Posledná aktualizácia :
27/01/2026
antimykotikum   Anidulafungin  
Injekcia
Stabilita roztokov Stabilita v zmesiach Faktory ovplyvňujúce stabilitu Kompatibility spôsob podania Odkazy na literatúru PDF
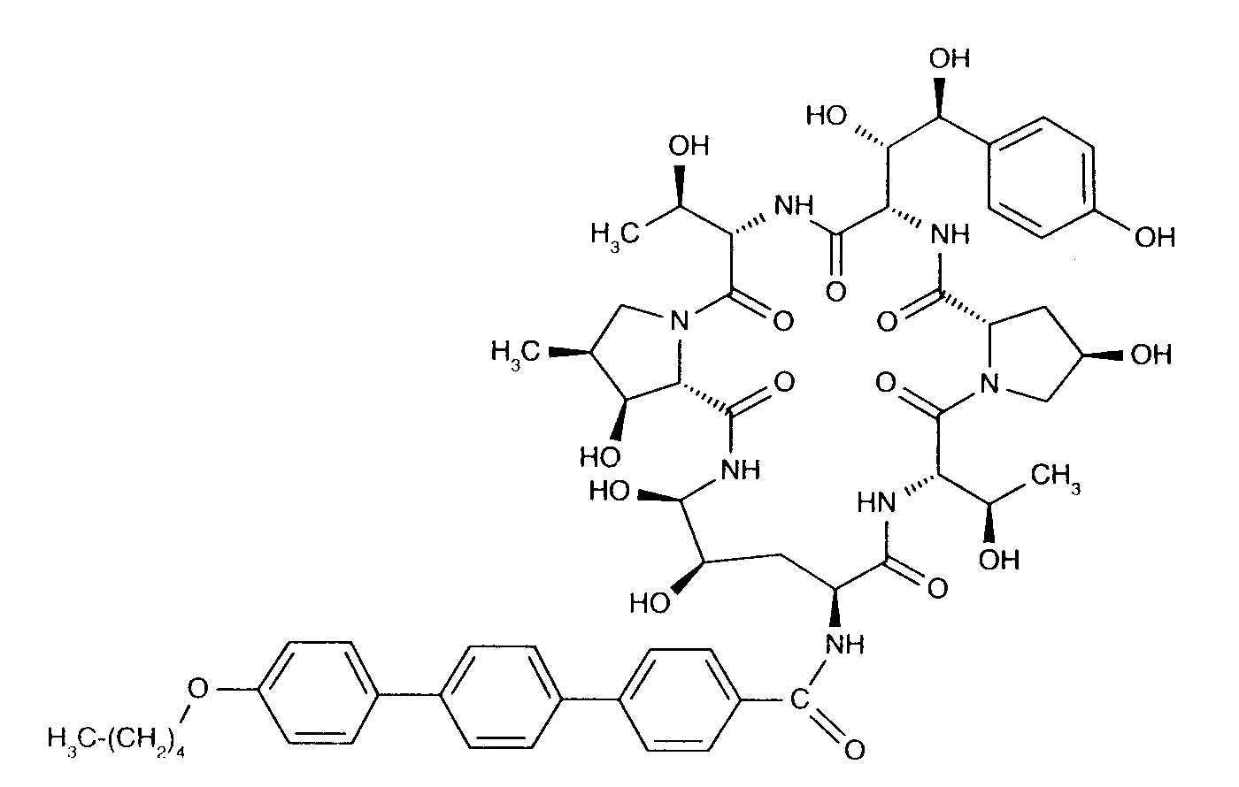
   Chemický vzorec  

Obchodný názov   Obchodný názov     

Obchodné názvy sú orientačné, a zloženie pomocných látok sa môže líšiť v závislosti od krajiny a výrobcu.

Anidulafungin Belgicko, Nemecko, Veľká Británia
Anidulafungina Brazília, Španielsko
Ecalta Argentína, Belgicko, Brazília, Čile, Dánsko, Fínsko, Francúzsko, Grécko, Holandsko, Kanada, Kolumbia, Luxembursko, Maďarsko, Malajzia, Nemecko, Nórsko, peru, Poľsko, Rumunsko, Španielsko, Spojené štáty Americké, Švajčiarsko, Švédsko, Taliansko, Turecko, Veľká Británia, Venezuela
Equalta Mexiko
Eraxis Austrália, Kanada, Spojené štáty Americké
Fuzig Mexiko
Kompatibility   Injekcia   Kompatibility : Anidulafungin              
Toto okno zobrazuje kompatibility alebo inkombatibility, v prípade inkompatibility aj jej typ (vyzrážanie, zmena farby, zmena emulzie atď.). Tu vymenované kompatibility sú väčšinou len fyzikálne, chemická stabilita každej zo zlúčenín sa hodnotila len zriedkavo. Tieto zmesi sa skúmali za účelom možnosti súbežného podávania pacientovi cez infúznu spojku Y. Údaje sa nedajú použiť na prípravu zmesí vo vakoch alebo striekačkách. Taká informácia sa nachádza v okne „Stabilita v zmesiach“.
Zlúčenina rozpúšťadlo odkazy na lieteratúru
kompatibilný
Injekcia Anidulafungin 0.5 mg/ml
Injekcia Aciclovir sodium 7 mg/ml
5% glukóza 1982
kompatibilný
Injekcia Anidulafungin 0.5 mg/ml
Injekcia Amikacin sulfate 5 mg/ml
5% glukóza 1982
kompatibilný
Injekcia Anidulafungin 0.5 mg/ml
Injekcia Aminophylline 2.5 mg/ml
5% glukóza 1982
Okamžitá zákal nezlučiteľný
Injekcia Anidulafungin 0,5 mg/ml
Injekcia Amphotericin B 0,6 mg/ml
5% glukóza 1982
kompatibilný
Injekcia Anidulafungin 0.5 mg/ml
Injekcia Amphotericin B cholesteryl sulfate complex 1 mg/ml
5% glukóza 1982
kompatibilný
Injekcia Anidulafungin 0.5 mg/ml
Injekcia Amphotericin B liposomale 1 mg/ml
5% glukóza 1982
kompatibilný
Injekcia Anidulafungin 0.5 mg/ml
Injekcia Ampicillin sodium 20 mg/ml
5% glukóza 1982
kompatibilný
Injekcia Anidulafungin 0.5 mg/ml
Injekcia Ampicillin sodium - sulbactam sodium 20/10 mg/ml
5% glukóza 1982
kompatibilný
Injekcia Anidulafungin 0.5 mg/ml
Injekcia Carboplatin 5 mg/ml
5% glukóza 1982
kompatibilný
Injekcia Anidulafungin 0.5 mg/ml
Injekcia Cefazolin sodium 20 mg/ml
5% glukóza 1982
kompatibilný
Injekcia Anidulafungin 0.5 mg/ml
Injekcia Cefepime dihydrochloride 20 mg/ml
5% glukóza 1982
kompatibilný
Injekcia Anidulafungin 0.77 mg/ml
Injekcia Cefiderocol sulfate tosylate 20 mg/mL
0,9% chlorid sodný 4528
kompatibilný
Injekcia Anidulafungin 0.77 mg/ml
Injekcia Cefiderocol sulfate tosylate 20 mg/mL
5% glukóza 4528
kompatibilný
Injekcia Anidulafungin 0.5 mg/ml
Injekcia Cefoxitin sodium 20 mg/ml
5% glukóza 1982
kompatibilný
Injekcia Anidulafungin 0.5 mg/ml
Injekcia Ceftazidime 40 mg/ml
5% glukóza 1982
kompatibilný
Injekcia Anidulafungin 0.5 mg/ml
Injekcia Ceftizoxime sodium 20 mg/ml
5% glukóza 1982
kompatibilný
Injekcia Anidulafungin 0.77 mg/ml
Injekcia Ceftolozane / tazobactam 10/5 mg/ml
0,9% chlorid sodný 3828
kompatibilný
Injekcia Anidulafungin 0.77 mg/ml
Injekcia Ceftolozane / tazobactam 10/5 mg/ml
5% glukóza 3828
kompatibilný
Injekcia Anidulafungin 0.5 mg/ml
Injekcia Ceftriaxone disodium 20 mg/ml
5% glukóza 1982
kompatibilný
Injekcia Anidulafungin 0.5 mg/ml
Injekcia Cefuroxime sodium 30 mg/ml
5% glukóza 1982
kompatibilný
Injekcia Anidulafungin 0.5 mg/ml
Injekcia Ciclosporin 5 mg/ml
5% glukóza 1982
kompatibilný
Injekcia Anidulafungin 0.5 mg/ml
Injekcia Cimetidine hydrochloride 12 mg/ml
5% glukóza 1982
kompatibilný
Injekcia Anidulafungin 0.5 mg/ml
Injekcia Ciprofloxacin lactate 2 mg/ml
5% glukóza 1982
kompatibilný
Injekcia Anidulafungin 0.5 mg/ml
Injekcia Cisplatin 1 mg/ml
5% glukóza 1982
kompatibilný
Injekcia Anidulafungin 0.5 mg/ml
Injekcia Clindamycin phosphate 10 mg/ml
5% glukóza 1982
kompatibilný
Injekcia Anidulafungin 0.5 mg/ml
Injekcia Co-trimoxazole 4/0.8 mg/ml
5% glukóza 1982
kompatibilný
Injekcia Anidulafungin 0.5 mg/ml
Injekcia Cyclophosphamide 10 mg/ml
5% glukóza 1982
kompatibilný
Injekcia Anidulafungin 0.5 mg/ml
Injekcia Cytarabine 50 mg/ml
5% glukóza 1982
kompatibilný
Injekcia Anidulafungin 0.5 mg/ml
Injekcia Daunorubicin hydrochloride 1 mg/ml
5% glukóza 1982
kompatibilný
Injekcia Anidulafungin 0.5 mg/ml
Injekcia Dexamethasone sodium phosphate 1 mg/ml
5% glukóza 1982
kompatibilný
Injekcia Anidulafungin 0.5 mg/ml
Injekcia Digoxin 250 µg/ml
5% glukóza 1982
kompatibilný
Injekcia Anidulafungin 0.5 mg/ml
Injekcia Dobutamine hydrochloride 4 mg/ml
5% glukóza 1982
kompatibilný
Injekcia Anidulafungin 0.5 mg/ml
Injekcia Docetaxel 2 mg/ml
5% glukóza 1982
kompatibilný
Injekcia Anidulafungin 0.5 mg/ml
Injekcia Dopamine hydrochloride 3.2 mg/ml
5% glukóza 1982
kompatibilný
Injekcia Anidulafungin 0,5 mg/ml
Injekcia Doripenem 5 mg/ml
0,9% chlorid sodný 2262
kompatibilný
Injekcia Anidulafungin 0,5 mg/ml
Injekcia Doripenem 5 mg/ml
5% glukóza 2262
kompatibilný
Injekcia Anidulafungin 0.5 mg/ml
Injekcia Doxorubicin hydrochloride 2 mg/ml
5% glukóza 1982
kompatibilný
Injekcia Anidulafungin 0.5 mg/ml
Injekcia Epinephrine hydrochloride 50 µg/ml
5% glukóza 1982
Okamžité zrážanie nezlučiteľný
Injekcia Anidulafungin 0.5 mg/ml
Injekcia Ertapenem 20 mg/ml
5% glukóza 1982
kompatibilný
Injekcia Anidulafungin 0.5 mg/ml
Injekcia Erythromycin lactobionate 5 mg/ml
5% glukóza 1982
kompatibilný
Injekcia Anidulafungin 0.5 mg/ml
Injekcia Etoposide phosphate 5 mg/ml
5% glukóza 1982
kompatibilný
Injekcia Anidulafungin 0.5 mg/ml
Injekcia Famotidine 2 mg/ml
5% glukóza 1982
kompatibilný
Injekcia Anidulafungin 0.5 mg/ml
Injekcia Fentanyl citrate 50 µg/ml
5% glukóza 1982
kompatibilný
Injekcia Anidulafungin 0.5 mg/ml
Injekcia Fluconazole 2 mg/ml
5% glukóza 1982
kompatibilný
Injekcia Anidulafungin 0.5 mg/ml
Injekcia Fluorouracil 16 mg/ml
5% glukóza 1982
kompatibilný
Injekcia Anidulafungin 0.5 mg/ml
Injekcia Folinate calcium 2 mg/ml
5% glukóza 1982
Zrážky po 1 hodine nezlučiteľný
Injekcia Anidulafungin 0,77 mg/ml
Injekcia Fosfomycin 30 mg/ml
0,9% chlorid sodný 4055
Zrážky po 15 hodinách nezlučiteľný
Injekcia Anidulafungin 0,77 mg/ml
Injekcia Fosfomycin 30 mg/ml
5% glukóza 4055
kompatibilný
Injekcia Anidulafungin 0.5 mg/ml
Injekcia Furosemide 3 mg/ml
5% glukóza 1982
kompatibilný
Injekcia Anidulafungin 0.5 mg/ml
Injekcia Ganciclovir sodium 20 mg/ml
5% glukóza 1982
kompatibilný
Injekcia Anidulafungin 0.5 mg/ml
Injekcia Gemcitabine hydrochloride 10 mg/ml
5% glukóza 1982
kompatibilný
Injekcia Anidulafungin 0.5 mg/ml
Injekcia Gentamicin sulfate 5 mg/ml
5% glukóza 1982
kompatibilný
Injekcia Anidulafungin 0.5 mg/ml
Injekcia Heparin sodium 100 UI/ml
5% glukóza 1982
kompatibilný
Injekcia Anidulafungin 0.5 mg/ml
Injekcia Hydrocortisone sodium succinate 1 mg/ml
5% glukóza 1982
kompatibilný
Injekcia Anidulafungin 0.5 mg/ml
Injekcia Ifosfamide 25 mg/ml
5% glukóza 1982
kompatibilný
Injekcia Anidulafungin
5% glukóza 3567
kompatibilný
Injekcia Anidulafungin 0.5 mg/ml
Injekcia Hydromorphone hydrochloride 0.5 mg/ml
5% glukóza 1982
kompatibilný
Injekcia Anidulafungin 0.5 mg/ml
Injekcia Imipenem - cilastatin sodium 5 mg/ml
5% glukóza 1982
kompatibilný
Injekcia Anidulafungin 0.77 mg/ml
Injekcia Isavuconazonium sulfate 1.5 mg/ml
0,9% chlorid sodný 3829
kompatibilný
Injekcia Anidulafungin 0.77 mg/ml
Injekcia Isavuconazonium sulfate 1.5 mg/ml
5% glukóza 3829
kompatibilný
Injekcia Anidulafungin 0.5 mg/ml
Injekcia Levofloxacine 5 mg/ml
5% glukóza 1982
kompatibilný
Injekcia Anidulafungin 0.5 mg/ml
Injekcia Linezolid 2 mg/ml
5% glukóza 1982
kompatibilný
Injekcia Anidulafungin 0.5 mg/ml
Injekcia Meropenem 2.5 mg/ml
5% glukóza 1982
kompatibilný
Injekcia Anidulafungin 0.5 mg/ml
Injekcia Methylprednisolone sodium succinate 5 mg/ml
5% glukóza 1982
kompatibilný
Injekcia Anidulafungin 0.5 mg/ml
Injekcia Metronidazole 5 mg/ml
5% glukóza 1982
kompatibilný
Injekcia Anidulafungin 0.5 mg/ml
Injekcia Midazolam hydrochloride 1 mg/ml
5% glukóza 1982
kompatibilný
Injekcia Anidulafungin 0.5 mg/ml
Injekcia Morphine sulfate 15 mg/ml
5% glukóza 1982
kompatibilný
Injekcia Anidulafungin 0.5 mg/ml
Injekcia Mycophenolate mofetil 6 mg/ml
5% glukóza 1982
kompatibilný
Injekcia Anidulafungin 0.5 mg/ml
Injekcia Paclitaxel 0.6 mg/ml
5% glukóza 1982
kompatibilný
Injekcia Anidulafungin 0.5 mg/ml
Injekcia Pantoprazole sodium 0.4 mg/ml
5% glukóza 1982
kompatibilný
Injekcia Anidulafungin 0.5 mg/ml
Injekcia Pethidine hydrochloride 10 mg/ml
5% glukóza 1982
kompatibilný
Injekcia Anidulafungin 0.5 mg/ml
Injekcia Phenylephrine hydrochloride 1 mg/ml
5% glukóza 1982
kompatibilný
Injekcia Anidulafungin 0.5 mg/ml
Injekcia Piperacillin sodium / tazobactam 40/5 mg/ml
5% glukóza 1982
Zákal za 15 minút nezlučiteľný
Injekcia Anidulafungin 0,77 mg/ml
Injekcia Plazomicin sulfate 24 mg/ml
0,9% chlorid sodný 4145
kompatibilný
Injekcia Anidulafungin 0.5 mg/ml
Injekcia Potassium chloride 0.1 mEq/l
5% glukóza 1982
kompatibilný
Injekcia Anidulafungin 0.5 mg/ml
Injekcia Quinupristine/dalfopristine 5 mg/ml
5% glukóza 1982
kompatibilný
Injekcia Anidulafungin 0.5 mg/ml
Injekcia Ranitidine hydrochloride 2 mg/ml
5% glukóza 1982
Okamžitá zákal nezlučiteľný
Injekcia Anidulafungin 0.5 mg/ml
Injekcia Sodium bicarbonate 84 mg/ml
5% glukóza 1982
kompatibilný
Injekcia Anidulafungin 0,77 mg/ml
Injekcia Sulbactam/durlobactam 15/15 mg/ml
0,9% chlorid sodný 4801
kompatibilný
Injekcia Anidulafungin 0.5 mg/ml
Injekcia Tacrolimus 20 µg/ml
5% glukóza 1982
kompatibilný
Injekcia Anidulafungin 0.77 mg/ml
Injekcia Tedizolid phosphate 0.8 mg/ml
0,9% chlorid sodný 3827
kompatibilný
Injekcia Anidulafungin 0.5 mg/ml
Injekcia Ticarcillin / clavulanic acid 31 mg/ml
5% glukóza 1982
kompatibilný
Injekcia Anidulafungin 0.5 mg/ml
Injekcia Tobramycin sulfate 5 mg/ml
5% glukóza 1982
kompatibilný
Injekcia Anidulafungin 0.5 mg/ml
Injekcia Vancomycin hydrochloride 10 mg/ml
5% glukóza 1982
kompatibilný
Injekcia Anidulafungin 0.5 mg/ml
Injekcia Vincristine sulfate 0.05 mg/ml
5% glukóza 1982
kompatibilný
Injekcia Anidulafungin 0.5 mg/ml
Injekcia Voriconazole 4 mg/ml
5% glukóza 1982
kompatibilný
Injekcia Anidulafungin
0,9% chlorid sodný 3567
kompatibilný
Injekcia Anidulafungin 0.5 mg/ml
Injekcia Zidovudine 4 mg/ml
5% glukóza 1982
Okamžitá zákal nezlučiteľný
Injekcia Anidulafungin 0.5 mg/ml
NaHCO3 1982

  Mentions Légales