Laatste update :
16/12/2025
Antibioticum   Azithromycine  
zalf
injecteerbaar geneesmiddel
Stabiliteit van farmaceutische preparaten Stabiliteit in mengsels Factoren die de stabiliteit beïnvloeden Verenigbaarheden Literatuur pdf
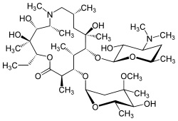
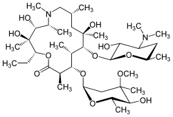
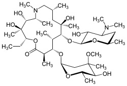
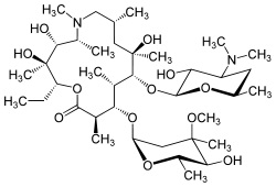
   Molecuulstructuur  

zalf
Stabiliteit van farmaceutische preparaten   zalf   Stabiliteit van farmaceutische preparaten : Azithromycine     
Verpakking Origine  ikˈsipēənt hulpstof Temperatuur Bewaring Duur van de stabiliteit Literatuur
Niet gespecificeerd Geneeskunde fles voor injectie 500 mg
Zithromax
Ethanol 60% >> 25 mL
25°C Met of zonder licht
182 Dag
2894


  Mentions Légales