Última actualización :
27/04/2026
Antibiótico   Azithromycine  
Inyectables
Preparaciones tópicas
Estabilidad en solucion Estabilidad en mezcla Factores que influyen sobre la estabilidad Compatibilidades método de inyección Bibliografía pdf
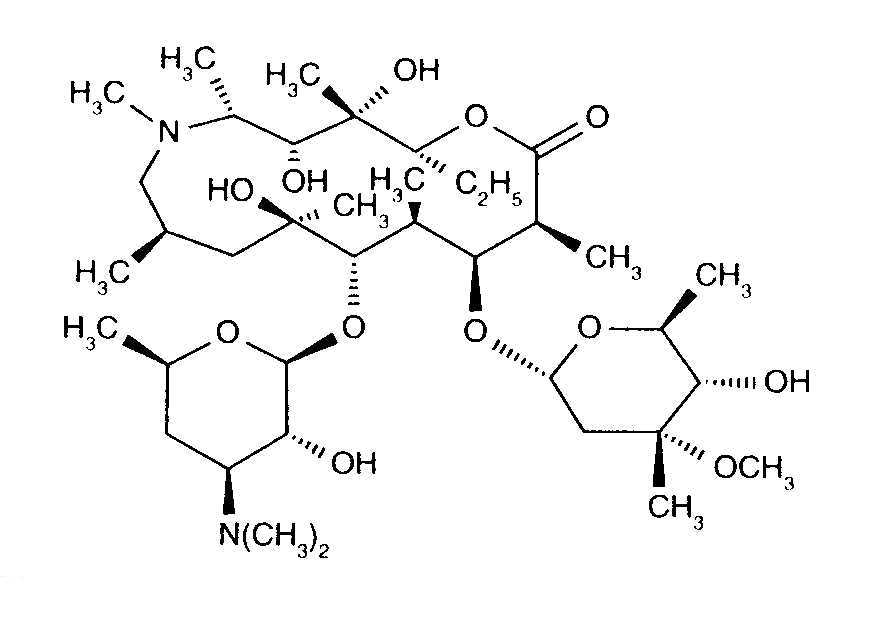
   Estructura química  

Nombre comercial   Nombre comercial     

Los nombres comerciales son orientativos y los excipientes de la formulación pueden ser distintos dependiendo del país y del laboratorio fabricante.

Azithromycin Canadá
Azithromycina Ecuador
Azithromycine Dr Erbeth Alemania
Azitromax Suecia
Sumamed Hungría, Polonia
Zaret Colombia
Zedbac Gran Bretaña, Irlanda
Zetamac República Checa
Zithromac Japón
Zithromax Arabia Saudita, Australia, Canadá, Chile, Egipto, Emiratos Árabes Unidos, Estados Unidos de América, Finlandia, Malasia, Portugal
Compatibilidades   Inyectables   Compatibilidades : Azithromycine              
Esta pantalla muestra las compatibilidades o incompatibilidades, así como el tipo de incompatibilidad (precipitación, cambio de color, modificación de una emulsión, etc). Las compatibilidades que se recogen aquí son fundamentalmente físicas, mostrando raramente la estabilidad química de la molécula. La evaluación de estas mezclas se estudió con el fin de de comprobar la posibilidad de administración en Y al paciente. Estos datos no pueden utilizarse en el caso de la preparación de mezclas dentro de bolsas o jeringas. Este tipo de información está disponible en la pantalla “Estabilidad en mezcla”.
Molécula Solvente Bibliografía
Compatible
Inyectables Azithromycine 100 mg/ml
Inyectables Amoxicillin sodium / clavulanic acid 100/10 mg/ml
3824
Compatible
Inyectables Azithromycine 2 mg/ml
Inyectables Bivalirudin 5 mg/ml
Glucosa 5% 1713
Compatible
Inyectables Azithromycine 500 mg/ml
Ringer lactato 4603
Precipitación inmediata Incompatible
Inyectables Azithromycine 2 mg/ml
Inyectables Amikacin sulfate 100 mg/ml
Cloruro de sodio 0,9% 1800
Precipitación inmediata Incompatible
Inyectables Azithromycine 2 mg/ml
Inyectables Aztreonam 200 mg/ml
Cloruro de sodio 0,9% 1800
Compatible
Inyectables Azithromycine 100 mg/ml
Inyectables Caffeine 10 mg/ml
Ninguno 3964
Compatible
Inyectables Azithromycine 2 mg/ml
Inyectables Caspofungin acetate 0.5 mg/ml
Cloruro de sodio 0,9% 2233
Compatible
Inyectables Azithromycine 2 mg/ml
Inyectables Cefiderocol sulfate tosylate 20 mg/mL
Cloruro de sodio 0,9% 4528
Compatible
Inyectables Azithromycine 2 mg/ml
Inyectables Cefiderocol sulfate tosylate 20 mg/mL
Glucosa 5% 4528
Precipitación inmediata Incompatible
Inyectables Azithromycine 2 mg/ml
Inyectables Cefotaxime sodium 200 mg/ml
Cloruro de sodio 0,9% 1800
Compatible
Inyectables Azithromycine 2 mg/ml
Inyectables Ceftaroline fosamil 2,22 mg/ml
Glucosa 5% 3249
Compatible
Inyectables Azithromycine 2 mg/ml
Inyectables Ceftaroline fosamil 2,22 mg/ml
Cloruro de sodio 0,9% 3249
Compatible
Inyectables Azithromycine 2 mg/ml
Inyectables Ceftaroline fosamil 2,22 mg/ml
Ringer lactato 3249
Precipitación inmediata Incompatible
Inyectables Azithromycine 2 mg/ml
Inyectables Ceftazidime 80 mg/ml
Cloruro de sodio 0,9% 1800
Compatible
Inyectables Azithromycine 2 mg/ml
Inyectables Ceftobiprole medocaril sodium 2 mg/ml
Cloruro de sodio 0,9% 2269
Compatible
Inyectables Azithromycine 2 mg/ml
Inyectables Ceftobiprole medocaril sodium 2 mg/ml
Ringer lactato 2269
Compatible
Inyectables Azithromycine 2 mg/ml
Inyectables Ceftobiprole medocaril sodium 2 mg/ml
Glucosa 5% 2269
Compatible
Inyectables Azithromycine 2 mg/ml
Inyectables Ceftolozane / tazobactam 10/5 mg/ml
Cloruro de sodio 0,9% 3828
Compatible
Inyectables Azithromycine 2 mg/ml
Inyectables Ceftolozane / tazobactam 10/5 mg/ml
Glucosa 5% 3828
Precipitación inmediata Incompatible
Inyectables Azithromycine 2 mg/ml
Inyectables Ceftriaxone disodium 66.7 mg/ml
Cloruro de sodio 0,9% 1800
Precipitación inmediata Incompatible
Inyectables Azithromycine 2 mg/ml
Inyectables Cefuroxime sodium 100 mg/ml
Cloruro de sodio 0,9% 1800
Precipitación inmediata Incompatible
Inyectables Azithromycine 2 mg/ml
Inyectables Ciprofloxacin lactate 2 mg/ml
Cloruro de sodio 0,9% 1800
Precipitación inmediata Incompatible
Inyectables Azithromycine 2 mg/ml
Inyectables Clindamycin phosphate 30 mg/ml
Cloruro de sodio 0,9% 1800
Precipitación inmediata Incompatible
Inyectables Azithromycine 100 mg/ml
Inyectables Cloxacillin sodium 100 mg/ml
Agua para preparación inyectable 3012
Compatible
Inyectables Azithromycine 2 mg/ml
Inyectables Dexmedetomidine 4 µg/ml
Cloruro de sodio 0,9% 1712
Compatible
Inyectables Azithromycine 2 mg/ml
Inyectables Diphenhydramine hydrochloride 50 mg/ml
Cloruro de sodio 0,9% 1800
Compatible
Inyectables Azithromycine 2 mg/ml
Inyectables Dolasetron mesylate 20 mg/ml
Cloruro de sodio 0,9% 1800
Compatible
Inyectables Azithromycine 2 mg/ml
Inyectables Doripenem 5 mg/ml
Glucosa 5% 2262
Compatible
Inyectables Azithromycine 2 mg/ml
Inyectables Doripenem 5 mg/ml
Cloruro de sodio 0,9% 2262
Compatible
Inyectables Azithromycine 2 mg/ml
Inyectables Droperidol 2.5 mg/ml
Cloruro de sodio 0,9% 1800
Precipitación inmediata Incompatible
Inyectables Azithromycine 2 mg/ml
Inyectables Famotidine 2 mg/ml
Cloruro de sodio 0,9% 1800
Compatible
Inyectables Azithromycine 2 mg/ml
Inyectables Fenoldopam mesylate 80 µg/ml
Cloruro de sodio 0,9% 1803
Precipitación inmediata Incompatible
Inyectables Azithromycine 2 mg/ml
Inyectables Fentanyl citrate 50 µg/ml
Cloruro de sodio 0,9% 1800
Compatible
Inyectables Azithromycine 2 mg/ml
Inyectables Fosfomycin 30 mg/ml
Cloruro de sodio 0,9% 4055
Compatible
Inyectables Azithromycine 2 mg/ml
Inyectables Fosfomycin 30 mg/ml
Glucosa 5% 4055
Precipitación inmediata Incompatible
Inyectables Azithromycine 2 mg/ml
Inyectables Furosemide 10 mg/ml
Cloruro de sodio 0,9% 1800
Precipitación inmediata Incompatible
Inyectables Azithromycine 2 mg/ml
Inyectables Gentamicin sulfate 21 mg/ml
Cloruro de sodio 0,9% 1800
Compatible
Inyectables Azithromycine 2 mg/ml
Inyectables Hetastarch 60 mg/ml
específico disolvente 1721
Precipitación inmediata Incompatible
Inyectables Azithromycine 2 mg/ml
Inyectables Imipenem - cilastatin sodium 5 mg/ml
Cloruro de sodio 0,9% 1800
Turbidez en 2 horas Incompatible
Inyectables Azithromycine 2 mg/ml
Inyectables Isavuconazonium sulfate 1.5 mg/ml
Glucosa 5% 3829
Compatible
Inyectables Azithromycine 2 mg/ml
Inyectables Isavuconazonium sulfate 1.5 mg/ml
Cloruro de sodio 0,9% 3829
Precipitación inmediata Incompatible
Inyectables Azithromycine 2 mg/ml
Inyectables Ketorolac tromethamine 15 mg/ml
Cloruro de sodio 0,9% 1800
Precipitación inmediata Incompatible
Inyectables Azithromycine 2 mg/ml
Inyectables Levofloxacine 5 mg/ml
Cloruro de sodio 0,9% 1800
Compatible
Inyectables Azithromycine 100 mg/ml
Inyectables Meropenem 50 mg/ml
Agua para preparación inyectable 4319
Precipitación inmediata Incompatible
Inyectables Azithromycine 2 mg/ml
Inyectables Morphine sulfate 1 mg/ml
Cloruro de sodio 0,9% 1800
Compatible
Inyectables Azithromycine 500 mg/ml
Inyectables N-acetylcysteine 200 mg/ml
Ninguno 3766
Compatible
Inyectables Azithromycine 500 mg/ml
Inyectables Naloxone hydrochloride 0.4 mg/ml
Ninguno 3408
Compatible
Inyectables Azithromycine 2 mg/ml
Inyectables Ondansetron hydrochloride 2 mg/ml
Cloruro de sodio 0,9% 1800
Compatible
Inyectables Azithromycine 100 mg/ml
Inyectables Paracetamol 10 mg/ml
4742
Precipitación inmediata Incompatible
Inyectables Azithromycine 2 mg/ml
Inyectables Piperacillin sodium / tazobactam 112.5 mg/ml
Cloruro de sodio 0,9% 1800
Compatible
Inyectables Azithromycine 2 mg/ml
Inyectables Plazomicin sulfate 24 mg/ml
Cloruro de sodio 0,9% 4145
Precipitación inmediata Incompatible
Inyectables Azithromycine 50 mg/ml
Inyectables Salbutamol sulfate 1 mg/ml
Ninguno 3216
Compatible
Inyectables Azithromycine 2 mg/ml
Inyectables Sulbactam/durlobactam 15/15 mg/ml
Cloruro de sodio 0,9% 4801
Compatible
Inyectables Azithromycine 2 mg/ml
Inyectables Tedizolid phosphate 0.8 mg/ml
Cloruro de sodio 0,9% 3827
Compatible
Inyectables Azithromycine 2 mg/ml
Inyectables Telavancin hydrochloride 7.5 mg/ml
Glucosa 5% 3254
Compatible
Inyectables Azithromycine 2 mg/ml
Inyectables Telavancin hydrochloride 7.5 mg/ml
Cloruro de sodio 0,9% 3254
Compatible
Inyectables Azithromycine 2 mg/ml
Inyectables Telavancin hydrochloride 7.5 mg/ml
Ringer lactato 3254
Precipitación inmediata Incompatible
Inyectables Azithromycine 100 mg/ml
Inyectables Thiopental sodium 25 mg/ml
Cloruro de sodio 0,9% 3767
Precipitación inmediata Incompatible
Inyectables Azithromycine 2 mg/ml
Inyectables Ticarcillin / clavulanic acid 103.3 mg/ml
Cloruro de sodio 0,9% 1800
Precipitación inmediata Incompatible
Inyectables Azithromycine 2 mg/ml
Inyectables Tobramycin sulfate 21 mg/ml
Cloruro de sodio 0,9% 1800

  Mentions Légales