir sodium 20 mg/ml
Glukose 5 % 1982
Kompatibel
Injeksjon Anidulafungin 0.5 mg/ml
Injeksjon Gemcitabine hydrochloride 10 mg/ml
Glukose 5 % 1982
Kompatibel
Injeksjon Anidulafungin 0.5 mg/ml
Injeksjon Gentamicin sulfate 5 mg/ml
Glukose 5 % 1982
Kompatibel
Injeksjon Anidulafungin 0.5 mg/ml
Injeksjon Heparin sodium 100 UI/ml
Glukose 5 % 1982
Kompatibel
Injeksjon Anidulafungin 0.5 mg/ml
Injeksjon Hydrocortisone sodium succinate 1 mg/ml
Glukose 5 % 1982
Kompatibel
Injeksjon Anidulafungin 0.5 mg/ml
Injeksjon Ifosfamide 25 mg/ml
Glukose 5 % 1982
Kompatibel
Injeksjon Anidulafungin
Glukose 5 % 3567
Kompatibel
Injeksjon Anidulafungin 0.5 mg/ml
Injeksjon Hydromorphone hydrochloride 0.5 mg/ml
Glukose 5 % 1982
Kompatibel
Injeksjon Anidulafungin 0.5 mg/ml
Injeksjon Imipenem - cilastatin sodium 5 mg/ml
Glukose 5 % 1982
Kompatibel
Injeksjon Anidulafungin 0.77 mg/ml
Injeksjon Isavuconazonium sulfate 1.5 mg/ml
Natriumklorid 0,9 % 3829
Kompatibel
Injeksjon Anidulafungin 0.77 mg/ml
Injeksjon Isavuconazonium sulfate 1.5 mg/ml
Glukose 5 % 3829
Kompatibel
Injeksjon Anidulafungin 0.5 mg/ml
Injeksjon Levofloxacine 5 mg/ml
Glukose 5 % 1982
Kompatibel
Injeksjon Anidulafungin 0.5 mg/ml
Injeksjon Linezolid 2 mg/ml
Glukose 5 % 1982
Kompatibel
Injeksjon Anidulafungin 0.5 mg/ml
Injeksjon Meropenem 2.5 mg/ml
Glukose 5 % 1982
Kompatibel
Injeksjon Anidulafungin 0.5 mg/ml
Injeksjon Methylprednisolone sodium succinate 5 mg/ml
Glukose 5 % 1982
Kompatibel
Injeksjon Anidulafungin 0.5 mg/ml
Injeksjon Metronidazole 5 mg/ml
Glukose 5 % 1982
Kompatibel
Injeksjon Anidulafungin 0.5 mg/ml
Injeksjon Midazolam hydrochloride 1 mg/ml
Glukose 5 % 1982
Kompatibel
Injeksjon Anidulafungin 0.5 mg/ml
Injeksjon Morphine sulfate 15 mg/ml
Glukose 5 % 1982
Kompatibel
Injeksjon Anidulafungin 0.5 mg/ml
Injeksjon Mycophenolate mofetil 6 mg/ml
Glukose 5 % 1982
Kompatibel
Injeksjon Anidulafungin 0.5 mg/ml
Injeksjon Paclitaxel 0.6 mg/ml
Glukose 5 % 1982
Kompatibel
Injeksjon Anidulafungin 0.5 mg/ml
Injeksjon Pantoprazole sodium 0.4 mg/ml
Glukose 5 % 1982
Kompatibel
Injeksjon Anidulafungin 0.5 mg/ml
Injeksjon Pethidine hydrochloride 10 mg/ml
Glukose 5 % 1982
Kompatibel
Injeksjon Anidulafungin 0.5 mg/ml
Injeksjon Phenylephrine hydrochloride 1 mg/ml
Glukose 5 % 1982
Kompatibel
Injeksjon Anidulafungin 0.5 mg/ml
Injeksjon Piperacillin sodium / tazobactam 40/5 mg/ml
Glukose 5 % 1982
Grumhet på 15 minutter Uforenlig
Injeksjon Anidulafungin 0,77 mg/ml
Injeksjon Plazomicin sulfate 24 mg/ml
Natriumklorid 0,9 % 4145
Kompatibel
Injeksjon Anidulafungin 0.5 mg/ml
Injeksjon Potassium chloride 0.1 mEq/l
Glukose 5 % 1982
Kompatibel
Injeksjon Anidulafungin 0.5 mg/ml
Injeksjon Quinupristine/dalfopristine 5 mg/ml
Glukose 5 % 1982
Kompatibel
Injeksjon Anidulafungin 0.5 mg/ml
Injeksjon Ranitidine hydrochloride 2 mg/ml
Glukose 5 % 1982
Umiddelbar turbiditet Uforenlig
Injeksjon Anidulafungin 0.5 mg/ml
Injeksjon Sodium bicarbonate 84 mg/ml
Glukose 5 % 1982
Kompatibel
Injeksjon Anidulafungin 0,77 mg/ml
Injeksjon Sulbactam/durlobactam 15/15 mg/ml
Natriumklorid 0,9 % 4801
Kompatibel
Injeksjon Anidulafungin 0.5 mg/ml
Injeksjon Tacrolimus 20 µg/ml
Glukose 5 % 1982
Kompatibel
Injeksjon Anidulafungin 0.77 mg/ml
Injeksjon Tedizolid phosphate 0.8 mg/ml
Natriumklorid 0,9 % 3827
Kompatibel
Injeksjon Anidulafungin 0.5 mg/ml
Injeksjon Ticarcillin / clavulanic acid 31 mg/ml
Glukose 5 % 1982
Kompatibel
Injeksjon Anidulafungin 0.5 mg/ml
Injeksjon Tobramycin sulfate 5 mg/ml
Glukose 5 % 1982
Kompatibel
Injeksjon Anidulafungin 0.5 mg/ml
Injeksjon Vancomycin hydrochloride 10 mg/ml
Glukose 5 % 1982
Kompatibel
Injeksjon Anidulafungin 0.5 mg/ml
Injeksjon Vincristine sulfate 0.05 mg/ml
Glukose 5 % 1982
Kompatibel
Injeksjon Anidulafungin 0.5 mg/ml
Injeksjon Voriconazole 4 mg/ml
Glukose 5 % 1982
Kompatibel
Injeksjon Anidulafungin
Natriumklorid 0,9 % 3567
Kompatibel
Injeksjon Anidulafungin 0.5 mg/ml
Injeksjon Zidovudine 4 mg/ml
Glukose 5 % 1982
Umiddelbar turbiditet Uforenlig
Injeksjon Anidulafungin 0.5 mg/ml
NaHCO3 1982

  Mentions Légales