Senaste uppdateringen :
27/01/2026
Antibiotikum   Azithromycine  
injektion
Salvor
Lösningars stabilitet Stabilitet i blandningar Faktorer som påverkar stabiliteten Kompatibilitet Administreringssätt Hänvisningar pdf
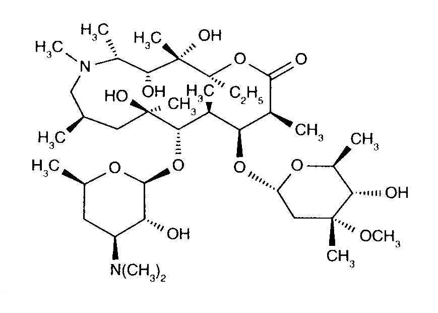
   Molekylstruktur  

Varunamn   Varunamn     

Angivna handelsnamn på läkemedel är enbart vägledande då formulering inklusive hjälpämnen kan variera mellan länder och tillverkare

Azithromycin Kanada
Azithromycina Ecuador
Azithromycine Dr Erbeth Tyskland
Azitromax Sverige
Sumamed Polen, Ungern
Zaret Colombia
Zedbac Irland, Storbritannien
Zetamac Tjeckien
Zithromac Japan
Zithromax Australien, Chile, Egypten, Finland, Förenade Arabemiraten, Förenta Staterna, Kanada, Malaysia, Portugal, Saudi-Arabien
Kompatibilitet   injektion   Kompatibilitet : Azithromycine              
Den här skärmen visar kompatibiliteten eller inkompatibiliteten med, i detta fall, typen av inkompatibilitet (utfällning, färgförändring, modifiering av en emulsion, etc.). De kompatibiliteter som visas här är oftast endast fysiska, varvid den kemiska stabiliteten för varje molekyl sällan utvärderas. Utvärderingen av dessa blandningar studerades för att överväga möjligheten för Y-platsadministrering till patienten. Dessa data kan inte användas för att göra blandningar i förväg i påsar eller sprutor. Denna typ av information finns på skärmen "Stabilitet i blandning".
Substans Lösningsmedel Hänvisningar
Kompatibel
injektion Azithromycine 100 mg/ml
injektion Amoxicillin sodium / clavulanic acid 100/10 mg/ml
3824
Kompatibel
injektion Azithromycine 2 mg/ml
injektion Bivalirudin 5 mg/ml
Glukos 5 % 1713
Kompatibel
injektion Azithromycine 500 mg/ml
Ringer-laktatlösning 4603
Omedelbar nederbörd Oförenlig
injektion Azithromycine 2 mg/ml
injektion Amikacin sulfate 100 mg/ml
Natriumklorid 0,9 % 1800
Omedelbar nederbörd Oförenlig
injektion Azithromycine 2 mg/ml
injektion Aztreonam 200 mg/ml
Natriumklorid 0,9 % 1800
Kompatibel
injektion Azithromycine 100 mg/ml
injektion Caffeine 10 mg/ml
Ingen 3964
Kompatibel
injektion Azithromycine 2 mg/ml
injektion Caspofungin acetate 0.5 mg/ml
Natriumklorid 0,9 % 2233
Kompatibel
injektion Azithromycine 2 mg/ml
injektion Cefiderocol sulfate tosylate 20 mg/mL
Natriumklorid 0,9 % 4528
Kompatibel
injektion Azithromycine 2 mg/ml
injektion Cefiderocol sulfate tosylate 20 mg/mL
Glukos 5 % 4528
Omedelbar nederbörd Oförenlig
injektion Azithromycine 2 mg/ml
injektion Cefotaxime sodium 200 mg/ml
Natriumklorid 0,9 % 1800
Kompatibel
injektion Azithromycine 2 mg/ml
injektion Ceftaroline fosamil 2,22 mg/ml
Glukos 5 % 3249
Kompatibel
injektion Azithromycine 2 mg/ml
injektion Ceftaroline fosamil 2,22 mg/ml
Natriumklorid 0,9 % 3249
Kompatibel
injektion Azithromycine 2 mg/ml
injektion Ceftaroline fosamil 2,22 mg/ml
Ringer-laktatlösning 3249
Omedelbar nederbörd Oförenlig
injektion Azithromycine 2 mg/ml
injektion Ceftazidime 80 mg/ml
Natriumklorid 0,9 % 1800
Kompatibel
injektion Azithromycine 2 mg/ml
injektion Ceftobiprole medocaril sodium 2 mg/ml
Natriumklorid 0,9 % 2269
Kompatibel
injektion Azithromycine 2 mg/ml
injektion Ceftobiprole medocaril sodium 2 mg/ml
Ringer-laktatlösning 2269
Kompatibel
injektion Azithromycine 2 mg/ml
injektion Ceftobiprole medocaril sodium 2 mg/ml
Glukos 5 % 2269
Kompatibel
injektion Azithromycine 2 mg/ml
injektion Ceftolozane / tazobactam 10/5 mg/ml
Natriumklorid 0,9 % 3828
Kompatibel
injektion Azithromycine 2 mg/ml
injektion Ceftolozane / tazobactam 10/5 mg/ml
Glukos 5 % 3828
Omedelbar nederbörd Oförenlig
injektion Azithromycine 2 mg/ml
injektion Ceftriaxone disodium 66.7 mg/ml
Natriumklorid 0,9 % 1800
Omedelbar nederbörd Oförenlig
injektion Azithromycine 2 mg/ml
injektion Cefuroxime sodium 100 mg/ml
Natriumklorid 0,9 % 1800
Omedelbar nederbörd Oförenlig
injektion Azithromycine 2 mg/ml
injektion Ciprofloxacin lactate 2 mg/ml
Natriumklorid 0,9 % 1800
Omedelbar nederbörd Oförenlig
injektion Azithromycine 2 mg/ml
injektion Clindamycin phosphate 30 mg/ml
Natriumklorid 0,9 % 1800
Omedelbar nederbörd Oförenlig
injektion Azithromycine 100 mg/ml
injektion Cloxacillin sodium 100 mg/ml
Vatten för injektion 3012
Kompatibel
injektion Azithromycine 2 mg/ml
injektion Dexmedetomidine 4 µg/ml
Natriumklorid 0,9 % 1712
Kompatibel
injektion Azithromycine 2 mg/ml
injektion Diphenhydramine hydrochloride 50 mg/ml
Natriumklorid 0,9 % 1800
Kompatibel
injektion Azithromycine 2 mg/ml
injektion Dolasetron mesylate 20 mg/ml
Natriumklorid 0,9 % 1800
Kompatibel
injektion Azithromycine 2 mg/ml
injektion Doripenem 5 mg/ml
Glukos 5 % 2262
Kompatibel
injektion Azithromycine 2 mg/ml
injektion Doripenem 5 mg/ml
Natriumklorid 0,9 % 2262
Kompatibel
injektion Azithromycine 2 mg/ml
injektion Droperidol 2.5 mg/ml
Natriumklorid 0,9 % 1800
Omedelbar nederbörd Oförenlig
injektion Azithromycine 2 mg/ml
injektion Famotidine 2 mg/ml
Natriumklorid 0,9 % 1800
Kompatibel
injektion Azithromycine 2 mg/ml
injektion Fenoldopam mesylate 80 µg/ml
Natriumklorid 0,9 % 1803
Omedelbar nederbörd Oförenlig
injektion Azithromycine 2 mg/ml
injektion Fentanyl citrate 50 µg/ml
Natriumklorid 0,9 % 1800
Kompatibel
injektion Azithromycine 2 mg/ml
injektion Fosfomycin 30 mg/ml
Natriumklorid 0,9 % 4055
Kompatibel
injektion Azithromycine 2 mg/ml
injektion Fosfomycin 30 mg/ml
Glukos 5 % 4055
Omedelbar nederbörd Oförenlig
injektion Azithromycine 2 mg/ml
injektion Furosemide 10 mg/ml
Natriumklorid 0,9 % 1800
Omedelbar nederbörd Oförenlig
injektion Azithromycine 2 mg/ml
injektion Gentamicin sulfate 21 mg/ml
Natriumklorid 0,9 % 1800
Kompatibel
injektion Azithromycine 2 mg/ml
injektion Hetastarch 60 mg/ml
specifikt lösningsmedel 1721
Omedelbar nederbörd Oförenlig
injektion Azithromycine 2 mg/ml
injektion Imipenem - cilastatin sodium 5 mg/ml
Natriumklorid 0,9 % 1800
Grumlighet på 2 timmar Oförenlig
injektion Azithromycine 2 mg/ml
injektion Isavuconazonium sulfate 1.5 mg/ml
Glukos 5 % 3829
Kompatibel
injektion Azithromycine 2 mg/ml
injektion Isavuconazonium sulfate 1.5 mg/ml
Natriumklorid 0,9 % 3829
Omedelbar nederbörd Oförenlig
injektion Azithromycine 2 mg/ml
injektion Ketorolac tromethamine 15 mg/ml
Natriumklorid 0,9 % 1800
Omedelbar nederbörd Oförenlig
injektion Azithromycine 2 mg/ml
injektion Levofloxacine 5 mg/ml
Natriumklorid 0,9 % 1800
Kompatibel
injektion Azithromycine 100 mg/ml
injektion Meropenem 50 mg/ml
Vatten för injektion 4319
Omedelbar nederbörd Oförenlig
injektion Azithromycine 2 mg/ml
injektion Morphine sulfate 1 mg/ml
Natriumklorid 0,9 % 1800
Kompatibel
injektion Azithromycine 500 mg/ml
injektion N-acetylcysteine 200 mg/ml
Ingen 3766
Kompatibel
injektion Azithromycine 500 mg/ml
injektion Naloxone hydrochloride 0.4 mg/ml
Ingen 3408
Kompatibel
injektion Azithromycine 2 mg/ml
injektion Ondansetron hydrochloride 2 mg/ml
Natriumklorid 0,9 % 1800
Kompatibel
injektion Azithromycine 100 mg/ml
injektion Paracetamol 10 mg/ml
4742
Omedelbar nederbörd Oförenlig
injektion Azithromycine 2 mg/ml
injektion Piperacillin sodium / tazobactam 112.5 mg/ml
Natriumklorid 0,9 % 1800
Kompatibel
injektion Azithromycine 2 mg/ml
injektion Plazomicin sulfate 24 mg/ml
Natriumklorid 0,9 % 4145
Omedelbar nederbörd Oförenlig
injektion Azithromycine 50 mg/ml
injektion Salbutamol sulfate 1 mg/ml
Ingen 3216
Kompatibel
injektion Azithromycine 2 mg/ml
injektion Sulbactam/durlobactam 15/15 mg/ml
Natriumklorid 0,9 % 4801
Kompatibel
injektion Azithromycine 2 mg/ml
injektion Tedizolid phosphate 0.8 mg/ml
Natriumklorid 0,9 % 3827
Kompatibel
injektion Azithromycine 2 mg/ml
injektion Telavancin hydrochloride 7.5 mg/ml
Glukos 5 % 3254
Kompatibel
injektion Azithromycine 2 mg/ml
injektion Telavancin hydrochloride 7.5 mg/ml
Natriumklorid 0,9 % 3254
Kompatibel
injektion Azithromycine 2 mg/ml
injektion Telavancin hydrochloride 7.5 mg/ml
Ringer-laktatlösning 3254
Omedelbar nederbörd Oförenlig
injektion Azithromycine 100 mg/ml
injektion Thiopental sodium 25 mg/ml
Natriumklorid 0,9 % 3767
Omedelbar nederbörd Oförenlig
injektion Azithromycine 2 mg/ml
injektion Ticarcillin / clavulanic acid 103.3 mg/ml
Natriumklorid 0,9 % 1800
Omedelbar nederbörd Oförenlig
injektion Azithromycine 2 mg/ml
injektion Tobramycin sulfate 21 mg/ml
Natriumklorid 0,9 % 1800

  Mentions Légales