zadnja posodobitev :
27/04/2026
Antibiotik   Azithromycine  
Brizgalka
Mazila
Stabilnost raztopine Stabilnost mešanice Faktorji, ki vplivajo na stabilnost Kompatibilnost način aplikacije Viri pdf
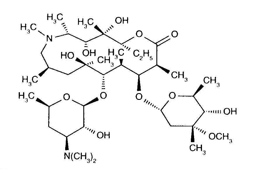
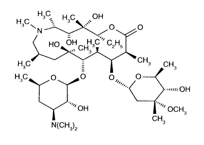
   Kemična formula  

Lastniško ime   Lastniško ime     

Sestava pomožnih snovi je med paralelami lahko različna

Azithromycin Kanada
Azithromycina Ekvador
Azithromycine Dr Erbeth Nemčija
Azitromax Švedska
Sumamed Madžarska, Poljska
Zaret Kolumbija
Zedbac Irska, Velika Britanija
Zetamac Češka
Zithromac Japonska
Zithromax Avstralija, Čile, Egipt, Finska, Kanada, Malezija, Portugalska, Savdska Arabija, Združene države Amerike, Združeni arabski emirati
Kompatibilnost   Brizgalka   Kompatibilnost : Azithromycine              
Ta zaslon prikazuje združljivost ali nezdružljivost s, v tem primeru, vrsto nezdružljivosti (padavine, sprememba barve, sprememba emulzije itd.). Tu prikazane združljivosti so večinoma samo fizične, pri čemer se kemijska stabilnost vsake molekule redko ocenjuje. Vrednotenje teh zmesi so preučevali, da bi preučili možnost pacientovega dajanja na mestu Y. Teh podatkov ni mogoče uporabiti za pripravo mešanic v vrečkah ali brizgah. Ta vrsta informacij je na voljo na zaslonu "Obstojnost v mešanici".
Sestava Topilo Viri
Združljivo
Brizgalka Azithromycine 100 mg/ml
Brizgalka Amoxicillin sodium / clavulanic acid 100/10 mg/ml
3824
Združljivo
Brizgalka Azithromycine 2 mg/ml
Brizgalka Bivalirudin 5 mg/ml
Glukoza 5% 1713
Združljivo
Brizgalka Azithromycine 500 mg/ml
Ringerjev laktat 4603
Takoj padavine Nezdružljivo
Brizgalka Azithromycine 2 mg/ml
Brizgalka Amikacin sulfate 100 mg/ml
Natrijev klorid 0,9% 1800
Takoj padavine Nezdružljivo
Brizgalka Azithromycine 2 mg/ml
Brizgalka Aztreonam 200 mg/ml
Natrijev klorid 0,9% 1800
Združljivo
Brizgalka Azithromycine 100 mg/ml
Brizgalka Caffeine 10 mg/ml
Nobeden 3964
Združljivo
Brizgalka Azithromycine 2 mg/ml
Brizgalka Caspofungin acetate 0.5 mg/ml
Natrijev klorid 0,9% 2233
Združljivo
Brizgalka Azithromycine 2 mg/ml
Brizgalka Cefiderocol sulfate tosylate 20 mg/mL
Natrijev klorid 0,9% 4528
Združljivo
Brizgalka Azithromycine 2 mg/ml
Brizgalka Cefiderocol sulfate tosylate 20 mg/mL
Glukoza 5% 4528
Takoj padavine Nezdružljivo
Brizgalka Azithromycine 2 mg/ml
Brizgalka Cefotaxime sodium 200 mg/ml
Natrijev klorid 0,9% 1800
Združljivo
Brizgalka Azithromycine 2 mg/ml
Brizgalka Ceftaroline fosamil 2,22 mg/ml
Glukoza 5% 3249
Združljivo
Brizgalka Azithromycine 2 mg/ml
Brizgalka Ceftaroline fosamil 2,22 mg/ml
Natrijev klorid 0,9% 3249
Združljivo
Brizgalka Azithromycine 2 mg/ml
Brizgalka Ceftaroline fosamil 2,22 mg/ml
Ringerjev laktat 3249
Takoj padavine Nezdružljivo
Brizgalka Azithromycine 2 mg/ml
Brizgalka Ceftazidime 80 mg/ml
Natrijev klorid 0,9% 1800
Združljivo
Brizgalka Azithromycine 2 mg/ml
Brizgalka Ceftobiprole medocaril sodium 2 mg/ml
Natrijev klorid 0,9% 2269
Združljivo
Brizgalka Azithromycine 2 mg/ml
Brizgalka Ceftobiprole medocaril sodium 2 mg/ml
Ringerjev laktat 2269
Združljivo
Brizgalka Azithromycine 2 mg/ml
Brizgalka Ceftobiprole medocaril sodium 2 mg/ml
Glukoza 5% 2269
Združljivo
Brizgalka Azithromycine 2 mg/ml
Brizgalka Ceftolozane / tazobactam 10/5 mg/ml
Natrijev klorid 0,9% 3828
Združljivo
Brizgalka Azithromycine 2 mg/ml
Brizgalka Ceftolozane / tazobactam 10/5 mg/ml
Glukoza 5% 3828
Takoj padavine Nezdružljivo
Brizgalka Azithromycine 2 mg/ml
Brizgalka Ceftriaxone disodium 66.7 mg/ml
Natrijev klorid 0,9% 1800
Takoj padavine Nezdružljivo
Brizgalka Azithromycine 2 mg/ml
Brizgalka Cefuroxime sodium 100 mg/ml
Natrijev klorid 0,9% 1800
Takoj padavine Nezdružljivo
Brizgalka Azithromycine 2 mg/ml
Brizgalka Ciprofloxacin lactate 2 mg/ml
Natrijev klorid 0,9% 1800
Takoj padavine Nezdružljivo
Brizgalka Azithromycine 2 mg/ml
Brizgalka Clindamycin phosphate 30 mg/ml
Natrijev klorid 0,9% 1800
Takoj padavine Nezdružljivo
Brizgalka Azithromycine 100 mg/ml
Brizgalka Cloxacillin sodium 100 mg/ml
Voda za injekcije 3012
Združljivo
Brizgalka Azithromycine 2 mg/ml
Brizgalka Dexmedetomidine 4 µg/ml
Natrijev klorid 0,9% 1712
Združljivo
Brizgalka Azithromycine 2 mg/ml
Brizgalka Diphenhydramine hydrochloride 50 mg/ml
Natrijev klorid 0,9% 1800
Združljivo
Brizgalka Azithromycine 2 mg/ml
Brizgalka Dolasetron mesylate 20 mg/ml
Natrijev klorid 0,9% 1800
Združljivo
Brizgalka Azithromycine 2 mg/ml
Brizgalka Doripenem 5 mg/ml
Glukoza 5% 2262
Združljivo
Brizgalka Azithromycine 2 mg/ml
Brizgalka Doripenem 5 mg/ml
Natrijev klorid 0,9% 2262
Združljivo
Brizgalka Azithromycine 2 mg/ml
Brizgalka Droperidol 2.5 mg/ml
Natrijev klorid 0,9% 1800
Takoj padavine Nezdružljivo
Brizgalka Azithromycine 2 mg/ml
Brizgalka Famotidine 2 mg/ml
Natrijev klorid 0,9% 1800
Združljivo
Brizgalka Azithromycine 2 mg/ml
Brizgalka Fenoldopam mesylate 80 µg/ml
Natrijev klorid 0,9% 1803
Takoj padavine Nezdružljivo
Brizgalka Azithromycine 2 mg/ml
Brizgalka Fentanyl citrate 50 µg/ml
Natrijev klorid 0,9% 1800
Združljivo
Brizgalka Azithromycine 2 mg/ml
Brizgalka Fosfomycin 30 mg/ml
Natrijev klorid 0,9% 4055
Združljivo
Brizgalka Azithromycine 2 mg/ml
Brizgalka Fosfomycin 30 mg/ml
Glukoza 5% 4055
Takoj padavine Nezdružljivo
Brizgalka Azithromycine 2 mg/ml
Brizgalka Furosemide 10 mg/ml
Natrijev klorid 0,9% 1800
Takoj padavine Nezdružljivo
Brizgalka Azithromycine 2 mg/ml
Brizgalka Gentamicin sulfate 21 mg/ml
Natrijev klorid 0,9% 1800
Združljivo
Brizgalka Azithromycine 2 mg/ml
Brizgalka Hetastarch 60 mg/ml
Posebni topila 1721
Takoj padavine Nezdružljivo
Brizgalka Azithromycine 2 mg/ml
Brizgalka Imipenem - cilastatin sodium 5 mg/ml
Natrijev klorid 0,9% 1800
Motnost v 2 urah Nezdružljivo
Brizgalka Azithromycine 2 mg/ml
Brizgalka Isavuconazonium sulfate 1.5 mg/ml
Glukoza 5% 3829
Združljivo
Brizgalka Azithromycine 2 mg/ml
Brizgalka Isavuconazonium sulfate 1.5 mg/ml
Natrijev klorid 0,9% 3829
Takoj padavine Nezdružljivo
Brizgalka Azithromycine 2 mg/ml
Brizgalka Ketorolac tromethamine 15 mg/ml
Natrijev klorid 0,9% 1800
Takoj padavine Nezdružljivo
Brizgalka Azithromycine 2 mg/ml
Brizgalka Levofloxacine 5 mg/ml
Natrijev klorid 0,9% 1800
Združljivo
Brizgalka Azithromycine 100 mg/ml
Brizgalka Meropenem 50 mg/ml
Voda za injekcije 4319
Takoj padavine Nezdružljivo
Brizgalka Azithromycine 2 mg/ml
Brizgalka Morphine sulfate 1 mg/ml
Natrijev klorid 0,9% 1800
Združljivo
Brizgalka Azithromycine 500 mg/ml
Brizgalka N-acetylcysteine 200 mg/ml
Nobeden 3766
Združljivo
Brizgalka Azithromycine 500 mg/ml
Brizgalka Naloxone hydrochloride 0.4 mg/ml
Nobeden 3408
Združljivo
Brizgalka Azithromycine 2 mg/ml
Brizgalka Ondansetron hydrochloride 2 mg/ml
Natrijev klorid 0,9% 1800
Združljivo
Brizgalka Azithromycine 100 mg/ml
Brizgalka Paracetamol 10 mg/ml
4742
Takoj padavine Nezdružljivo
Brizgalka Azithromycine 2 mg/ml
Brizgalka Piperacillin sodium / tazobactam 112.5 mg/ml
Natrijev klorid 0,9% 1800
Združljivo
Brizgalka Azithromycine 2 mg/ml
Brizgalka Plazomicin sulfate 24 mg/ml
Natrijev klorid 0,9% 4145
Takoj padavine Nezdružljivo
Brizgalka Azithromycine 50 mg/ml
Brizgalka Salbutamol sulfate 1 mg/ml
Nobeden 3216
Združljivo
Brizgalka Azithromycine 2 mg/ml
Brizgalka Sulbactam/durlobactam 15/15 mg/ml
Natrijev klorid 0,9% 4801
Združljivo
Brizgalka Azithromycine 2 mg/ml
Brizgalka Tedizolid phosphate 0.8 mg/ml
Natrijev klorid 0,9% 3827
Združljivo
Brizgalka Azithromycine 2 mg/ml
Brizgalka Telavancin hydrochloride 7.5 mg/ml
Glukoza 5% 3254
Združljivo
Brizgalka Azithromycine 2 mg/ml
Brizgalka Telavancin hydrochloride 7.5 mg/ml
Natrijev klorid 0,9% 3254
Združljivo
Brizgalka Azithromycine 2 mg/ml
Brizgalka Telavancin hydrochloride 7.5 mg/ml
Ringerjev laktat 3254
Takoj padavine Nezdružljivo
Brizgalka Azithromycine 100 mg/ml
Brizgalka Thiopental sodium 25 mg/ml
Natrijev klorid 0,9% 3767
Takoj padavine Nezdružljivo
Brizgalka Azithromycine 2 mg/ml
Brizgalka Ticarcillin / clavulanic acid 103.3 mg/ml
Natrijev klorid 0,9% 1800
Takoj padavine Nezdružljivo
Brizgalka Azithromycine 2 mg/ml
Brizgalka Tobramycin sulfate 21 mg/ml
Natrijev klorid 0,9% 1800

  Mentions Légales