Siste oppdatering :
27/04/2026
Antibiotika   Azithromycine  
Injeksjon
Salver
Oppløsningsstabilitet Stabilitet i blandinger Faktorer som påvirker stabiliteten Kompatibilitet Administrasjonsmåte Referanser pdf
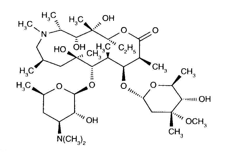
   Kjemisk struktur  

Handelsnavn   Handelsnavn     

Handelsnavn er veiledende og sammensetning av hjelpestoffer kan være forskjellig avhengig av land og produsent

Azithromycin Canada
Azithromycina Ecuador
Azithromycine Dr Erbeth Tyskland
Azitromax Sverige
Sumamed Polen, Ungarn
Zaret Colombia
Zedbac Irland, Storbritannia
Zetamac Czech Republic
Zithromac Japan
Zithromax Australia, Canada, Chile, De forente arabiske emirater, Egypt, Finland, Malaysia, Portugal, Saudi-Arabia, USA
Kompatibilitet   Injeksjon   Kompatibilitet : Azithromycine              
Dette skjermbildet viser kompatibilitet eller inkompatibilitet med, i dette tilfellet, typen inkompatibilitet (nedbør, fargeendring, modifisering av en emulsjon, etc.). Kompatibilitetene som er vist her, er for det meste bare fysiske, og den kjemiske stabiliteten til hvert molekyl blir sjelden vurdert. Evalueringen av disse blandingene ble studert for å vurdere muligheten for Y-stedadministrasjon til pasienten. Disse dataene kan ikke brukes til å lage blandinger på forhånd i poser eller sprøyter. Denne typen informasjon er tilgjengelig på skjermen "Stabilitet i blanding".
Legemiddel Oppløsningsmiddel Referanser
Kompatibel
Injeksjon Azithromycine 100 mg/ml
Injeksjon Amoxicillin sodium / clavulanic acid 100/10 mg/ml
3824
Kompatibel
Injeksjon Azithromycine 2 mg/ml
Injeksjon Bivalirudin 5 mg/ml
Glukose 5 % 1713
Kompatibel
Injeksjon Azithromycine 500 mg/ml
Ringers laktatoppløsning 4603
Umiddelbar nedbør Uforenlig
Injeksjon Azithromycine 2 mg/ml
Injeksjon Amikacin sulfate 100 mg/ml
Natriumklorid 0,9 % 1800
Umiddelbar nedbør Uforenlig
Injeksjon Azithromycine 2 mg/ml
Injeksjon Aztreonam 200 mg/ml
Natriumklorid 0,9 % 1800
Kompatibel
Injeksjon Azithromycine 100 mg/ml
Injeksjon Caffeine 10 mg/ml
Ingen 3964
Kompatibel
Injeksjon Azithromycine 2 mg/ml
Injeksjon Caspofungin acetate 0.5 mg/ml
Natriumklorid 0,9 % 2233
Kompatibel
Injeksjon Azithromycine 2 mg/ml
Injeksjon Cefiderocol sulfate tosylate 20 mg/mL
Natriumklorid 0,9 % 4528
Kompatibel
Injeksjon Azithromycine 2 mg/ml
Injeksjon Cefiderocol sulfate tosylate 20 mg/mL
Glukose 5 % 4528
Umiddelbar nedbør Uforenlig
Injeksjon Azithromycine 2 mg/ml
Injeksjon Cefotaxime sodium 200 mg/ml
Natriumklorid 0,9 % 1800
Kompatibel
Injeksjon Azithromycine 2 mg/ml
Injeksjon Ceftaroline fosamil 2,22 mg/ml
Glukose 5 % 3249
Kompatibel
Injeksjon Azithromycine 2 mg/ml
Injeksjon Ceftaroline fosamil 2,22 mg/ml
Natriumklorid 0,9 % 3249
Kompatibel
Injeksjon Azithromycine 2 mg/ml
Injeksjon Ceftaroline fosamil 2,22 mg/ml
Ringers laktatoppløsning 3249
Umiddelbar nedbør Uforenlig
Injeksjon Azithromycine 2 mg/ml
Injeksjon Ceftazidime 80 mg/ml
Natriumklorid 0,9 % 1800
Kompatibel
Injeksjon Azithromycine 2 mg/ml
Injeksjon Ceftobiprole medocaril sodium 2 mg/ml
Natriumklorid 0,9 % 2269
Kompatibel
Injeksjon Azithromycine 2 mg/ml
Injeksjon Ceftobiprole medocaril sodium 2 mg/ml
Ringers laktatoppløsning 2269
Kompatibel
Injeksjon Azithromycine 2 mg/ml
Injeksjon Ceftobiprole medocaril sodium 2 mg/ml
Glukose 5 % 2269
Kompatibel
Injeksjon Azithromycine 2 mg/ml
Injeksjon Ceftolozane / tazobactam 10/5 mg/ml
Natriumklorid 0,9 % 3828
Kompatibel
Injeksjon Azithromycine 2 mg/ml
Injeksjon Ceftolozane / tazobactam 10/5 mg/ml
Glukose 5 % 3828
Umiddelbar nedbør Uforenlig
Injeksjon Azithromycine 2 mg/ml
Injeksjon Ceftriaxone disodium 66.7 mg/ml
Natriumklorid 0,9 % 1800
Umiddelbar nedbør Uforenlig
Injeksjon Azithromycine 2 mg/ml
Injeksjon Cefuroxime sodium 100 mg/ml
Natriumklorid 0,9 % 1800
Umiddelbar nedbør Uforenlig
Injeksjon Azithromycine 2 mg/ml
Injeksjon Ciprofloxacin lactate 2 mg/ml
Natriumklorid 0,9 % 1800
Umiddelbar nedbør Uforenlig
Injeksjon Azithromycine 2 mg/ml
Injeksjon Clindamycin phosphate 30 mg/ml
Natriumklorid 0,9 % 1800
Umiddelbar nedbør Uforenlig
Injeksjon Azithromycine 100 mg/ml
Injeksjon Cloxacillin sodium 100 mg/ml
Vann til injeksjon 3012
Kompatibel
Injeksjon Azithromycine 2 mg/ml
Injeksjon Dexmedetomidine 4 µg/ml
Natriumklorid 0,9 % 1712
Kompatibel
Injeksjon Azithromycine 2 mg/ml
Injeksjon Diphenhydramine hydrochloride 50 mg/ml
Natriumklorid 0,9 % 1800
Kompatibel
Injeksjon Azithromycine 2 mg/ml
Injeksjon Dolasetron mesylate 20 mg/ml
Natriumklorid 0,9 % 1800
Kompatibel
Injeksjon Azithromycine 2 mg/ml
Injeksjon Doripenem 5 mg/ml
Glukose 5 % 2262
Kompatibel
Injeksjon Azithromycine 2 mg/ml
Injeksjon Doripenem 5 mg/ml
Natriumklorid 0,9 % 2262
Kompatibel
Injeksjon Azithromycine 2 mg/ml
Injeksjon Droperidol 2.5 mg/ml
Natriumklorid 0,9 % 1800
Umiddelbar nedbør Uforenlig
Injeksjon Azithromycine 2 mg/ml
Injeksjon Famotidine 2 mg/ml
Natriumklorid 0,9 % 1800
Kompatibel
Injeksjon Azithromycine 2 mg/ml
Injeksjon Fenoldopam mesylate 80 µg/ml
Natriumklorid 0,9 % 1803
Umiddelbar nedbør Uforenlig
Injeksjon Azithromycine 2 mg/ml
Injeksjon Fentanyl citrate 50 µg/ml
Natriumklorid 0,9 % 1800
Kompatibel
Injeksjon Azithromycine 2 mg/ml
Injeksjon Fosfomycin 30 mg/ml
Natriumklorid 0,9 % 4055
Kompatibel
Injeksjon Azithromycine 2 mg/ml
Injeksjon Fosfomycin 30 mg/ml
Glukose 5 % 4055
Umiddelbar nedbør Uforenlig
Injeksjon Azithromycine 2 mg/ml
Injeksjon Furosemide 10 mg/ml
Natriumklorid 0,9 % 1800
Umiddelbar nedbør Uforenlig
Injeksjon Azithromycine 2 mg/ml
Injeksjon Gentamicin sulfate 21 mg/ml
Natriumklorid 0,9 % 1800
Kompatibel
Injeksjon Azithromycine 2 mg/ml
Injeksjon Hetastarch 60 mg/ml
spesifikk løsemiddel 1721
Umiddelbar nedbør Uforenlig
Injeksjon Azithromycine 2 mg/ml
Injeksjon Imipenem - cilastatin sodium 5 mg/ml
Natriumklorid 0,9 % 1800
Grumhet på 2 timer Uforenlig
Injeksjon Azithromycine 2 mg/ml
Injeksjon Isavuconazonium sulfate 1.5 mg/ml
Glukose 5 % 3829
Kompatibel
Injeksjon Azithromycine 2 mg/ml
Injeksjon Isavuconazonium sulfate 1.5 mg/ml
Natriumklorid 0,9 % 3829
Umiddelbar nedbør Uforenlig
Injeksjon Azithromycine 2 mg/ml
Injeksjon Ketorolac tromethamine 15 mg/ml
Natriumklorid 0,9 % 1800
Umiddelbar nedbør Uforenlig
Injeksjon Azithromycine 2 mg/ml
Injeksjon Levofloxacine 5 mg/ml
Natriumklorid 0,9 % 1800
Kompatibel
Injeksjon Azithromycine 100 mg/ml
Injeksjon Meropenem 50 mg/ml
Vann til injeksjon 4319
Umiddelbar nedbør Uforenlig
Injeksjon Azithromycine 2 mg/ml
Injeksjon Morphine sulfate 1 mg/ml
Natriumklorid 0,9 % 1800
Kompatibel
Injeksjon Azithromycine 500 mg/ml
Injeksjon N-acetylcysteine 200 mg/ml
Ingen 3766
Kompatibel
Injeksjon Azithromycine 500 mg/ml
Injeksjon Naloxone hydrochloride 0.4 mg/ml
Ingen 3408
Kompatibel
Injeksjon Azithromycine 2 mg/ml
Injeksjon Ondansetron hydrochloride 2 mg/ml
Natriumklorid 0,9 % 1800
Kompatibel
Injeksjon Azithromycine 100 mg/ml
Injeksjon Paracetamol 10 mg/ml
4742
Umiddelbar nedbør Uforenlig
Injeksjon Azithromycine 2 mg/ml
Injeksjon Piperacillin sodium / tazobactam 112.5 mg/ml
Natriumklorid 0,9 % 1800
Kompatibel
Injeksjon Azithromycine 2 mg/ml
Injeksjon Plazomicin sulfate 24 mg/ml
Natriumklorid 0,9 % 4145
Umiddelbar nedbør Uforenlig
Injeksjon Azithromycine 50 mg/ml
Injeksjon Salbutamol sulfate 1 mg/ml
Ingen 3216
Kompatibel
Injeksjon Azithromycine 2 mg/ml
Injeksjon Sulbactam/durlobactam 15/15 mg/ml
Natriumklorid 0,9 % 4801
Kompatibel
Injeksjon Azithromycine 2 mg/ml
Injeksjon Tedizolid phosphate 0.8 mg/ml
Natriumklorid 0,9 % 3827
Kompatibel
Injeksjon Azithromycine 2 mg/ml
Injeksjon Telavancin hydrochloride 7.5 mg/ml
Glukose 5 % 3254
Kompatibel
Injeksjon Azithromycine 2 mg/ml
Injeksjon Telavancin hydrochloride 7.5 mg/ml
Natriumklorid 0,9 % 3254
Kompatibel
Injeksjon Azithromycine 2 mg/ml
Injeksjon Telavancin hydrochloride 7.5 mg/ml
Ringers laktatoppløsning 3254
Umiddelbar nedbør Uforenlig
Injeksjon Azithromycine 100 mg/ml
Injeksjon Thiopental sodium 25 mg/ml
Natriumklorid 0,9 % 3767
Umiddelbar nedbør Uforenlig
Injeksjon Azithromycine 2 mg/ml
Injeksjon Ticarcillin / clavulanic acid 103.3 mg/ml
Natriumklorid 0,9 % 1800
Umiddelbar nedbør Uforenlig
Injeksjon Azithromycine 2 mg/ml
Injeksjon Tobramycin sulfate 21 mg/ml
Natriumklorid 0,9 % 1800

  Mentions Légales