Останнє оновлення :
27/01/2026
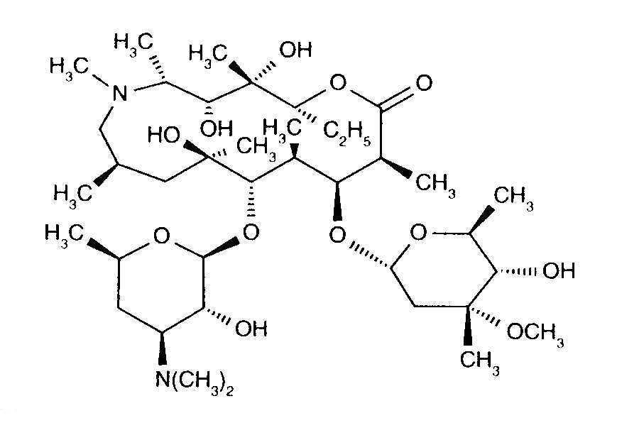
Антибіотик   Azithromycine  
ін'єкція
Мазі
Стійкість в розчинах Стійкість сумішей Фактори, що впливають на стабільність Сумісність Шлях введення Список літератури pdf
   Хімічна структура  

Торгова назва   Торгова назва     

Торгові назви є орієнтовними, а склад допоміжних речовин може бути різним залежно від країни та виробника

Azithromycin Канада
Azithromycina Еквадор
Azithromycine Dr Erbeth Німеччина
Azitromax Швеція
Sumamed Польща, Угорщина
Zaret Колумбія
Zedbac Ірландія, Великобританія
Zetamac Чеська Республіка
Zithromac Японія
Zithromax Єгипет, Австралія, Канада, Малайзія, Об'єднані Арабські Емірати, Португалія, Саудівська Аравія, Сполучені Штати Америки, Фінляндія, Чилі
Сумісність   ін'єкція   Сумісність : Azithromycine              
explication_incompatibilite_molecules
З'єднання Розчинник Список літератури
сумісний
ін'єкція Azithromycine 100 mg/ml
ін'єкція Amoxicillin sodium / clavulanic acid 100/10 mg/ml
3824
сумісний
ін'єкція Azithromycine 2 mg/ml
ін'єкція Bivalirudin 5 mg/ml
Глюкоза 5% 1713
сумісний
ін'єкція Azithromycine 500 mg/ml
Розчин лактату Рінгера 4603
Миттєві опади Несумісні
ін'єкція Azithromycine 2 mg/ml
ін'єкція Amikacin sulfate 100 mg/ml
Натрію хлорид 0,9% 1800
Миттєві опади Несумісні
ін'єкція Azithromycine 2 mg/ml
ін'єкція Aztreonam 200 mg/ml
Натрію хлорид 0,9% 1800
сумісний
ін'єкція Azithromycine 100 mg/ml
ін'єкція Caffeine 10 mg/ml
Жодного 3964
сумісний
ін'єкція Azithromycine 2 mg/ml
ін'єкція Caspofungin acetate 0.5 mg/ml
Натрію хлорид 0,9% 2233
сумісний
ін'єкція Azithromycine 2 mg/ml
ін'єкція Cefiderocol sulfate tosylate 20 mg/mL
Натрію хлорид 0,9% 4528
сумісний
ін'єкція Azithromycine 2 mg/ml
ін'єкція Cefiderocol sulfate tosylate 20 mg/mL
Глюкоза 5% 4528
Миттєві опади Несумісні
ін'єкція Azithromycine 2 mg/ml
ін'єкція Cefotaxime sodium 200 mg/ml
Натрію хлорид 0,9% 1800
сумісний
ін'єкція Azithromycine 2 mg/ml
ін'єкція Ceftaroline fosamil 2,22 mg/ml
Глюкоза 5% 3249
сумісний
ін'єкція Azithromycine 2 mg/ml
ін'єкція Ceftaroline fosamil 2,22 mg/ml
Натрію хлорид 0,9% 3249
сумісний
ін'єкція Azithromycine 2 mg/ml
ін'єкція Ceftaroline fosamil 2,22 mg/ml
Розчин лактату Рінгера 3249
Миттєві опади Несумісні
ін'єкція Azithromycine 2 mg/ml
ін'єкція Ceftazidime 80 mg/ml
Натрію хлорид 0,9% 1800
сумісний
ін'єкція Azithromycine 2 mg/ml
ін'єкція Ceftobiprole medocaril sodium 2 mg/ml
Натрію хлорид 0,9% 2269
сумісний
ін'єкція Azithromycine 2 mg/ml
ін'єкція Ceftobiprole medocaril sodium 2 mg/ml
Розчин лактату Рінгера 2269
сумісний
ін'єкція Azithromycine 2 mg/ml
ін'єкція Ceftobiprole medocaril sodium 2 mg/ml
Глюкоза 5% 2269
сумісний
ін'єкція Azithromycine 2 mg/ml
ін'єкція Ceftolozane / tazobactam 10/5 mg/ml
Натрію хлорид 0,9% 3828
сумісний
ін'єкція Azithromycine 2 mg/ml
ін'єкція Ceftolozane / tazobactam 10/5 mg/ml
Глюкоза 5% 3828
Миттєві опади Несумісні
ін'єкція Azithromycine 2 mg/ml
ін'єкція Ceftriaxone disodium 66.7 mg/ml
Натрію хлорид 0,9% 1800
Миттєві опади Несумісні
ін'єкція Azithromycine 2 mg/ml
ін'єкція Cefuroxime sodium 100 mg/ml
Натрію хлорид 0,9% 1800
Миттєві опади Несумісні
ін'єкція Azithromycine 2 mg/ml
ін'єкція Ciprofloxacin lactate 2 mg/ml
Натрію хлорид 0,9% 1800
Миттєві опади Несумісні
ін'єкція Azithromycine 2 mg/ml
ін'єкція Clindamycin phosphate 30 mg/ml
Натрію хлорид 0,9% 1800
Миттєві опади Несумісні
ін'єкція Azithromycine 100 mg/ml
ін'єкція Cloxacillin sodium 100 mg/ml
Вода для ін'єкцій 3012
сумісний
ін'єкція Azithromycine 2 mg/ml
ін'єкція Dexmedetomidine 4 µg/ml
Натрію хлорид 0,9% 1712
сумісний
ін'єкція Azithromycine 2 mg/ml
ін'єкція Diphenhydramine hydrochloride 50 mg/ml
Натрію хлорид 0,9% 1800
сумісний
ін'єкція Azithromycine 2 mg/ml
ін'єкція Dolasetron mesylate 20 mg/ml
Натрію хлорид 0,9% 1800
сумісний
ін'єкція Azithromycine 2 mg/ml
ін'єкція Doripenem 5 mg/ml
Глюкоза 5% 2262
сумісний
ін'єкція Azithromycine 2 mg/ml
ін'єкція Doripenem 5 mg/ml
Натрію хлорид 0,9% 2262
сумісний
ін'єкція Azithromycine 2 mg/ml
ін'єкція Droperidol 2.5 mg/ml
Натрію хлорид 0,9% 1800
Миттєві опади Несумісні
ін'єкція Azithromycine 2 mg/ml
ін'єкція Famotidine 2 mg/ml
Натрію хлорид 0,9% 1800
сумісний
ін'єкція Azithromycine 2 mg/ml
ін'єкція Fenoldopam mesylate 80 µg/ml
Натрію хлорид 0,9% 1803
Миттєві опади Несумісні
ін'єкція Azithromycine 2 mg/ml
ін'єкція Fentanyl citrate 50 µg/ml
Натрію хлорид 0,9% 1800
сумісний
ін'єкція Azithromycine 2 mg/ml
ін'єкція Fosfomycin 30 mg/ml
Натрію хлорид 0,9% 4055
сумісний
ін'єкція Azithromycine 2 mg/ml
ін'єкція Fosfomycin 30 mg/ml
Глюкоза 5% 4055
Миттєві опади Несумісні
ін'єкція Azithromycine 2 mg/ml
ін'єкція Furosemide 10 mg/ml
Натрію хлорид 0,9% 1800
Миттєві опади Несумісні
ін'єкція Azithromycine 2 mg/ml
ін'єкція Gentamicin sulfate 21 mg/ml
Натрію хлорид 0,9% 1800
сумісний
ін'єкція Azithromycine 2 mg/ml
ін'єкція Hetastarch 60 mg/ml
специфічний розчинник 1721
Миттєві опади Несумісні
ін'єкція Azithromycine 2 mg/ml
ін'єкція Imipenem - cilastatin sodium 5 mg/ml
Натрію хлорид 0,9% 1800
Помутніння через 2 години Несумісні
ін'єкція Azithromycine 2 mg/ml
ін'єкція Isavuconazonium sulfate 1.5 mg/ml
Глюкоза 5% 3829
сумісний
ін'єкція Azithromycine 2 mg/ml
ін'єкція Isavuconazonium sulfate 1.5 mg/ml
Натрію хлорид 0,9% 3829
Миттєві опади Несумісні
ін'єкція Azithromycine 2 mg/ml
ін'єкція Ketorolac tromethamine 15 mg/ml
Натрію хлорид 0,9% 1800
Миттєві опади Несумісні
ін'єкція Azithromycine 2 mg/ml
ін'єкція Levofloxacine 5 mg/ml
Натрію хлорид 0,9% 1800
сумісний
ін'єкція Azithromycine 100 mg/ml
ін'єкція Meropenem 50 mg/ml
Вода для ін'єкцій 4319
Миттєві опади Несумісні
ін'єкція Azithromycine 2 mg/ml
ін'єкція Morphine sulfate 1 mg/ml
Натрію хлорид 0,9% 1800
сумісний
ін'єкція Azithromycine 500 mg/ml
ін'єкція N-acetylcysteine 200 mg/ml
Жодного 3766
сумісний
ін'єкція Azithromycine 500 mg/ml
ін'єкція Naloxone hydrochloride 0.4 mg/ml
Жодного 3408
сумісний
ін'єкція Azithromycine 2 mg/ml
ін'єкція Ondansetron hydrochloride 2 mg/ml
Натрію хлорид 0,9% 1800
сумісний
ін'єкція Azithromycine 100 mg/ml
ін'єкція Paracetamol 10 mg/ml
4742
Миттєві опади Несумісні
ін'єкція Azithromycine 2 mg/ml
ін'єкція Piperacillin sodium / tazobactam 112.5 mg/ml
Натрію хлорид 0,9% 1800
сумісний
ін'єкція Azithromycine 2 mg/ml
ін'єкція Plazomicin sulfate 24 mg/ml
Натрію хлорид 0,9% 4145
Миттєві опади Несумісні
ін'єкція Azithromycine 50 mg/ml
ін'єкція Salbutamol sulfate 1 mg/ml
Жодного 3216
сумісний
ін'єкція Azithromycine 2 mg/ml
ін'єкція Sulbactam/durlobactam 15/15 mg/ml
Натрію хлорид 0,9% 4801
сумісний
ін'єкція Azithromycine 2 mg/ml
ін'єкція Tedizolid phosphate 0.8 mg/ml
Натрію хлорид 0,9% 3827
сумісний
ін'єкція Azithromycine 2 mg/ml
ін'єкція Telavancin hydrochloride 7.5 mg/ml
Глюкоза 5% 3254
сумісний
ін'єкція Azithromycine 2 mg/ml
ін'єкція Telavancin hydrochloride 7.5 mg/ml
Натрію хлорид 0,9% 3254
сумісний
ін'єкція Azithromycine 2 mg/ml
ін'єкція Telavancin hydrochloride 7.5 mg/ml
Розчин лактату Рінгера 3254
Миттєві опади Несумісні
ін'єкція Azithromycine 100 mg/ml
ін'єкція Thiopental sodium 25 mg/ml
Натрію хлорид 0,9% 3767
Миттєві опади Несумісні
ін'єкція Azithromycine 2 mg/ml
ін'єкція Ticarcillin / clavulanic acid 103.3 mg/ml
Натрію хлорид 0,9% 1800
Миттєві опади Несумісні
ін'єкція Azithromycine 2 mg/ml
ін'єкція Tobramycin sulfate 21 mg/ml
Натрію хлорид 0,9% 1800

  Mentions Légales