Cập nhật lần cuối :
27/04/2026
Kháng sinh   Azithromycine  
Dạng tiêm
Dạng bôi da
Tính ổn định của các dung dịch Độ ổn định khi trộn lẫn Những yếu tố ảnh hưởng đến độ ổn định Khả năng tương thích Đường dùng Tài liệu tham khảo Pdf
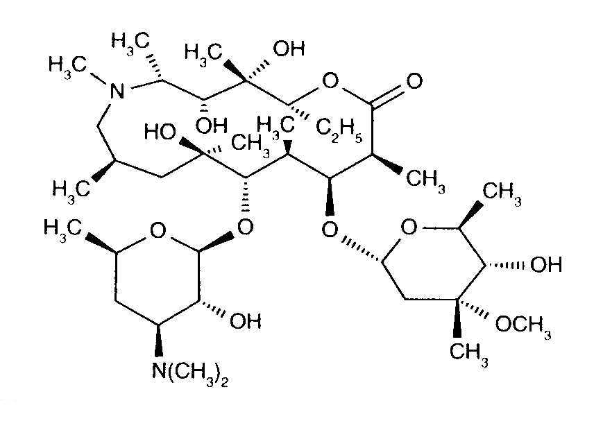
   Cấu trúc hóa học  

Tên thương mại   Tên thương mại     

Các tên thương mại được cung cấp và thành phần tá dược có thể khác nhau giữa các quốc gia và các hãng dược

Azithromycin Canada
Azithromycina Ecuador
Azithromycine Dr Erbeth Đức
Azitromax Thụy Điển
Sumamed Ba Lan, Hungary
Zaret Colombia
Zedbac Anh, Ireland
Zetamac Cộng hòa Séc
Zithromac Nhật
Zithromax Ả Rập, Ả Rập Saudi, Bồ Đào Nha, Canada, Chile, Hoa Kỳ, Malaysia, Phần Lan, Úc, United Arab Emirates
Khả năng tương thích   Dạng tiêm   Khả năng tương thích : Azithromycine              
Màn hình này cho biết khả năng tương thích hoặc không tương thích, trong trường hợp này là loại không tương thích (kết tủa, thay đổi màu sắc, sửa đổi nhũ tương, v.v.). Sự tương hợp được chỉ ra ở đây chủ yếu chỉ là vật lý, với độ ổn định hóa học của mỗi phân tử hiếm khi được đánh giá. Việc đánh giá các hỗn hợp này được nghiên cứu để xem xét khả năng sử dụng vị trí Y cho bệnh nhân. Những dữ liệu này không thể được sử dụng để tạo hỗn hợp trước trong túi hoặc ống tiêm. Loại thông tin này có sẵn trong màn hình "Độ ổn định trong hỗn hợp».
Phân tử Dung môi Mục lục
Tương thích
Dạng tiêm Azithromycine 100 mg/ml
Dạng tiêm Amoxicillin sodium / clavulanic acid 100/10 mg/ml
3824
Tương thích
Dạng tiêm Azithromycine 2 mg/ml
Dạng tiêm Bivalirudin 5 mg/ml
Glucose 5% 1713
Tương thích
Dạng tiêm Azithromycine 500 mg/ml
Dung dịch Ringer’s lactate 4603
Lượng mưa ngay lập tức Không tương thích
Dạng tiêm Azithromycine 2 mg/ml
Dạng tiêm Amikacin sulfate 100 mg/ml
NaCl 0,9% 1800
Lượng mưa ngay lập tức Không tương thích
Dạng tiêm Azithromycine 2 mg/ml
Dạng tiêm Aztreonam 200 mg/ml
NaCl 0,9% 1800
Tương thích
Dạng tiêm Azithromycine 100 mg/ml
Dạng tiêm Caffeine 10 mg/ml
Không 3964
Tương thích
Dạng tiêm Azithromycine 2 mg/ml
Dạng tiêm Caspofungin acetate 0.5 mg/ml
NaCl 0,9% 2233
Tương thích
Dạng tiêm Azithromycine 2 mg/ml
Dạng tiêm Cefiderocol sulfate tosylate 20 mg/mL
NaCl 0,9% 4528
Tương thích
Dạng tiêm Azithromycine 2 mg/ml
Dạng tiêm Cefiderocol sulfate tosylate 20 mg/mL
Glucose 5% 4528
Lượng mưa ngay lập tức Không tương thích
Dạng tiêm Azithromycine 2 mg/ml
Dạng tiêm Cefotaxime sodium 200 mg/ml
NaCl 0,9% 1800
Tương thích
Dạng tiêm Azithromycine 2 mg/ml
Dạng tiêm Ceftaroline fosamil 2,22 mg/ml
Glucose 5% 3249
Tương thích
Dạng tiêm Azithromycine 2 mg/ml
Dạng tiêm Ceftaroline fosamil 2,22 mg/ml
NaCl 0,9% 3249
Tương thích
Dạng tiêm Azithromycine 2 mg/ml
Dạng tiêm Ceftaroline fosamil 2,22 mg/ml
Dung dịch Ringer’s lactate 3249
Lượng mưa ngay lập tức Không tương thích
Dạng tiêm Azithromycine 2 mg/ml
Dạng tiêm Ceftazidime 80 mg/ml
NaCl 0,9% 1800
Tương thích
Dạng tiêm Azithromycine 2 mg/ml
Dạng tiêm Ceftobiprole medocaril sodium 2 mg/ml
NaCl 0,9% 2269
Tương thích
Dạng tiêm Azithromycine 2 mg/ml
Dạng tiêm Ceftobiprole medocaril sodium 2 mg/ml
Dung dịch Ringer’s lactate 2269
Tương thích
Dạng tiêm Azithromycine 2 mg/ml
Dạng tiêm Ceftobiprole medocaril sodium 2 mg/ml
Glucose 5% 2269
Tương thích
Dạng tiêm Azithromycine 2 mg/ml
Dạng tiêm Ceftolozane / tazobactam 10/5 mg/ml
NaCl 0,9% 3828
Tương thích
Dạng tiêm Azithromycine 2 mg/ml
Dạng tiêm Ceftolozane / tazobactam 10/5 mg/ml
Glucose 5% 3828
Lượng mưa ngay lập tức Không tương thích
Dạng tiêm Azithromycine 2 mg/ml
Dạng tiêm Ceftriaxone disodium 66.7 mg/ml
NaCl 0,9% 1800
Lượng mưa ngay lập tức Không tương thích
Dạng tiêm Azithromycine 2 mg/ml
Dạng tiêm Cefuroxime sodium 100 mg/ml
NaCl 0,9% 1800
Lượng mưa ngay lập tức Không tương thích
Dạng tiêm Azithromycine 2 mg/ml
Dạng tiêm Ciprofloxacin lactate 2 mg/ml
NaCl 0,9% 1800
Lượng mưa ngay lập tức Không tương thích
Dạng tiêm Azithromycine 2 mg/ml
Dạng tiêm Clindamycin phosphate 30 mg/ml
NaCl 0,9% 1800
Lượng mưa ngay lập tức Không tương thích
Dạng tiêm Azithromycine 100 mg/ml
Dạng tiêm Cloxacillin sodium 100 mg/ml
Nước cất pha tiêm 3012
Tương thích
Dạng tiêm Azithromycine 2 mg/ml
Dạng tiêm Dexmedetomidine 4 µg/ml
NaCl 0,9% 1712
Tương thích
Dạng tiêm Azithromycine 2 mg/ml
Dạng tiêm Diphenhydramine hydrochloride 50 mg/ml
NaCl 0,9% 1800
Tương thích
Dạng tiêm Azithromycine 2 mg/ml
Dạng tiêm Dolasetron mesylate 20 mg/ml
NaCl 0,9% 1800
Tương thích
Dạng tiêm Azithromycine 2 mg/ml
Dạng tiêm Doripenem 5 mg/ml
Glucose 5% 2262
Tương thích
Dạng tiêm Azithromycine 2 mg/ml
Dạng tiêm Doripenem 5 mg/ml
NaCl 0,9% 2262
Tương thích
Dạng tiêm Azithromycine 2 mg/ml
Dạng tiêm Droperidol 2.5 mg/ml
NaCl 0,9% 1800
Lượng mưa ngay lập tức Không tương thích
Dạng tiêm Azithromycine 2 mg/ml
Dạng tiêm Famotidine 2 mg/ml
NaCl 0,9% 1800
Tương thích
Dạng tiêm Azithromycine 2 mg/ml
Dạng tiêm Fenoldopam mesylate 80 µg/ml
NaCl 0,9% 1803
Lượng mưa ngay lập tức Không tương thích
Dạng tiêm Azithromycine 2 mg/ml
Dạng tiêm Fentanyl citrate 50 µg/ml
NaCl 0,9% 1800
Tương thích
Dạng tiêm Azithromycine 2 mg/ml
Dạng tiêm Fosfomycin 30 mg/ml
NaCl 0,9% 4055
Tương thích
Dạng tiêm Azithromycine 2 mg/ml
Dạng tiêm Fosfomycin 30 mg/ml
Glucose 5% 4055
Lượng mưa ngay lập tức Không tương thích
Dạng tiêm Azithromycine 2 mg/ml
Dạng tiêm Furosemide 10 mg/ml
NaCl 0,9% 1800
Lượng mưa ngay lập tức Không tương thích
Dạng tiêm Azithromycine 2 mg/ml
Dạng tiêm Gentamicin sulfate 21 mg/ml
NaCl 0,9% 1800
Tương thích
Dạng tiêm Azithromycine 2 mg/ml
Dạng tiêm Hetastarch 60 mg/ml
dung môi cụ thể 1721
Lượng mưa ngay lập tức Không tương thích
Dạng tiêm Azithromycine 2 mg/ml
Dạng tiêm Imipenem - cilastatin sodium 5 mg/ml
NaCl 0,9% 1800
Độ đục trong 2 giờ Không tương thích
Dạng tiêm Azithromycine 2 mg/ml
Dạng tiêm Isavuconazonium sulfate 1.5 mg/ml
Glucose 5% 3829
Tương thích
Dạng tiêm Azithromycine 2 mg/ml
Dạng tiêm Isavuconazonium sulfate 1.5 mg/ml
NaCl 0,9% 3829
Lượng mưa ngay lập tức Không tương thích
Dạng tiêm Azithromycine 2 mg/ml
Dạng tiêm Ketorolac tromethamine 15 mg/ml
NaCl 0,9% 1800
Lượng mưa ngay lập tức Không tương thích
Dạng tiêm Azithromycine 2 mg/ml
Dạng tiêm Levofloxacine 5 mg/ml
NaCl 0,9% 1800
Tương thích
Dạng tiêm Azithromycine 100 mg/ml
Dạng tiêm Meropenem 50 mg/ml
Nước cất pha tiêm 4319
Lượng mưa ngay lập tức Không tương thích
Dạng tiêm Azithromycine 2 mg/ml
Dạng tiêm Morphine sulfate 1 mg/ml
NaCl 0,9% 1800
Tương thích
Dạng tiêm Azithromycine 500 mg/ml
Dạng tiêm N-acetylcysteine 200 mg/ml
Không 3766
Tương thích
Dạng tiêm Azithromycine 500 mg/ml
Dạng tiêm Naloxone hydrochloride 0.4 mg/ml
Không 3408
Tương thích
Dạng tiêm Azithromycine 2 mg/ml
Dạng tiêm Ondansetron hydrochloride 2 mg/ml
NaCl 0,9% 1800
Tương thích
Dạng tiêm Azithromycine 100 mg/ml
Dạng tiêm Paracetamol 10 mg/ml
4742
Lượng mưa ngay lập tức Không tương thích
Dạng tiêm Azithromycine 2 mg/ml
Dạng tiêm Piperacillin sodium / tazobactam 112.5 mg/ml
NaCl 0,9% 1800
Tương thích
Dạng tiêm Azithromycine 2 mg/ml
Dạng tiêm Plazomicin sulfate 24 mg/ml
NaCl 0,9% 4145
Lượng mưa ngay lập tức Không tương thích
Dạng tiêm Azithromycine 50 mg/ml
Dạng tiêm Salbutamol sulfate 1 mg/ml
Không 3216
Tương thích
Dạng tiêm Azithromycine 2 mg/ml
Dạng tiêm Sulbactam/durlobactam 15/15 mg/ml
NaCl 0,9% 4801
Tương thích
Dạng tiêm Azithromycine 2 mg/ml
Dạng tiêm Tedizolid phosphate 0.8 mg/ml
NaCl 0,9% 3827
Tương thích
Dạng tiêm Azithromycine 2 mg/ml
Dạng tiêm Telavancin hydrochloride 7.5 mg/ml
Glucose 5% 3254
Tương thích
Dạng tiêm Azithromycine 2 mg/ml
Dạng tiêm Telavancin hydrochloride 7.5 mg/ml
NaCl 0,9% 3254
Tương thích
Dạng tiêm Azithromycine 2 mg/ml
Dạng tiêm Telavancin hydrochloride 7.5 mg/ml
Dung dịch Ringer’s lactate 3254
Lượng mưa ngay lập tức Không tương thích
Dạng tiêm Azithromycine 100 mg/ml
Dạng tiêm Thiopental sodium 25 mg/ml
NaCl 0,9% 3767
Lượng mưa ngay lập tức Không tương thích
Dạng tiêm Azithromycine 2 mg/ml
Dạng tiêm Ticarcillin / clavulanic acid 103.3 mg/ml
NaCl 0,9% 1800
Lượng mưa ngay lập tức Không tương thích
Dạng tiêm Azithromycine 2 mg/ml
Dạng tiêm Tobramycin sulfate 21 mg/ml
NaCl 0,9% 1800

  Mentions Légales