Последнее обновление :
27/04/2026
Антибиотик   Azithromycine  
Инъекция
Мази
Стабильность растворов Стабильность смесей Факторы, которые влияют на стабильность Совместимость Способы введения Библиография pdf
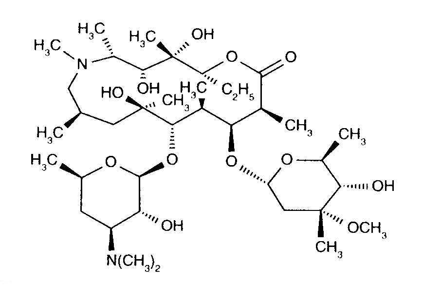
   Химическая структура  

Товарное название   Товарное название     

Trade names are indicative and excipients composition can be different depending on the country and manufacturers

Azithromycin Канада
Azithromycina Эквадор
Azithromycine Dr Erbeth Германия
Azitromax Швеция
Sumamed Венгрия, Польша
Zaret Колумбия
Zedbac Великобритания, Ирландия
Zetamac Чехия
Zithromac Япония
Zithromax Австралия, Египет, Канада, Малайзия, Объединенные Арабские Эмираты, Португалия, Саудовская Аравия, Соединённые Штаты Америки, Финляндия, чили
Совместимость   Инъекция   Совместимость : Azithromycine              
Эта таблица показывает совместимость или несовместимость препаратов, по возможности тип несовместимости (преципитат, смена цвета, разложение эмульсии и др.). Показанные здесь совместимости в основном физические, по возможности указана и химическая стабильность каждой молекулы. Анализ этих смесей произведён для исследования возможности ввести препараты пациенту в Y-соединении систем. Эти данные нельзя использовать, чтобы приготовить лекарства на будущее в мешках или шприцах. Эта информация доступна в разделе "Стабильность смесей".
Молекула Растворитель Ссылки
совместимый
Инъекция Azithromycine 100 mg/ml
Инъекция Amoxicillin sodium / clavulanic acid 100/10 mg/ml
3824
совместимый
Инъекция Azithromycine 2 mg/ml
Инъекция Bivalirudin 5 mg/ml
Глюкоза 5% 1713
совместимый
Инъекция Azithromycine 500 mg/ml
Раствор Рингера лактата 4603
Немедленные осадки несовместимый
Инъекция Azithromycine 2 mg/ml
Инъекция Amikacin sulfate 100 mg/ml
Натрия хлорид 0,9% 1800
Немедленные осадки несовместимый
Инъекция Azithromycine 2 mg/ml
Инъекция Aztreonam 200 mg/ml
Натрия хлорид 0,9% 1800
совместимый
Инъекция Azithromycine 100 mg/ml
Инъекция Caffeine 10 mg/ml
Нет 3964
совместимый
Инъекция Azithromycine 2 mg/ml
Инъекция Caspofungin acetate 0.5 mg/ml
Натрия хлорид 0,9% 2233
совместимый
Инъекция Azithromycine 2 mg/ml
Инъекция Cefiderocol sulfate tosylate 20 mg/mL
Натрия хлорид 0,9% 4528
совместимый
Инъекция Azithromycine 2 mg/ml
Инъекция Cefiderocol sulfate tosylate 20 mg/mL
Глюкоза 5% 4528
Немедленные осадки несовместимый
Инъекция Azithromycine 2 mg/ml
Инъекция Cefotaxime sodium 200 mg/ml
Натрия хлорид 0,9% 1800
совместимый
Инъекция Azithromycine 2 mg/ml
Инъекция Ceftaroline fosamil 2,22 mg/ml
Глюкоза 5% 3249
совместимый
Инъекция Azithromycine 2 mg/ml
Инъекция Ceftaroline fosamil 2,22 mg/ml
Натрия хлорид 0,9% 3249
совместимый
Инъекция Azithromycine 2 mg/ml
Инъекция Ceftaroline fosamil 2,22 mg/ml
Раствор Рингера лактата 3249
Немедленные осадки несовместимый
Инъекция Azithromycine 2 mg/ml
Инъекция Ceftazidime 80 mg/ml
Натрия хлорид 0,9% 1800
совместимый
Инъекция Azithromycine 2 mg/ml
Инъекция Ceftobiprole medocaril sodium 2 mg/ml
Натрия хлорид 0,9% 2269
совместимый
Инъекция Azithromycine 2 mg/ml
Инъекция Ceftobiprole medocaril sodium 2 mg/ml
Раствор Рингера лактата 2269
совместимый
Инъекция Azithromycine 2 mg/ml
Инъекция Ceftobiprole medocaril sodium 2 mg/ml
Глюкоза 5% 2269
совместимый
Инъекция Azithromycine 2 mg/ml
Инъекция Ceftolozane / tazobactam 10/5 mg/ml
Натрия хлорид 0,9% 3828
совместимый
Инъекция Azithromycine 2 mg/ml
Инъекция Ceftolozane / tazobactam 10/5 mg/ml
Глюкоза 5% 3828
Немедленные осадки несовместимый
Инъекция Azithromycine 2 mg/ml
Инъекция Ceftriaxone disodium 66.7 mg/ml
Натрия хлорид 0,9% 1800
Немедленные осадки несовместимый
Инъекция Azithromycine 2 mg/ml
Инъекция Cefuroxime sodium 100 mg/ml
Натрия хлорид 0,9% 1800
Немедленные осадки несовместимый
Инъекция Azithromycine 2 mg/ml
Инъекция Ciprofloxacin lactate 2 mg/ml
Натрия хлорид 0,9% 1800
Немедленные осадки несовместимый
Инъекция Azithromycine 2 mg/ml
Инъекция Clindamycin phosphate 30 mg/ml
Натрия хлорид 0,9% 1800
Немедленные осадки несовместимый
Инъекция Azithromycine 100 mg/ml
Инъекция Cloxacillin sodium 100 mg/ml
Вода для инъекций 3012
совместимый
Инъекция Azithromycine 2 mg/ml
Инъекция Dexmedetomidine 4 µg/ml
Натрия хлорид 0,9% 1712
совместимый
Инъекция Azithromycine 2 mg/ml
Инъекция Diphenhydramine hydrochloride 50 mg/ml
Натрия хлорид 0,9% 1800
совместимый
Инъекция Azithromycine 2 mg/ml
Инъекция Dolasetron mesylate 20 mg/ml
Натрия хлорид 0,9% 1800
совместимый
Инъекция Azithromycine 2 mg/ml
Инъекция Doripenem 5 mg/ml
Глюкоза 5% 2262
совместимый
Инъекция Azithromycine 2 mg/ml
Инъекция Doripenem 5 mg/ml
Натрия хлорид 0,9% 2262
совместимый
Инъекция Azithromycine 2 mg/ml
Инъекция Droperidol 2.5 mg/ml
Натрия хлорид 0,9% 1800
Немедленные осадки несовместимый
Инъекция Azithromycine 2 mg/ml
Инъекция Famotidine 2 mg/ml
Натрия хлорид 0,9% 1800
совместимый
Инъекция Azithromycine 2 mg/ml
Инъекция Fenoldopam mesylate 80 µg/ml
Натрия хлорид 0,9% 1803
Немедленные осадки несовместимый
Инъекция Azithromycine 2 mg/ml
Инъекция Fentanyl citrate 50 µg/ml
Натрия хлорид 0,9% 1800
совместимый
Инъекция Azithromycine 2 mg/ml
Инъекция Fosfomycin 30 mg/ml
Натрия хлорид 0,9% 4055
совместимый
Инъекция Azithromycine 2 mg/ml
Инъекция Fosfomycin 30 mg/ml
Глюкоза 5% 4055
Немедленные осадки несовместимый
Инъекция Azithromycine 2 mg/ml
Инъекция Furosemide 10 mg/ml
Натрия хлорид 0,9% 1800
Немедленные осадки несовместимый
Инъекция Azithromycine 2 mg/ml
Инъекция Gentamicin sulfate 21 mg/ml
Натрия хлорид 0,9% 1800
совместимый
Инъекция Azithromycine 2 mg/ml
Инъекция Hetastarch 60 mg/ml
Конкретные растворителя 1721
Немедленные осадки несовместимый
Инъекция Azithromycine 2 mg/ml
Инъекция Imipenem - cilastatin sodium 5 mg/ml
Натрия хлорид 0,9% 1800
Мутность через 2 часа несовместимый
Инъекция Azithromycine 2 mg/ml
Инъекция Isavuconazonium sulfate 1.5 mg/ml
Глюкоза 5% 3829
совместимый
Инъекция Azithromycine 2 mg/ml
Инъекция Isavuconazonium sulfate 1.5 mg/ml
Натрия хлорид 0,9% 3829
Немедленные осадки несовместимый
Инъекция Azithromycine 2 mg/ml
Инъекция Ketorolac tromethamine 15 mg/ml
Натрия хлорид 0,9% 1800
Немедленные осадки несовместимый
Инъекция Azithromycine 2 mg/ml
Инъекция Levofloxacine 5 mg/ml
Натрия хлорид 0,9% 1800
совместимый
Инъекция Azithromycine 100 mg/ml
Инъекция Meropenem 50 mg/ml
Вода для инъекций 4319
Немедленные осадки несовместимый
Инъекция Azithromycine 2 mg/ml
Инъекция Morphine sulfate 1 mg/ml
Натрия хлорид 0,9% 1800
совместимый
Инъекция Azithromycine 500 mg/ml
Инъекция N-acetylcysteine 200 mg/ml
Нет 3766
совместимый
Инъекция Azithromycine 500 mg/ml
Инъекция Naloxone hydrochloride 0.4 mg/ml
Нет 3408
совместимый
Инъекция Azithromycine 2 mg/ml
Инъекция Ondansetron hydrochloride 2 mg/ml
Натрия хлорид 0,9% 1800
совместимый
Инъекция Azithromycine 100 mg/ml
Инъекция Paracetamol 10 mg/ml
4742
Немедленные осадки несовместимый
Инъекция Azithromycine 2 mg/ml
Инъекция Piperacillin sodium / tazobactam 112.5 mg/ml
Натрия хлорид 0,9% 1800
совместимый
Инъекция Azithromycine 2 mg/ml
Инъекция Plazomicin sulfate 24 mg/ml
Натрия хлорид 0,9% 4145
Немедленные осадки несовместимый
Инъекция Azithromycine 50 mg/ml
Инъекция Salbutamol sulfate 1 mg/ml
Нет 3216
совместимый
Инъекция Azithromycine 2 mg/ml
Инъекция Sulbactam/durlobactam 15/15 mg/ml
Натрия хлорид 0,9% 4801
совместимый
Инъекция Azithromycine 2 mg/ml
Инъекция Tedizolid phosphate 0.8 mg/ml
Натрия хлорид 0,9% 3827
совместимый
Инъекция Azithromycine 2 mg/ml
Инъекция Telavancin hydrochloride 7.5 mg/ml
Глюкоза 5% 3254
совместимый
Инъекция Azithromycine 2 mg/ml
Инъекция Telavancin hydrochloride 7.5 mg/ml
Натрия хлорид 0,9% 3254
совместимый
Инъекция Azithromycine 2 mg/ml
Инъекция Telavancin hydrochloride 7.5 mg/ml
Раствор Рингера лактата 3254
Немедленные осадки несовместимый
Инъекция Azithromycine 100 mg/ml
Инъекция Thiopental sodium 25 mg/ml
Натрия хлорид 0,9% 3767
Немедленные осадки несовместимый
Инъекция Azithromycine 2 mg/ml
Инъекция Ticarcillin / clavulanic acid 103.3 mg/ml
Натрия хлорид 0,9% 1800
Немедленные осадки несовместимый
Инъекция Azithromycine 2 mg/ml
Инъекция Tobramycin sulfate 21 mg/ml
Натрия хлорид 0,9% 1800

  Mentions Légales