Last update :
27/04/2026
Antibiotic   Azithromycine  
injection
Ointments
Stability in solutions Stability of mixtures Factors which affect stability Compatibility Route of administration References pdf
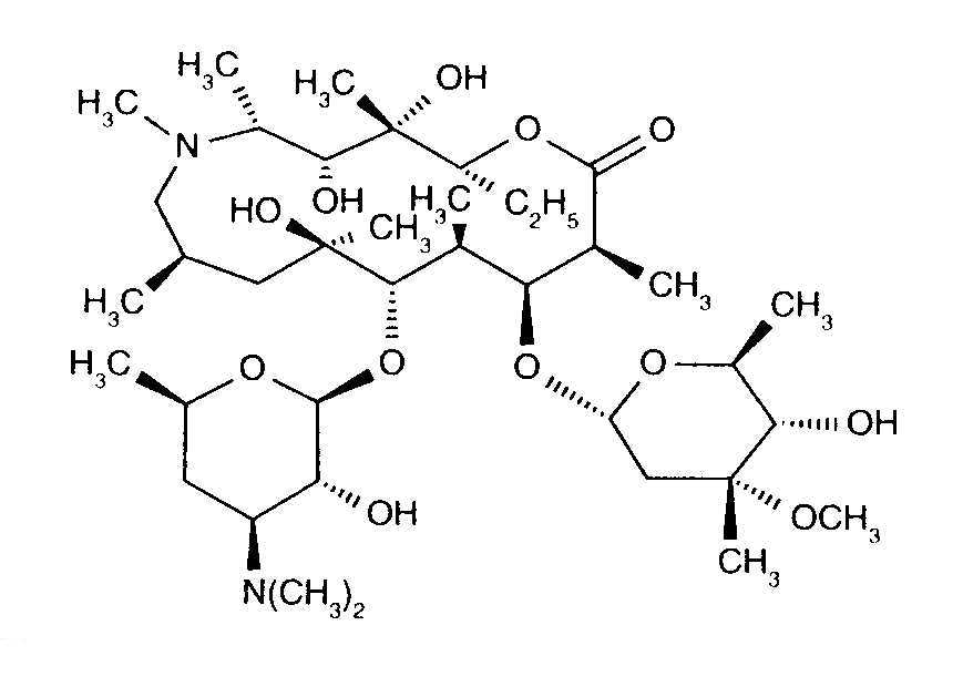
   Chemical structure  

Tradename   Tradename     

Trade names are indicative and excipients composition can be different depending on the country and manufacturers

Azithromycin Canada
Azithromycina Ecuador
Azithromycine Dr Erbeth Germany
Azitromax Sweden
Sumamed Hungary, Poland
Zaret Colombia
Zedbac Great Britain, Ireland
Zetamac Czech Republic
Zithromac Japan
Zithromax Australia, Canada, Chile, Egypt, Finland, Malaysia, Portugal, Saudi Arabia, United Arab Emirates, United States of America
Compatibility   injection   Compatibility : Azithromycine              
This screen indicates the compatibilities or incompatibilities with, in this case, the type of incompatibility (precipitation, color change, modification of an emulsion, etc.). The compatibilities shown here are mostly physical only, with the chemical stability of each molecule rarely being assessed. The evaluation of these mixtures was studied to consider the possibility of Y-site administration to the patient. These data cannot be used for making mixtures in advance in bags or syringes. This type of information is available in the screen "Stability in mixture ».
Compound Solvent References
Compatible
injection Azithromycine 100 mg/ml
injection Amoxicillin sodium / clavulanic acid 100/10 mg/ml
3824
Compatible
injection Azithromycine 2 mg/ml
injection Bivalirudin 5 mg/ml
Glucose 5% 1713
Compatible
injection Azithromycine 500 mg/ml
Ringer’s lactate solution 4603
Immediate precipitation Incompatible
injection Azithromycine 2 mg/ml
injection Amikacin sulfate 100 mg/ml
Sodium chloride 0,9% 1800
Immediate precipitation Incompatible
injection Azithromycine 2 mg/ml
injection Aztreonam 200 mg/ml
Sodium chloride 0,9% 1800
Compatible
injection Azithromycine 100 mg/ml
injection Caffeine 10 mg/ml
None 3964
Compatible
injection Azithromycine 2 mg/ml
injection Caspofungin acetate 0.5 mg/ml
Sodium chloride 0,9% 2233
Compatible
injection Azithromycine 2 mg/ml
injection Cefiderocol sulfate tosylate 20 mg/mL
Sodium chloride 0,9% 4528
Compatible
injection Azithromycine 2 mg/ml
injection Cefiderocol sulfate tosylate 20 mg/mL
Glucose 5% 4528
Immediate precipitation Incompatible
injection Azithromycine 2 mg/ml
injection Cefotaxime sodium 200 mg/ml
Sodium chloride 0,9% 1800
Compatible
injection Azithromycine 2 mg/ml
injection Ceftaroline fosamil 2,22 mg/ml
Glucose 5% 3249
Compatible
injection Azithromycine 2 mg/ml
injection Ceftaroline fosamil 2,22 mg/ml
Sodium chloride 0,9% 3249
Compatible
injection Azithromycine 2 mg/ml
injection Ceftaroline fosamil 2,22 mg/ml
Ringer’s lactate solution 3249
Immediate precipitation Incompatible
injection Azithromycine 2 mg/ml
injection Ceftazidime 80 mg/ml
Sodium chloride 0,9% 1800
Compatible
injection Azithromycine 2 mg/ml
injection Ceftobiprole medocaril sodium 2 mg/ml
Sodium chloride 0,9% 2269
Compatible
injection Azithromycine 2 mg/ml
injection Ceftobiprole medocaril sodium 2 mg/ml
Ringer’s lactate solution 2269
Compatible
injection Azithromycine 2 mg/ml
injection Ceftobiprole medocaril sodium 2 mg/ml
Glucose 5% 2269
Compatible
injection Azithromycine 2 mg/ml
injection Ceftolozane / tazobactam 10/5 mg/ml
Sodium chloride 0,9% 3828
Compatible
injection Azithromycine 2 mg/ml
injection Ceftolozane / tazobactam 10/5 mg/ml
Glucose 5% 3828
Immediate precipitation Incompatible
injection Azithromycine 2 mg/ml
injection Ceftriaxone disodium 66.7 mg/ml
Sodium chloride 0,9% 1800
Immediate precipitation Incompatible
injection Azithromycine 2 mg/ml
injection Cefuroxime sodium 100 mg/ml
Sodium chloride 0,9% 1800
Immediate precipitation Incompatible
injection Azithromycine 2 mg/ml
injection Ciprofloxacin lactate 2 mg/ml
Sodium chloride 0,9% 1800
Immediate precipitation Incompatible
injection Azithromycine 2 mg/ml
injection Clindamycin phosphate 30 mg/ml
Sodium chloride 0,9% 1800
Immediate precipitation Incompatible
injection Azithromycine 100 mg/ml
injection Cloxacillin sodium 100 mg/ml
Water for Injection 3012
Compatible
injection Azithromycine 2 mg/ml
injection Dexmedetomidine 4 µg/ml
Sodium chloride 0,9% 1712
Compatible
injection Azithromycine 2 mg/ml
injection Diphenhydramine hydrochloride 50 mg/ml
Sodium chloride 0,9% 1800
Compatible
injection Azithromycine 2 mg/ml
injection Dolasetron mesylate 20 mg/ml
Sodium chloride 0,9% 1800
Compatible
injection Azithromycine 2 mg/ml
injection Doripenem 5 mg/ml
Glucose 5% 2262
Compatible
injection Azithromycine 2 mg/ml
injection Doripenem 5 mg/ml
Sodium chloride 0,9% 2262
Compatible
injection Azithromycine 2 mg/ml
injection Droperidol 2.5 mg/ml
Sodium chloride 0,9% 1800
Immediate precipitation Incompatible
injection Azithromycine 2 mg/ml
injection Famotidine 2 mg/ml
Sodium chloride 0,9% 1800
Compatible
injection Azithromycine 2 mg/ml
injection Fenoldopam mesylate 80 µg/ml
Sodium chloride 0,9% 1803
Immediate precipitation Incompatible
injection Azithromycine 2 mg/ml
injection Fentanyl citrate 50 µg/ml
Sodium chloride 0,9% 1800
Compatible
injection Azithromycine 2 mg/ml
injection Fosfomycin 30 mg/ml
Sodium chloride 0,9% 4055
Compatible
injection Azithromycine 2 mg/ml
injection Fosfomycin 30 mg/ml
Glucose 5% 4055
Immediate precipitation Incompatible
injection Azithromycine 2 mg/ml
injection Furosemide 10 mg/ml
Sodium chloride 0,9% 1800
Immediate precipitation Incompatible
injection Azithromycine 2 mg/ml
injection Gentamicin sulfate 21 mg/ml
Sodium chloride 0,9% 1800
Compatible
injection Azithromycine 2 mg/ml
injection Hetastarch 60 mg/ml
specific solvent 1721
Immediate precipitation Incompatible
injection Azithromycine 2 mg/ml
injection Imipenem - cilastatin sodium 5 mg/ml
Sodium chloride 0,9% 1800
Turbidity in 2 hours Incompatible
injection Azithromycine 2 mg/ml
injection Isavuconazonium sulfate 1.5 mg/ml
Glucose 5% 3829
Compatible
injection Azithromycine 2 mg/ml
injection Isavuconazonium sulfate 1.5 mg/ml
Sodium chloride 0,9% 3829
Immediate precipitation Incompatible
injection Azithromycine 2 mg/ml
injection Ketorolac tromethamine 15 mg/ml
Sodium chloride 0,9% 1800
Immediate precipitation Incompatible
injection Azithromycine 2 mg/ml
injection Levofloxacine 5 mg/ml
Sodium chloride 0,9% 1800
Compatible
injection Azithromycine 100 mg/ml
injection Meropenem 50 mg/ml
Water for Injection 4319
Immediate precipitation Incompatible
injection Azithromycine 2 mg/ml
injection Morphine sulfate 1 mg/ml
Sodium chloride 0,9% 1800
Compatible
injection Azithromycine 500 mg/ml
injection N-acetylcysteine 200 mg/ml
None 3766
Compatible
injection Azithromycine 500 mg/ml
injection Naloxone hydrochloride 0.4 mg/ml
None 3408
Compatible
injection Azithromycine 2 mg/ml
injection Ondansetron hydrochloride 2 mg/ml
Sodium chloride 0,9% 1800
Compatible
injection Azithromycine 100 mg/ml
injection Paracetamol 10 mg/ml
4742
Immediate precipitation Incompatible
injection Azithromycine 2 mg/ml
injection Piperacillin sodium / tazobactam 112.5 mg/ml
Sodium chloride 0,9% 1800
Compatible
injection Azithromycine 2 mg/ml
injection Plazomicin sulfate 24 mg/ml
Sodium chloride 0,9% 4145
Immediate precipitation Incompatible
injection Azithromycine 50 mg/ml
injection Salbutamol sulfate 1 mg/ml
None 3216
Compatible
injection Azithromycine 2 mg/ml
injection Sulbactam/durlobactam 15/15 mg/ml
Sodium chloride 0,9% 4801
Compatible
injection Azithromycine 2 mg/ml
injection Tedizolid phosphate 0.8 mg/ml
Sodium chloride 0,9% 3827
Compatible
injection Azithromycine 2 mg/ml
injection Telavancin hydrochloride 7.5 mg/ml
Glucose 5% 3254
Compatible
injection Azithromycine 2 mg/ml
injection Telavancin hydrochloride 7.5 mg/ml
Sodium chloride 0,9% 3254
Compatible
injection Azithromycine 2 mg/ml
injection Telavancin hydrochloride 7.5 mg/ml
Ringer’s lactate solution 3254
Immediate precipitation Incompatible
injection Azithromycine 100 mg/ml
injection Thiopental sodium 25 mg/ml
Sodium chloride 0,9% 3767
Immediate precipitation Incompatible
injection Azithromycine 2 mg/ml
injection Ticarcillin / clavulanic acid 103.3 mg/ml
Sodium chloride 0,9% 1800
Immediate precipitation Incompatible
injection Azithromycine 2 mg/ml
injection Tobramycin sulfate 21 mg/ml
Sodium chloride 0,9% 1800

  Mentions Légales