Última actualización :
27/01/2026
Antifúngico   Anidulafungin  
Inyectables
Estabilidad en solucion Estabilidad en mezcla Factores que influyen sobre la estabilidad Compatibilidades método de inyección Bibliografía pdf
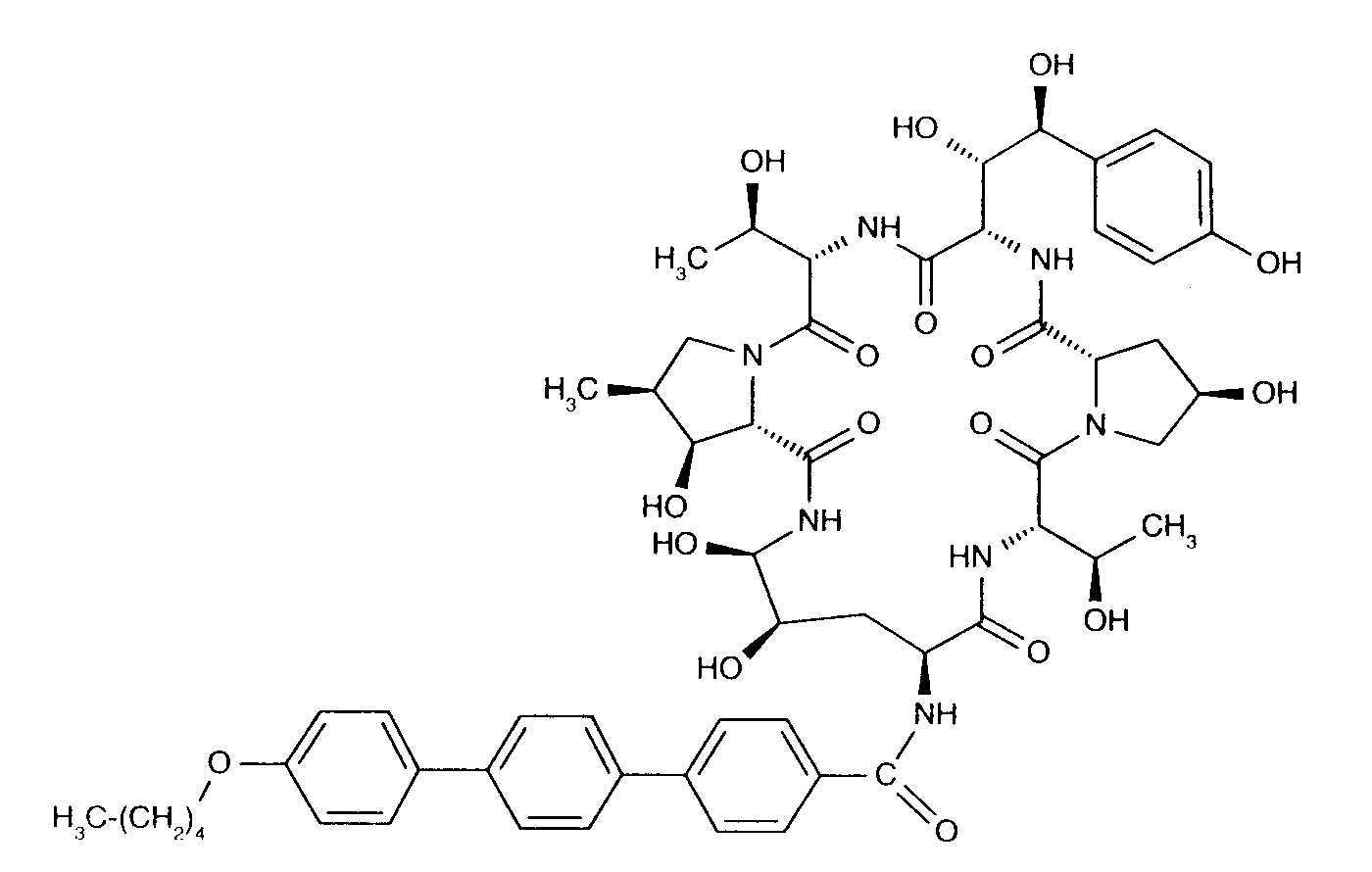
   Estructura química  

Nombre comercial   Nombre comercial     

Los nombres comerciales son orientativos y los excipientes de la formulación pueden ser distintos dependiendo del país y del laboratorio fabricante.

Anidulafungin Alemania, Bélgica, Gran Bretaña
Anidulafungina Brasil, España
Ecalta Alemania, Argentina, Bélgica, Brasil, Canadá, Chile, Colombia, Dinamarca, España, Estados Unidos de América, Finlandia, Francia, Gran Bretaña, Grecia, Hungría, Italia, Luxemburgo, Malasia, Marruecos, Noruega, Países Bajos, Polonia, Rumania, Suecia, Suiza, Turquía, Venezuela
Equalta México
Eraxis Australia, Canadá, Estados Unidos de América
Fuzig México
Compatibilidades   Inyectables   Compatibilidades : Anidulafungin              
Esta pantalla muestra las compatibilidades o incompatibilidades, así como el tipo de incompatibilidad (precipitación, cambio de color, modificación de una emulsión, etc). Las compatibilidades que se recogen aquí son fundamentalmente físicas, mostrando raramente la estabilidad química de la molécula. La evaluación de estas mezclas se estudió con el fin de de comprobar la posibilidad de administración en Y al paciente. Estos datos no pueden utilizarse en el caso de la preparación de mezclas dentro de bolsas o jeringas. Este tipo de información está disponible en la pantalla “Estabilidad en mezcla”.
Molécula Solvente Bibliografía
Compatible
Inyectables Anidulafungin 0.5 mg/ml
Inyectables Aciclovir sodium 7 mg/ml
Glucosa 5% 1982
Compatible
Inyectables Anidulafungin 0.5 mg/ml
Inyectables Amikacin sulfate 5 mg/ml
Glucosa 5% 1982
Compatible
Inyectables Anidulafungin 0.5 mg/ml
Inyectables Aminophylline 2.5 mg/ml
Glucosa 5% 1982
Turbidez inmediata Incompatible
Inyectables Anidulafungin 0,5 mg/ml
Inyectables Amphotericin B 0,6 mg/ml
Glucosa 5% 1982
Compatible
Inyectables Anidulafungin 0.5 mg/ml
Inyectables Amphotericin B cholesteryl sulfate complex 1 mg/ml
Glucosa 5% 1982
Compatible
Inyectables Anidulafungin 0.5 mg/ml
Inyectables Amphotericin B liposomale 1 mg/ml
Glucosa 5% 1982
Compatible
Inyectables Anidulafungin 0.5 mg/ml
Inyectables Ampicillin sodium 20 mg/ml
Glucosa 5% 1982
Compatible
Inyectables Anidulafungin 0.5 mg/ml
Inyectables Ampicillin sodium - sulbactam sodium 20/10 mg/ml
Glucosa 5% 1982
Compatible
Inyectables Anidulafungin 0.5 mg/ml
Inyectables Carboplatin 5 mg/ml
Glucosa 5% 1982
Compatible
Inyectables Anidulafungin 0.5 mg/ml
Inyectables Cefazolin sodium 20 mg/ml
Glucosa 5% 1982
Compatible
Inyectables Anidulafungin 0.5 mg/ml
Inyectables Cefepime dihydrochloride 20 mg/ml
Glucosa 5% 1982
Compatible
Inyectables Anidulafungin 0.77 mg/ml
Inyectables Cefiderocol sulfate tosylate 20 mg/mL
Cloruro de sodio 0,9% 4528
Compatible
Inyectables Anidulafungin 0.77 mg/ml
Inyectables Cefiderocol sulfate tosylate 20 mg/mL
Glucosa 5% 4528
Compatible
Inyectables Anidulafungin 0.5 mg/ml
Inyectables Cefoxitin sodium 20 mg/ml
Glucosa 5% 1982
Compatible
Inyectables Anidulafungin 0.5 mg/ml
Inyectables Ceftazidime 40 mg/ml
Glucosa 5% 1982
Compatible
Inyectables Anidulafungin 0.5 mg/ml
Inyectables Ceftizoxime sodium 20 mg/ml
Glucosa 5% 1982
Compatible
Inyectables Anidulafungin 0.77 mg/ml
Inyectables Ceftolozane / tazobactam 10/5 mg/ml
Cloruro de sodio 0,9% 3828
Compatible
Inyectables Anidulafungin 0.77 mg/ml
Inyectables Ceftolozane / tazobactam 10/5 mg/ml
Glucosa 5% 3828
Compatible
Inyectables Anidulafungin 0.5 mg/ml
Inyectables Ceftriaxone disodium 20 mg/ml
Glucosa 5% 1982
Compatible
Inyectables Anidulafungin 0.5 mg/ml
Inyectables Cefuroxime sodium 30 mg/ml
Glucosa 5% 1982
Compatible
Inyectables Anidulafungin 0.5 mg/ml
Inyectables Ciclosporin 5 mg/ml
Glucosa 5% 1982
Compatible
Inyectables Anidulafungin 0.5 mg/ml
Inyectables Cimetidine hydrochloride 12 mg/ml
Glucosa 5% 1982
Compatible
Inyectables Anidulafungin 0.5 mg/ml
Inyectables Ciprofloxacin lactate 2 mg/ml
Glucosa 5% 1982
Compatible
Inyectables Anidulafungin 0.5 mg/ml
Inyectables Cisplatin 1 mg/ml
Glucosa 5% 1982
Compatible
Inyectables Anidulafungin 0.5 mg/ml
Inyectables Clindamycin phosphate 10 mg/ml
Glucosa 5% 1982
Compatible
Inyectables Anidulafungin 0.5 mg/ml
Inyectables Co-trimoxazole 4/0.8 mg/ml
Glucosa 5% 1982
Compatible
Inyectables Anidulafungin 0.5 mg/ml
Inyectables Cyclophosphamide 10 mg/ml
Glucosa 5% 1982
Compatible
Inyectables Anidulafungin 0.5 mg/ml
Inyectables Cytarabine 50 mg/ml
Glucosa 5% 1982
Compatible
Inyectables Anidulafungin 0.5 mg/ml
Inyectables Daunorubicin hydrochloride 1 mg/ml
Glucosa 5% 1982
Compatible
Inyectables Anidulafungin 0.5 mg/ml
Inyectables Dexamethasone sodium phosphate 1 mg/ml
Glucosa 5% 1982
Compatible
Inyectables Anidulafungin 0.5 mg/ml
Inyectables Digoxin 250 µg/ml
Glucosa 5% 1982
Compatible
Inyectables Anidulafungin 0.5 mg/ml
Inyectables Dobutamine hydrochloride 4 mg/ml
Glucosa 5% 1982
Compatible
Inyectables Anidulafungin 0.5 mg/ml
Inyectables Docetaxel 2 mg/ml
Glucosa 5% 1982
Compatible
Inyectables Anidulafungin 0.5 mg/ml
Inyectables Dopamine hydrochloride 3.2 mg/ml
Glucosa 5% 1982
Compatible
Inyectables Anidulafungin 0,5 mg/ml
Inyectables Doripenem 5 mg/ml
Cloruro de sodio 0,9% 2262
Compatible
Inyectables Anidulafungin 0,5 mg/ml
Inyectables Doripenem 5 mg/ml
Glucosa 5% 2262
Compatible
Inyectables Anidulafungin 0.5 mg/ml
Inyectables Doxorubicin hydrochloride 2 mg/ml
Glucosa 5% 1982
Compatible
Inyectables Anidulafungin 0.5 mg/ml
Inyectables Epinephrine hydrochloride 50 µg/ml
Glucosa 5% 1982
Precipitación inmediata Incompatible
Inyectables Anidulafungin 0.5 mg/ml
Inyectables Ertapenem 20 mg/ml
Glucosa 5% 1982
Compatible
Inyectables Anidulafungin 0.5 mg/ml
Inyectables Erythromycin lactobionate 5 mg/ml
Glucosa 5% 1982
Compatible
Inyectables Anidulafungin 0.5 mg/ml
Inyectables Etoposide phosphate 5 mg/ml
Glucosa 5% 1982
Compatible
Inyectables Anidulafungin 0.5 mg/ml
Inyectables Famotidine 2 mg/ml
Glucosa 5% 1982
Compatible
Inyectables Anidulafungin 0.5 mg/ml
Inyectables Fentanyl citrate 50 µg/ml
Glucosa 5% 1982
Compatible
Inyectables Anidulafungin 0.5 mg/ml
Inyectables Fluconazole 2 mg/ml
Glucosa 5% 1982
Compatible
Inyectables Anidulafungin 0.5 mg/ml
Inyectables Fluorouracil 16 mg/ml
Glucosa 5% 1982
Compatible
Inyectables Anidulafungin 0.5 mg/ml
Inyectables Folinate calcium 2 mg/ml
Glucosa 5% 1982
Precipitación después de 1 hora Incompatible
Inyectables Anidulafungin 0,77 mg/ml
Inyectables Fosfomycin 30 mg/ml
Cloruro de sodio 0,9% 4055
Precipitación después de 15 minutos Incompatible
Inyectables Anidulafungin 0,77 mg/ml
Inyectables Fosfomycin 30 mg/ml
Glucosa 5% 4055
Compatible
Inyectables Anidulafungin 0.5 mg/ml
Inyectables Furosemide 3 mg/ml
Glucosa 5% 1982
Compatible
Inyectables Anidulafungin 0.5 mg/ml
Inyectables Ganciclovir sodium 20 mg/ml
Glucosa 5% 1982
Compatible
Inyectables Anidulafungin 0.5 mg/ml
Inyectables Gemcitabine hydrochloride 10 mg/ml
Glucosa 5% 1982
Compatible
Inyectables Anidulafungin 0.5 mg/ml
Inyectables Gentamicin sulfate 5 mg/ml
Glucosa 5% 1982
Compatible
Inyectables Anidulafungin 0.5 mg/ml
Inyectables Heparin sodium 100 UI/ml
Glucosa 5% 1982
Compatible
Inyectables Anidulafungin 0.5 mg/ml
Inyectables Hydrocortisone sodium succinate 1 mg/ml
Glucosa 5% 1982
Compatible
Inyectables Anidulafungin 0.5 mg/ml
Inyectables Ifosfamide 25 mg/ml
Glucosa 5% 1982
Compatible
Inyectables Anidulafungin
Glucosa 5% 3567
Compatible
Inyectables Anidulafungin 0.5 mg/ml
Inyectables Hydromorphone hydrochloride 0.5 mg/ml
Glucosa 5% 1982
Compatible
Inyectables Anidulafungin 0.5 mg/ml
Inyectables Imipenem - cilastatin sodium 5 mg/ml
Glucosa 5% 1982
Compatible
Inyectables Anidulafungin 0.77 mg/ml
Inyectables Isavuconazonium sulfate 1.5 mg/ml
Cloruro de sodio 0,9% 3829
Compatible
Inyectables Anidulafungin 0.77 mg/ml
Inyectables Isavuconazonium sulfate 1.5 mg/ml
Glucosa 5% 3829
Compatible
Inyectables Anidulafungin 0.5 mg/ml
Inyectables Levofloxacine 5 mg/ml
Glucosa 5% 1982
Compatible
Inyectables Anidulafungin 0.5 mg/ml
Inyectables Linezolid 2 mg/ml
Glucosa 5% 1982
Compatible
Inyectables Anidulafungin 0.5 mg/ml
Inyectables Meropenem 2.5 mg/ml
Glucosa 5% 1982
Compatible
Inyectables Anidulafungin 0.5 mg/ml
Inyectables Methylprednisolone sodium succinate 5 mg/ml
Glucosa 5% 1982
Compatible
Inyectables Anidulafungin 0.5 mg/ml
Inyectables Metronidazole 5 mg/ml
Glucosa 5% 1982
Compatible
Inyectables Anidulafungin 0.5 mg/ml
Inyectables Midazolam hydrochloride 1 mg/ml
Glucosa 5% 1982
Compatible
Inyectables Anidulafungin 0.5 mg/ml
Inyectables Morphine sulfate 15 mg/ml
Glucosa 5% 1982
Compatible
Inyectables Anidulafungin 0.5 mg/ml
Inyectables Mycophenolate mofetil 6 mg/ml
Glucosa 5% 1982
Compatible
Inyectables Anidulafungin 0.5 mg/ml
Inyectables Paclitaxel 0.6 mg/ml
Glucosa 5% 1982
Compatible
Inyectables Anidulafungin 0.5 mg/ml
Inyectables Pantoprazole sodium 0.4 mg/ml
Glucosa 5% 1982
Compatible
Inyectables Anidulafungin 0.5 mg/ml
Inyectables Pethidine hydrochloride 10 mg/ml
Glucosa 5% 1982
Compatible
Inyectables Anidulafungin 0.5 mg/ml
Inyectables Phenylephrine hydrochloride 1 mg/ml
Glucosa 5% 1982
Compatible
Inyectables Anidulafungin 0.5 mg/ml
Inyectables Piperacillin sodium / tazobactam 40/5 mg/ml
Glucosa 5% 1982
Turbidez en 15 minutos Incompatible
Inyectables Anidulafungin 0,77 mg/ml
Inyectables Plazomicin sulfate 24 mg/ml
Cloruro de sodio 0,9% 4145
Compatible
Inyectables Anidulafungin 0.5 mg/ml
Inyectables Potassium chloride 0.1 mEq/l
Glucosa 5% 1982
Compatible
Inyectables Anidulafungin 0.5 mg/ml
Inyectables Quinupristine/dalfopristine 5 mg/ml
Glucosa 5% 1982
Compatible
Inyectables Anidulafungin 0.5 mg/ml
Inyectables Ranitidine hydrochloride 2 mg/ml
Glucosa 5% 1982
Turbidez inmediata Incompatible
Inyectables Anidulafungin 0.5 mg/ml
Inyectables Sodium bicarbonate 84 mg/ml
Glucosa 5% 1982
Compatible
Inyectables Anidulafungin 0,77 mg/ml
Inyectables Sulbactam/durlobactam 15/15 mg/ml
Cloruro de sodio 0,9% 4801
Compatible
Inyectables Anidulafungin 0.5 mg/ml
Inyectables Tacrolimus 20 µg/ml
Glucosa 5% 1982
Compatible
Inyectables Anidulafungin 0.77 mg/ml
Inyectables Tedizolid phosphate 0.8 mg/ml
Cloruro de sodio 0,9% 3827
Compatible
Inyectables Anidulafungin 0.5 mg/ml
Inyectables Ticarcillin / clavulanic acid 31 mg/ml
Glucosa 5% 1982
Compatible
Inyectables Anidulafungin 0.5 mg/ml
Inyectables Tobramycin sulfate 5 mg/ml
Glucosa 5% 1982
Compatible
Inyectables Anidulafungin 0.5 mg/ml
Inyectables Vancomycin hydrochloride 10 mg/ml
Glucosa 5% 1982
Compatible
Inyectables Anidulafungin 0.5 mg/ml
Inyectables Vincristine sulfate 0.05 mg/ml
Glucosa 5% 1982
Compatible
Inyectables Anidulafungin 0.5 mg/ml
Inyectables Voriconazole 4 mg/ml
Glucosa 5% 1982
Compatible
Inyectables Anidulafungin
Cloruro de sodio 0,9% 3567
Compatible
Inyectables Anidulafungin 0.5 mg/ml
Inyectables Zidovudine 4 mg/ml
Glucosa 5% 1982
Turbidez inmediata Incompatible
Inyectables Anidulafungin 0.5 mg/ml
NaHCO3 1982

  Mentions Légales