Последно актуализиране :
27/04/2026
Антибиотик   Azithromycine  
Инжекция/Инжекционен
Унгвент/Унгвенти
Стабилност на разтвори Стабилност на смеси Фактори, повлияващи стабилността Съвместимост Път на въвеждане Библиография Pdf
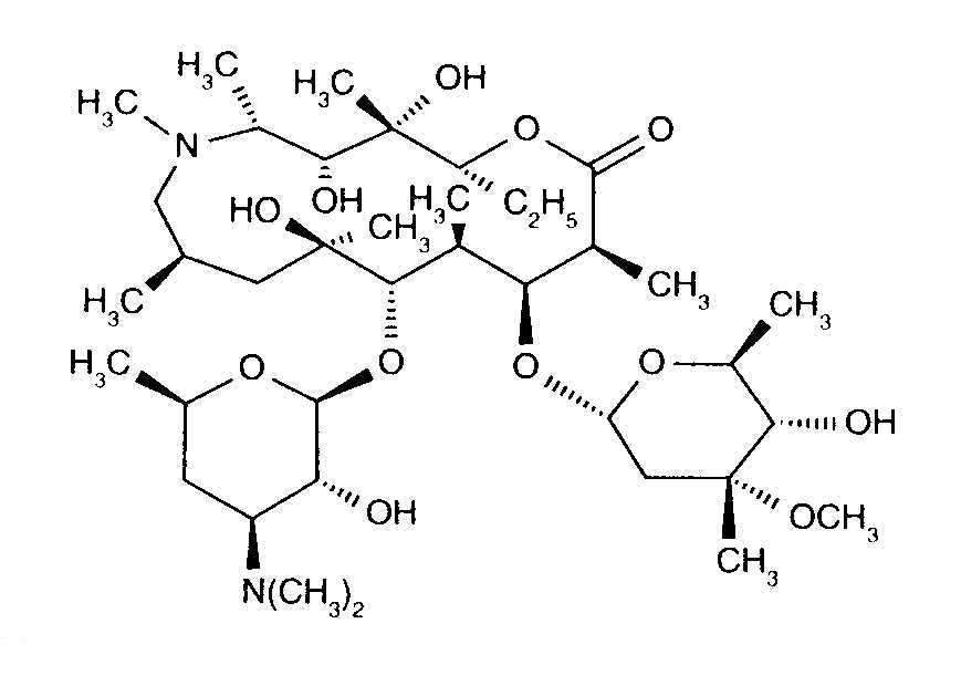
   Химична структура  

Търговско наименование   Търговско наименование     

Търговските имена са примерни и съставът на помощните вещества може да бъде различен в зависимост от държавата и лабораториите

Azithromycin Канада
Azithromycina Еквадор
Azithromycine Dr Erbeth Германия
Azitromax Швеция
Sumamed Полша, Унгария
Zaret Колумбия
Zedbac Великобритания, Ирландия
Zetamac Чехия
Zithromac Япония
Zithromax Австралия, Египет, Канада, Малайзия, Обединени арабски емирства, Португалия, Саудитска Арабия, Съединени Американски щати / САЩ, Финландия, Чили
Съвместимост   Инжекция/Инжекционен   Съвместимост : Azithromycine              
Този екран показва съвместимостта или несъвместимостта с, в този случай, вида на несъвместимостта (утаяване, промяна на цвета, модификация на емулсия и др.). Показаните тук съвместимости са предимно физически, като рядко се оценява химическата стабилност на всяка молекула. Оценката на тези смеси беше проучена, за да се разгледа възможността за приложение на Y-място на пациента. Тези данни не могат да се използват за предварително приготвяне на смеси в торбички или спринцовки. Този тип информация е достъпна на екрана "Стабилност в сместа".
Състав / молекула Разтворител Библиография
съвместим
Инжекция/Инжекционен Azithromycine 100 mg/ml
Инжекция/Инжекционен Amoxicillin sodium / clavulanic acid 100/10 mg/ml
3824
съвместим
Инжекция/Инжекционен Azithromycine 2 mg/ml
Инжекция/Инжекционен Bivalirudin 5 mg/ml
Glucose 5% 1713
съвместим
Инжекция/Инжекционен Azithromycine 500 mg/ml
Ринтер лактат 4603
Незабавни валежи Несъвместим
Инжекция/Инжекционен Azithromycine 2 mg/ml
Инжекция/Инжекционен Amikacin sulfate 100 mg/ml
Sodium chloride 0,9% 1800
Незабавни валежи Несъвместим
Инжекция/Инжекционен Azithromycine 2 mg/ml
Инжекция/Инжекционен Aztreonam 200 mg/ml
Sodium chloride 0,9% 1800
съвместим
Инжекция/Инжекционен Azithromycine 100 mg/ml
Инжекция/Инжекционен Caffeine 10 mg/ml
Няма 3964
съвместим
Инжекция/Инжекционен Azithromycine 2 mg/ml
Инжекция/Инжекционен Caspofungin acetate 0.5 mg/ml
Sodium chloride 0,9% 2233
съвместим
Инжекция/Инжекционен Azithromycine 2 mg/ml
Инжекция/Инжекционен Cefiderocol sulfate tosylate 20 mg/mL
Sodium chloride 0,9% 4528
съвместим
Инжекция/Инжекционен Azithromycine 2 mg/ml
Инжекция/Инжекционен Cefiderocol sulfate tosylate 20 mg/mL
Glucose 5% 4528
Незабавни валежи Несъвместим
Инжекция/Инжекционен Azithromycine 2 mg/ml
Инжекция/Инжекционен Cefotaxime sodium 200 mg/ml
Sodium chloride 0,9% 1800
съвместим
Инжекция/Инжекционен Azithromycine 2 mg/ml
Инжекция/Инжекционен Ceftaroline fosamil 2,22 mg/ml
Glucose 5% 3249
съвместим
Инжекция/Инжекционен Azithromycine 2 mg/ml
Инжекция/Инжекционен Ceftaroline fosamil 2,22 mg/ml
Sodium chloride 0,9% 3249
съвместим
Инжекция/Инжекционен Azithromycine 2 mg/ml
Инжекция/Инжекционен Ceftaroline fosamil 2,22 mg/ml
Ринтер лактат 3249
Незабавни валежи Несъвместим
Инжекция/Инжекционен Azithromycine 2 mg/ml
Инжекция/Инжекционен Ceftazidime 80 mg/ml
Sodium chloride 0,9% 1800
съвместим
Инжекция/Инжекционен Azithromycine 2 mg/ml
Инжекция/Инжекционен Ceftobiprole medocaril sodium 2 mg/ml
Sodium chloride 0,9% 2269
съвместим
Инжекция/Инжекционен Azithromycine 2 mg/ml
Инжекция/Инжекционен Ceftobiprole medocaril sodium 2 mg/ml
Ринтер лактат 2269
съвместим
Инжекция/Инжекционен Azithromycine 2 mg/ml
Инжекция/Инжекционен Ceftobiprole medocaril sodium 2 mg/ml
Glucose 5% 2269
съвместим
Инжекция/Инжекционен Azithromycine 2 mg/ml
Инжекция/Инжекционен Ceftolozane / tazobactam 10/5 mg/ml
Sodium chloride 0,9% 3828
съвместим
Инжекция/Инжекционен Azithromycine 2 mg/ml
Инжекция/Инжекционен Ceftolozane / tazobactam 10/5 mg/ml
Glucose 5% 3828
Незабавни валежи Несъвместим
Инжекция/Инжекционен Azithromycine 2 mg/ml
Инжекция/Инжекционен Ceftriaxone disodium 66.7 mg/ml
Sodium chloride 0,9% 1800
Незабавни валежи Несъвместим
Инжекция/Инжекционен Azithromycine 2 mg/ml
Инжекция/Инжекционен Cefuroxime sodium 100 mg/ml
Sodium chloride 0,9% 1800
Незабавни валежи Несъвместим
Инжекция/Инжекционен Azithromycine 2 mg/ml
Инжекция/Инжекционен Ciprofloxacin lactate 2 mg/ml
Sodium chloride 0,9% 1800
Незабавни валежи Несъвместим
Инжекция/Инжекционен Azithromycine 2 mg/ml
Инжекция/Инжекционен Clindamycin phosphate 30 mg/ml
Sodium chloride 0,9% 1800
Незабавни валежи Несъвместим
Инжекция/Инжекционен Azithromycine 100 mg/ml
Инжекция/Инжекционен Cloxacillin sodium 100 mg/ml
Вода за инжекции 3012
съвместим
Инжекция/Инжекционен Azithromycine 2 mg/ml
Инжекция/Инжекционен Dexmedetomidine 4 µg/ml
Sodium chloride 0,9% 1712
съвместим
Инжекция/Инжекционен Azithromycine 2 mg/ml
Инжекция/Инжекционен Diphenhydramine hydrochloride 50 mg/ml
Sodium chloride 0,9% 1800
съвместим
Инжекция/Инжекционен Azithromycine 2 mg/ml
Инжекция/Инжекционен Dolasetron mesylate 20 mg/ml
Sodium chloride 0,9% 1800
съвместим
Инжекция/Инжекционен Azithromycine 2 mg/ml
Инжекция/Инжекционен Doripenem 5 mg/ml
Glucose 5% 2262
съвместим
Инжекция/Инжекционен Azithromycine 2 mg/ml
Инжекция/Инжекционен Doripenem 5 mg/ml
Sodium chloride 0,9% 2262
съвместим
Инжекция/Инжекционен Azithromycine 2 mg/ml
Инжекция/Инжекционен Droperidol 2.5 mg/ml
Sodium chloride 0,9% 1800
Незабавни валежи Несъвместим
Инжекция/Инжекционен Azithromycine 2 mg/ml
Инжекция/Инжекционен Famotidine 2 mg/ml
Sodium chloride 0,9% 1800
съвместим
Инжекция/Инжекционен Azithromycine 2 mg/ml
Инжекция/Инжекционен Fenoldopam mesylate 80 µg/ml
Sodium chloride 0,9% 1803
Незабавни валежи Несъвместим
Инжекция/Инжекционен Azithromycine 2 mg/ml
Инжекция/Инжекционен Fentanyl citrate 50 µg/ml
Sodium chloride 0,9% 1800
съвместим
Инжекция/Инжекционен Azithromycine 2 mg/ml
Инжекция/Инжекционен Fosfomycin 30 mg/ml
Sodium chloride 0,9% 4055
съвместим
Инжекция/Инжекционен Azithromycine 2 mg/ml
Инжекция/Инжекционен Fosfomycin 30 mg/ml
Glucose 5% 4055
Незабавни валежи Несъвместим
Инжекция/Инжекционен Azithromycine 2 mg/ml
Инжекция/Инжекционен Furosemide 10 mg/ml
Sodium chloride 0,9% 1800
Незабавни валежи Несъвместим
Инжекция/Инжекционен Azithromycine 2 mg/ml
Инжекция/Инжекционен Gentamicin sulfate 21 mg/ml
Sodium chloride 0,9% 1800
съвместим
Инжекция/Инжекционен Azithromycine 2 mg/ml
Инжекция/Инжекционен Hetastarch 60 mg/ml
Специфична разтворител 1721
Незабавни валежи Несъвместим
Инжекция/Инжекционен Azithromycine 2 mg/ml
Инжекция/Инжекционен Imipenem - cilastatin sodium 5 mg/ml
Sodium chloride 0,9% 1800
Мътност за 2 часа Несъвместим
Инжекция/Инжекционен Azithromycine 2 mg/ml
Инжекция/Инжекционен Isavuconazonium sulfate 1.5 mg/ml
Glucose 5% 3829
съвместим
Инжекция/Инжекционен Azithromycine 2 mg/ml
Инжекция/Инжекционен Isavuconazonium sulfate 1.5 mg/ml
Sodium chloride 0,9% 3829
Незабавни валежи Несъвместим
Инжекция/Инжекционен Azithromycine 2 mg/ml
Инжекция/Инжекционен Ketorolac tromethamine 15 mg/ml
Sodium chloride 0,9% 1800
Незабавни валежи Несъвместим
Инжекция/Инжекционен Azithromycine 2 mg/ml
Инжекция/Инжекционен Levofloxacine 5 mg/ml
Sodium chloride 0,9% 1800
съвместим
Инжекция/Инжекционен Azithromycine 100 mg/ml
Инжекция/Инжекционен Meropenem 50 mg/ml
Вода за инжекции 4319
Незабавни валежи Несъвместим
Инжекция/Инжекционен Azithromycine 2 mg/ml
Инжекция/Инжекционен Morphine sulfate 1 mg/ml
Sodium chloride 0,9% 1800
съвместим
Инжекция/Инжекционен Azithromycine 500 mg/ml
Инжекция/Инжекционен N-acetylcysteine 200 mg/ml
Няма 3766
съвместим
Инжекция/Инжекционен Azithromycine 500 mg/ml
Инжекция/Инжекционен Naloxone hydrochloride 0.4 mg/ml
Няма 3408
съвместим
Инжекция/Инжекционен Azithromycine 2 mg/ml
Инжекция/Инжекционен Ondansetron hydrochloride 2 mg/ml
Sodium chloride 0,9% 1800
съвместим
Инжекция/Инжекционен Azithromycine 100 mg/ml
Инжекция/Инжекционен Paracetamol 10 mg/ml
4742
Незабавни валежи Несъвместим
Инжекция/Инжекционен Azithromycine 2 mg/ml
Инжекция/Инжекционен Piperacillin sodium / tazobactam 112.5 mg/ml
Sodium chloride 0,9% 1800
съвместим
Инжекция/Инжекционен Azithromycine 2 mg/ml
Инжекция/Инжекционен Plazomicin sulfate 24 mg/ml
Sodium chloride 0,9% 4145
Незабавни валежи Несъвместим
Инжекция/Инжекционен Azithromycine 50 mg/ml
Инжекция/Инжекционен Salbutamol sulfate 1 mg/ml
Няма 3216
съвместим
Инжекция/Инжекционен Azithromycine 2 mg/ml
Инжекция/Инжекционен Sulbactam/durlobactam 15/15 mg/ml
Sodium chloride 0,9% 4801
съвместим
Инжекция/Инжекционен Azithromycine 2 mg/ml
Инжекция/Инжекционен Tedizolid phosphate 0.8 mg/ml
Sodium chloride 0,9% 3827
съвместим
Инжекция/Инжекционен Azithromycine 2 mg/ml
Инжекция/Инжекционен Telavancin hydrochloride 7.5 mg/ml
Glucose 5% 3254
съвместим
Инжекция/Инжекционен Azithromycine 2 mg/ml
Инжекция/Инжекционен Telavancin hydrochloride 7.5 mg/ml
Sodium chloride 0,9% 3254
съвместим
Инжекция/Инжекционен Azithromycine 2 mg/ml
Инжекция/Инжекционен Telavancin hydrochloride 7.5 mg/ml
Ринтер лактат 3254
Незабавни валежи Несъвместим
Инжекция/Инжекционен Azithromycine 100 mg/ml
Инжекция/Инжекционен Thiopental sodium 25 mg/ml
Sodium chloride 0,9% 3767
Незабавни валежи Несъвместим
Инжекция/Инжекционен Azithromycine 2 mg/ml
Инжекция/Инжекционен Ticarcillin / clavulanic acid 103.3 mg/ml
Sodium chloride 0,9% 1800
Незабавни валежи Несъвместим
Инжекция/Инжекционен Azithromycine 2 mg/ml
Инжекция/Инжекционен Tobramycin sulfate 21 mg/ml
Sodium chloride 0,9% 1800

  Mentions Légales