最新更新 :
27/01/2026
抗生素   Azithromycine  
注射液
药膏
溶液稳定性 混合物稳定性 影响稳定性的因素 兼容性 用药途径 引用文献 PDF
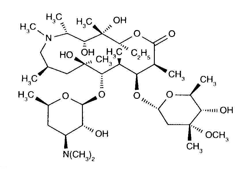
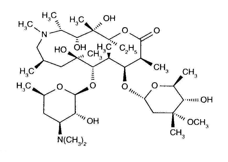
   化学式  

商品名   商品名     

商品名仅供参考, 药品所用的辅料可能依国家或厂商不同有所不同。

Azithromycin 加拿大
Azithromycina 厄瓜多尔
Azithromycine Dr Erbeth 德国
Azitromax 瑞典
Sumamed 匈牙利, 波兰
Zaret 哥伦比亚
Zedbac 爱尔兰, 英国
Zetamac 捷克共和國
Zithromac 日本
Zithromax 加拿大, 埃及, 智利, 沙特阿拉伯, 澳大利亚, 美国, 芬兰, 葡萄牙, 阿联酋, 马来西亚
兼容性   注射液   兼容性 : Azithromycine              
This screen indicates the compatibilities or incompatibilities with, in this case, the type of incompatibility (precipitation, color change, modification of an emulsion, etc.). The compatibilities shown here are mostly physical only, with the chemical stability of each molecule rarely being assessed. The evaluation of these mixtures was studied to consider the possibility of Y-site administration to the patient. These data cannot be used for making mixtures in advance in bags or syringes. This type of information is available in the screen "Stability in mixture ».
分子 溶剂 引用文献
兼容
注射液 Azithromycine 100 mg/ml
注射液 Amoxicillin sodium / clavulanic acid 100/10 mg/ml
3824
兼容
注射液 Azithromycine 2 mg/ml
注射液 Bivalirudin 5 mg/ml
葡萄糖5% 1713
兼容
注射液 Azithromycine 500 mg/ml
Ringer乳酸溶液 4603
立即沉澱 不相容
注射液 Azithromycine 2 mg/ml
注射液 Amikacin sulfate 100 mg/ml
NaCl 0,9% 1800
立即沉澱 不相容
注射液 Azithromycine 2 mg/ml
注射液 Aztreonam 200 mg/ml
NaCl 0,9% 1800
兼容
注射液 Azithromycine 100 mg/ml
注射液 Caffeine 10 mg/ml
无 3964
兼容
注射液 Azithromycine 2 mg/ml
注射液 Caspofungin acetate 0.5 mg/ml
NaCl 0,9% 2233
兼容
注射液 Azithromycine 2 mg/ml
注射液 Cefiderocol sulfate tosylate 20 mg/mL
NaCl 0,9% 4528
兼容
注射液 Azithromycine 2 mg/ml
注射液 Cefiderocol sulfate tosylate 20 mg/mL
葡萄糖5% 4528
立即沉澱 不相容
注射液 Azithromycine 2 mg/ml
注射液 Cefotaxime sodium 200 mg/ml
NaCl 0,9% 1800
兼容
注射液 Azithromycine 2 mg/ml
注射液 Ceftaroline fosamil 2,22 mg/ml
葡萄糖5% 3249
兼容
注射液 Azithromycine 2 mg/ml
注射液 Ceftaroline fosamil 2,22 mg/ml
NaCl 0,9% 3249
兼容
注射液 Azithromycine 2 mg/ml
注射液 Ceftaroline fosamil 2,22 mg/ml
Ringer乳酸溶液 3249
立即沉澱 不相容
注射液 Azithromycine 2 mg/ml
注射液 Ceftazidime 80 mg/ml
NaCl 0,9% 1800
兼容
注射液 Azithromycine 2 mg/ml
注射液 Ceftobiprole medocaril sodium 2 mg/ml
NaCl 0,9% 2269
兼容
注射液 Azithromycine 2 mg/ml
注射液 Ceftobiprole medocaril sodium 2 mg/ml
Ringer乳酸溶液 2269
兼容
注射液 Azithromycine 2 mg/ml
注射液 Ceftobiprole medocaril sodium 2 mg/ml
葡萄糖5% 2269
兼容
注射液 Azithromycine 2 mg/ml
注射液 Ceftolozane / tazobactam 10/5 mg/ml
NaCl 0,9% 3828
兼容
注射液 Azithromycine 2 mg/ml
注射液 Ceftolozane / tazobactam 10/5 mg/ml
葡萄糖5% 3828
立即沉澱 不相容
注射液 Azithromycine 2 mg/ml
注射液 Ceftriaxone disodium 66.7 mg/ml
NaCl 0,9% 1800
立即沉澱 不相容
注射液 Azithromycine 2 mg/ml
注射液 Cefuroxime sodium 100 mg/ml
NaCl 0,9% 1800
立即沉澱 不相容
注射液 Azithromycine 2 mg/ml
注射液 Ciprofloxacin lactate 2 mg/ml
NaCl 0,9% 1800
立即沉澱 不相容
注射液 Azithromycine 2 mg/ml
注射液 Clindamycin phosphate 30 mg/ml
NaCl 0,9% 1800
立即沉澱 不相容
注射液 Azithromycine 100 mg/ml
注射液 Cloxacillin sodium 100 mg/ml
注射用水 3012
兼容
注射液 Azithromycine 2 mg/ml
注射液 Dexmedetomidine 4 µg/ml
NaCl 0,9% 1712
兼容
注射液 Azithromycine 2 mg/ml
注射液 Diphenhydramine hydrochloride 50 mg/ml
NaCl 0,9% 1800
兼容
注射液 Azithromycine 2 mg/ml
注射液 Dolasetron mesylate 20 mg/ml
NaCl 0,9% 1800
兼容
注射液 Azithromycine 2 mg/ml
注射液 Doripenem 5 mg/ml
葡萄糖5% 2262
兼容
注射液 Azithromycine 2 mg/ml
注射液 Doripenem 5 mg/ml
NaCl 0,9% 2262
兼容
注射液 Azithromycine 2 mg/ml
注射液 Droperidol 2.5 mg/ml
NaCl 0,9% 1800
立即沉澱 不相容
注射液 Azithromycine 2 mg/ml
注射液 Famotidine 2 mg/ml
NaCl 0,9% 1800
兼容
注射液 Azithromycine 2 mg/ml
注射液 Fenoldopam mesylate 80 µg/ml
NaCl 0,9% 1803
立即沉澱 不相容
注射液 Azithromycine 2 mg/ml
注射液 Fentanyl citrate 50 µg/ml
NaCl 0,9% 1800
兼容
注射液 Azithromycine 2 mg/ml
注射液 Fosfomycin 30 mg/ml
NaCl 0,9% 4055
兼容
注射液 Azithromycine 2 mg/ml
注射液 Fosfomycin 30 mg/ml
葡萄糖5% 4055
立即沉澱 不相容
注射液 Azithromycine 2 mg/ml
注射液 Furosemide 10 mg/ml
NaCl 0,9% 1800
立即沉澱 不相容
注射液 Azithromycine 2 mg/ml
注射液 Gentamicin sulfate 21 mg/ml
NaCl 0,9% 1800
兼容
注射液 Azithromycine 2 mg/ml
注射液 Hetastarch 60 mg/ml
特定溶液 1721
立即沉澱 不相容
注射液 Azithromycine 2 mg/ml
注射液 Imipenem - cilastatin sodium 5 mg/ml
NaCl 0,9% 1800
2小時內渾濁 不相容
注射液 Azithromycine 2 mg/ml
注射液 Isavuconazonium sulfate 1.5 mg/ml
葡萄糖5% 3829
兼容
注射液 Azithromycine 2 mg/ml
注射液 Isavuconazonium sulfate 1.5 mg/ml
NaCl 0,9% 3829
立即沉澱 不相容
注射液 Azithromycine 2 mg/ml
注射液 Ketorolac tromethamine 15 mg/ml
NaCl 0,9% 1800
立即沉澱 不相容
注射液 Azithromycine 2 mg/ml
注射液 Levofloxacine 5 mg/ml
NaCl 0,9% 1800
兼容
注射液 Azithromycine 100 mg/ml
注射液 Meropenem 50 mg/ml
注射用水 4319
立即沉澱 不相容
注射液 Azithromycine 2 mg/ml
注射液 Morphine sulfate 1 mg/ml
NaCl 0,9% 1800
兼容
注射液 Azithromycine 500 mg/ml
注射液 N-acetylcysteine 200 mg/ml
无 3766
兼容
注射液 Azithromycine 500 mg/ml
注射液 Naloxone hydrochloride 0.4 mg/ml
无 3408
兼容
注射液 Azithromycine 2 mg/ml
注射液 Ondansetron hydrochloride 2 mg/ml
NaCl 0,9% 1800
兼容
注射液 Azithromycine 100 mg/ml
注射液 Paracetamol 10 mg/ml
4742
立即沉澱 不相容
注射液 Azithromycine 2 mg/ml
注射液 Piperacillin sodium / tazobactam 112.5 mg/ml
NaCl 0,9% 1800
兼容
注射液 Azithromycine 2 mg/ml
注射液 Plazomicin sulfate 24 mg/ml
NaCl 0,9% 4145
立即沉澱 不相容
注射液 Azithromycine 50 mg/ml
注射液 Salbutamol sulfate 1 mg/ml
无 3216
兼容
注射液 Azithromycine 2 mg/ml
注射液 Sulbactam/durlobactam 15/15 mg/ml
NaCl 0,9% 4801
兼容
注射液 Azithromycine 2 mg/ml
注射液 Tedizolid phosphate 0.8 mg/ml
NaCl 0,9% 3827
兼容
注射液 Azithromycine 2 mg/ml
注射液 Telavancin hydrochloride 7.5 mg/ml
葡萄糖5% 3254
兼容
注射液 Azithromycine 2 mg/ml
注射液 Telavancin hydrochloride 7.5 mg/ml
NaCl 0,9% 3254
兼容
注射液 Azithromycine 2 mg/ml
注射液 Telavancin hydrochloride 7.5 mg/ml
Ringer乳酸溶液 3254
立即沉澱 不相容
注射液 Azithromycine 100 mg/ml
注射液 Thiopental sodium 25 mg/ml
NaCl 0,9% 3767
立即沉澱 不相容
注射液 Azithromycine 2 mg/ml
注射液 Ticarcillin / clavulanic acid 103.3 mg/ml
NaCl 0,9% 1800
立即沉澱 不相容
注射液 Azithromycine 2 mg/ml
注射液 Tobramycin sulfate 21 mg/ml
NaCl 0,9% 1800

  Mentions Légales