Zadnji put ažurirano :
27/04/2026
antibiotik   Azithromycine  
injekcija
masti
Stabilizacija rješenja Stabilnost mješavine Stabilizacijski faktor Kompatibilnosti način davanja lijeka Bibliografija pdf
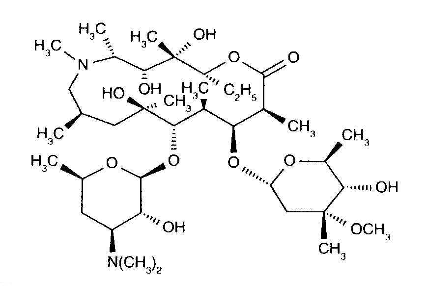
   Kemijska struktura  

Nekomercijalni   Nekomercijalni     

Zaštićeni nazivi su indikativni i sastav ekscipijensa može biti različit ovisno o državi i laboratorijima

Azithromycin Kanada
Azithromycina Ekvador
Azithromycine Dr Erbeth Njemačka
Azitromax Švedska
Sumamed Madžarska, Poljska
Zaret Kolumbija
Zedbac Irska, Velika Britanija
Zetamac Češka
Zithromac Japan
Zithromax Australija, Čile, Egipat, Finska, Kanada, Malezija, Portugal, S A D, Saudijska Arabija, Ujedinjeni Arapski Emirati
Kompatibilnosti   injekcija   Kompatibilnosti : Azithromycine              
Ovdje su prikazane kompatibilnosti ili nekompatibilnosti s tipom nekompatibilnosti (taloženje, promjena boje, modifikacija emulzije itd.) u ovom slučaju. Kompatibilnosti prikazane ovdje najčešće su fizikalne dok se kemijska stabilnost molekule rijetko procjenjuje. Procjena ovih mikstura je proučavana kako bi se razmotrila mogućnost primjene lijeka putem Y-mjesta. Ovi se podaci ne smiju koristiti za pripremu mikstura unaprijed u vrećicama ili štrcaljkama. Ova vrsta informacije se može pronaći u odjeljku « stabilnost u miksturama ».
molekula sredstvo za rastapanje Bibliografija
Kompatibilan
injekcija Azithromycine 100 mg/ml
injekcija Amoxicillin sodium / clavulanic acid 100/10 mg/ml
3824
Kompatibilan
injekcija Azithromycine 2 mg/ml
injekcija Bivalirudin 5 mg/ml
glukoza 5% 1713
Kompatibilan
injekcija Azithromycine 500 mg/ml
Ringer laktat 4603
Neposredne oborine inkompatibilan
injekcija Azithromycine 2 mg/ml
injekcija Amikacin sulfate 100 mg/ml
natrijumkorid 0,9% 1800
Neposredne oborine inkompatibilan
injekcija Azithromycine 2 mg/ml
injekcija Aztreonam 200 mg/ml
natrijumkorid 0,9% 1800
Kompatibilan
injekcija Azithromycine 100 mg/ml
injekcija Caffeine 10 mg/ml
nijedan 3964
Kompatibilan
injekcija Azithromycine 2 mg/ml
injekcija Caspofungin acetate 0.5 mg/ml
natrijumkorid 0,9% 2233
Kompatibilan
injekcija Azithromycine 2 mg/ml
injekcija Cefiderocol sulfate tosylate 20 mg/mL
natrijumkorid 0,9% 4528
Kompatibilan
injekcija Azithromycine 2 mg/ml
injekcija Cefiderocol sulfate tosylate 20 mg/mL
glukoza 5% 4528
Neposredne oborine inkompatibilan
injekcija Azithromycine 2 mg/ml
injekcija Cefotaxime sodium 200 mg/ml
natrijumkorid 0,9% 1800
Kompatibilan
injekcija Azithromycine 2 mg/ml
injekcija Ceftaroline fosamil 2,22 mg/ml
glukoza 5% 3249
Kompatibilan
injekcija Azithromycine 2 mg/ml
injekcija Ceftaroline fosamil 2,22 mg/ml
natrijumkorid 0,9% 3249
Kompatibilan
injekcija Azithromycine 2 mg/ml
injekcija Ceftaroline fosamil 2,22 mg/ml
Ringer laktat 3249
Neposredne oborine inkompatibilan
injekcija Azithromycine 2 mg/ml
injekcija Ceftazidime 80 mg/ml
natrijumkorid 0,9% 1800
Kompatibilan
injekcija Azithromycine 2 mg/ml
injekcija Ceftobiprole medocaril sodium 2 mg/ml
natrijumkorid 0,9% 2269
Kompatibilan
injekcija Azithromycine 2 mg/ml
injekcija Ceftobiprole medocaril sodium 2 mg/ml
Ringer laktat 2269
Kompatibilan
injekcija Azithromycine 2 mg/ml
injekcija Ceftobiprole medocaril sodium 2 mg/ml
glukoza 5% 2269
Kompatibilan
injekcija Azithromycine 2 mg/ml
injekcija Ceftolozane / tazobactam 10/5 mg/ml
natrijumkorid 0,9% 3828
Kompatibilan
injekcija Azithromycine 2 mg/ml
injekcija Ceftolozane / tazobactam 10/5 mg/ml
glukoza 5% 3828
Neposredne oborine inkompatibilan
injekcija Azithromycine 2 mg/ml
injekcija Ceftriaxone disodium 66.7 mg/ml
natrijumkorid 0,9% 1800
Neposredne oborine inkompatibilan
injekcija Azithromycine 2 mg/ml
injekcija Cefuroxime sodium 100 mg/ml
natrijumkorid 0,9% 1800
Neposredne oborine inkompatibilan
injekcija Azithromycine 2 mg/ml
injekcija Ciprofloxacin lactate 2 mg/ml
natrijumkorid 0,9% 1800
Neposredne oborine inkompatibilan
injekcija Azithromycine 2 mg/ml
injekcija Clindamycin phosphate 30 mg/ml
natrijumkorid 0,9% 1800
Neposredne oborine inkompatibilan
injekcija Azithromycine 100 mg/ml
injekcija Cloxacillin sodium 100 mg/ml
čista voda za injektiranje 3012
Kompatibilan
injekcija Azithromycine 2 mg/ml
injekcija Dexmedetomidine 4 µg/ml
natrijumkorid 0,9% 1712
Kompatibilan
injekcija Azithromycine 2 mg/ml
injekcija Diphenhydramine hydrochloride 50 mg/ml
natrijumkorid 0,9% 1800
Kompatibilan
injekcija Azithromycine 2 mg/ml
injekcija Dolasetron mesylate 20 mg/ml
natrijumkorid 0,9% 1800
Kompatibilan
injekcija Azithromycine 2 mg/ml
injekcija Doripenem 5 mg/ml
glukoza 5% 2262
Kompatibilan
injekcija Azithromycine 2 mg/ml
injekcija Doripenem 5 mg/ml
natrijumkorid 0,9% 2262
Kompatibilan
injekcija Azithromycine 2 mg/ml
injekcija Droperidol 2.5 mg/ml
natrijumkorid 0,9% 1800
Neposredne oborine inkompatibilan
injekcija Azithromycine 2 mg/ml
injekcija Famotidine 2 mg/ml
natrijumkorid 0,9% 1800
Kompatibilan
injekcija Azithromycine 2 mg/ml
injekcija Fenoldopam mesylate 80 µg/ml
natrijumkorid 0,9% 1803
Neposredne oborine inkompatibilan
injekcija Azithromycine 2 mg/ml
injekcija Fentanyl citrate 50 µg/ml
natrijumkorid 0,9% 1800
Kompatibilan
injekcija Azithromycine 2 mg/ml
injekcija Fosfomycin 30 mg/ml
natrijumkorid 0,9% 4055
Kompatibilan
injekcija Azithromycine 2 mg/ml
injekcija Fosfomycin 30 mg/ml
glukoza 5% 4055
Neposredne oborine inkompatibilan
injekcija Azithromycine 2 mg/ml
injekcija Furosemide 10 mg/ml
natrijumkorid 0,9% 1800
Neposredne oborine inkompatibilan
injekcija Azithromycine 2 mg/ml
injekcija Gentamicin sulfate 21 mg/ml
natrijumkorid 0,9% 1800
Kompatibilan
injekcija Azithromycine 2 mg/ml
injekcija Hetastarch 60 mg/ml
Specifična otapala 1721
Neposredne oborine inkompatibilan
injekcija Azithromycine 2 mg/ml
injekcija Imipenem - cilastatin sodium 5 mg/ml
natrijumkorid 0,9% 1800
Zamućenost za 2 sata inkompatibilan
injekcija Azithromycine 2 mg/ml
injekcija Isavuconazonium sulfate 1.5 mg/ml
glukoza 5% 3829
Kompatibilan
injekcija Azithromycine 2 mg/ml
injekcija Isavuconazonium sulfate 1.5 mg/ml
natrijumkorid 0,9% 3829
Neposredne oborine inkompatibilan
injekcija Azithromycine 2 mg/ml
injekcija Ketorolac tromethamine 15 mg/ml
natrijumkorid 0,9% 1800
Neposredne oborine inkompatibilan
injekcija Azithromycine 2 mg/ml
injekcija Levofloxacine 5 mg/ml
natrijumkorid 0,9% 1800
Kompatibilan
injekcija Azithromycine 100 mg/ml
injekcija Meropenem 50 mg/ml
čista voda za injektiranje 4319
Neposredne oborine inkompatibilan
injekcija Azithromycine 2 mg/ml
injekcija Morphine sulfate 1 mg/ml
natrijumkorid 0,9% 1800
Kompatibilan
injekcija Azithromycine 500 mg/ml
injekcija N-acetylcysteine 200 mg/ml
nijedan 3766
Kompatibilan
injekcija Azithromycine 500 mg/ml
injekcija Naloxone hydrochloride 0.4 mg/ml
nijedan 3408
Kompatibilan
injekcija Azithromycine 2 mg/ml
injekcija Ondansetron hydrochloride 2 mg/ml
natrijumkorid 0,9% 1800
Kompatibilan
injekcija Azithromycine 100 mg/ml
injekcija Paracetamol 10 mg/ml
4742
Neposredne oborine inkompatibilan
injekcija Azithromycine 2 mg/ml
injekcija Piperacillin sodium / tazobactam 112.5 mg/ml
natrijumkorid 0,9% 1800
Kompatibilan
injekcija Azithromycine 2 mg/ml
injekcija Plazomicin sulfate 24 mg/ml
natrijumkorid 0,9% 4145
Neposredne oborine inkompatibilan
injekcija Azithromycine 50 mg/ml
injekcija Salbutamol sulfate 1 mg/ml
nijedan 3216
Kompatibilan
injekcija Azithromycine 2 mg/ml
injekcija Sulbactam/durlobactam 15/15 mg/ml
natrijumkorid 0,9% 4801
Kompatibilan
injekcija Azithromycine 2 mg/ml
injekcija Tedizolid phosphate 0.8 mg/ml
natrijumkorid 0,9% 3827
Kompatibilan
injekcija Azithromycine 2 mg/ml
injekcija Telavancin hydrochloride 7.5 mg/ml
glukoza 5% 3254
Kompatibilan
injekcija Azithromycine 2 mg/ml
injekcija Telavancin hydrochloride 7.5 mg/ml
natrijumkorid 0,9% 3254
Kompatibilan
injekcija Azithromycine 2 mg/ml
injekcija Telavancin hydrochloride 7.5 mg/ml
Ringer laktat 3254
Neposredne oborine inkompatibilan
injekcija Azithromycine 100 mg/ml
injekcija Thiopental sodium 25 mg/ml
natrijumkorid 0,9% 3767
Neposredne oborine inkompatibilan
injekcija Azithromycine 2 mg/ml
injekcija Ticarcillin / clavulanic acid 103.3 mg/ml
natrijumkorid 0,9% 1800
Neposredne oborine inkompatibilan
injekcija Azithromycine 2 mg/ml
injekcija Tobramycin sulfate 21 mg/ml
natrijumkorid 0,9% 1800

  Mentions Légales