最新更新 :
27/04/2026
抗菌薬   Azithromycine  
注射薬
軟膏薬
溶媒内の安定性 混合時の安定性 安定性に影響する因子 互換性 投与経路 引用文献 PDF
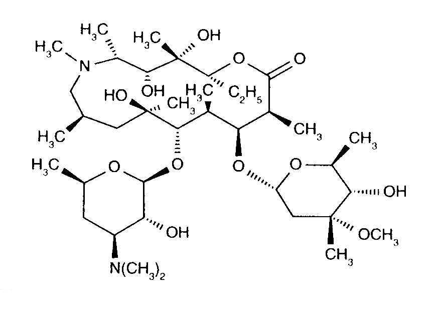
   化学構造  

商品名   商品名     

商品名、賦形剤は国、製薬会社ごとに異なることがあります

Azithromycin カナダ
Azithromycina エクアドル
Azithromycine Dr Erbeth ドイツ
Azitromax スウェーデン
Sumamed ハンガリー, ポーランド
Zaret コロンビア
Zedbac アイルランド, イギリス
Zetamac チェコ
Zithromac 日本
Zithromax アメリカ, アラブ首長国連邦, アーストラリア, エジプト, カナダ, サウジアラビア, チリ, フィンランド, ポルトガル, マレーシア
互換性   注射薬   互換性 : Azithromycine              
This screen indicates the compatibilities or incompatibilities with, in this case, the type of incompatibility (precipitation, color change, modification of an emulsion, etc.). The compatibilities shown here are mostly physical only, with the chemical stability of each molecule rarely being assessed. The evaluation of these mixtures was studied to consider the possibility of Y-site administration to the patient. These data cannot be used for making mixtures in advance in bags or syringes. This type of information is available in the screen "Stability in mixture ».
化合物 溶媒 引用文献
対応
注射薬 Azithromycine 100 mg/ml
注射薬 Amoxicillin sodium / clavulanic acid 100/10 mg/ml
3824
対応
注射薬 Azithromycine 2 mg/ml
注射薬 Bivalirudin 5 mg/ml
グルコース5% 1713
対応
注射薬 Azithromycine 500 mg/ml
乳酸リンゲル 4603
即時降水 非互換
注射薬 Azithromycine 2 mg/ml
注射薬 Amikacin sulfate 100 mg/ml
NaCl 0,9% 1800
即時降水 非互換
注射薬 Azithromycine 2 mg/ml
注射薬 Aztreonam 200 mg/ml
NaCl 0,9% 1800
対応
注射薬 Azithromycine 100 mg/ml
注射薬 Caffeine 10 mg/ml
なし 3964
対応
注射薬 Azithromycine 2 mg/ml
注射薬 Caspofungin acetate 0.5 mg/ml
NaCl 0,9% 2233
対応
注射薬 Azithromycine 2 mg/ml
注射薬 Cefiderocol sulfate tosylate 20 mg/mL
NaCl 0,9% 4528
対応
注射薬 Azithromycine 2 mg/ml
注射薬 Cefiderocol sulfate tosylate 20 mg/mL
グルコース5% 4528
即時降水 非互換
注射薬 Azithromycine 2 mg/ml
注射薬 Cefotaxime sodium 200 mg/ml
NaCl 0,9% 1800
対応
注射薬 Azithromycine 2 mg/ml
注射薬 Ceftaroline fosamil 2,22 mg/ml
グルコース5% 3249
対応
注射薬 Azithromycine 2 mg/ml
注射薬 Ceftaroline fosamil 2,22 mg/ml
NaCl 0,9% 3249
対応
注射薬 Azithromycine 2 mg/ml
注射薬 Ceftaroline fosamil 2,22 mg/ml
乳酸リンゲル 3249
即時降水 非互換
注射薬 Azithromycine 2 mg/ml
注射薬 Ceftazidime 80 mg/ml
NaCl 0,9% 1800
対応
注射薬 Azithromycine 2 mg/ml
注射薬 Ceftobiprole medocaril sodium 2 mg/ml
NaCl 0,9% 2269
対応
注射薬 Azithromycine 2 mg/ml
注射薬 Ceftobiprole medocaril sodium 2 mg/ml
乳酸リンゲル 2269
対応
注射薬 Azithromycine 2 mg/ml
注射薬 Ceftobiprole medocaril sodium 2 mg/ml
グルコース5% 2269
対応
注射薬 Azithromycine 2 mg/ml
注射薬 Ceftolozane / tazobactam 10/5 mg/ml
NaCl 0,9% 3828
対応
注射薬 Azithromycine 2 mg/ml
注射薬 Ceftolozane / tazobactam 10/5 mg/ml
グルコース5% 3828
即時降水 非互換
注射薬 Azithromycine 2 mg/ml
注射薬 Ceftriaxone disodium 66.7 mg/ml
NaCl 0,9% 1800
即時降水 非互換
注射薬 Azithromycine 2 mg/ml
注射薬 Cefuroxime sodium 100 mg/ml
NaCl 0,9% 1800
即時降水 非互換
注射薬 Azithromycine 2 mg/ml
注射薬 Ciprofloxacin lactate 2 mg/ml
NaCl 0,9% 1800
即時降水 非互換
注射薬 Azithromycine 2 mg/ml
注射薬 Clindamycin phosphate 30 mg/ml
NaCl 0,9% 1800
即時降水 非互換
注射薬 Azithromycine 100 mg/ml
注射薬 Cloxacillin sodium 100 mg/ml
注射用水 3012
対応
注射薬 Azithromycine 2 mg/ml
注射薬 Dexmedetomidine 4 µg/ml
NaCl 0,9% 1712
対応
注射薬 Azithromycine 2 mg/ml
注射薬 Diphenhydramine hydrochloride 50 mg/ml
NaCl 0,9% 1800
対応
注射薬 Azithromycine 2 mg/ml
注射薬 Dolasetron mesylate 20 mg/ml
NaCl 0,9% 1800
対応
注射薬 Azithromycine 2 mg/ml
注射薬 Doripenem 5 mg/ml
グルコース5% 2262
対応
注射薬 Azithromycine 2 mg/ml
注射薬 Doripenem 5 mg/ml
NaCl 0,9% 2262
対応
注射薬 Azithromycine 2 mg/ml
注射薬 Droperidol 2.5 mg/ml
NaCl 0,9% 1800
即時降水 非互換
注射薬 Azithromycine 2 mg/ml
注射薬 Famotidine 2 mg/ml
NaCl 0,9% 1800
対応
注射薬 Azithromycine 2 mg/ml
注射薬 Fenoldopam mesylate 80 µg/ml
NaCl 0,9% 1803
即時降水 非互換
注射薬 Azithromycine 2 mg/ml
注射薬 Fentanyl citrate 50 µg/ml
NaCl 0,9% 1800
対応
注射薬 Azithromycine 2 mg/ml
注射薬 Fosfomycin 30 mg/ml
NaCl 0,9% 4055
対応
注射薬 Azithromycine 2 mg/ml
注射薬 Fosfomycin 30 mg/ml
グルコース5% 4055
即時降水 非互換
注射薬 Azithromycine 2 mg/ml
注射薬 Furosemide 10 mg/ml
NaCl 0,9% 1800
即時降水 非互換
注射薬 Azithromycine 2 mg/ml
注射薬 Gentamicin sulfate 21 mg/ml
NaCl 0,9% 1800
対応
注射薬 Azithromycine 2 mg/ml
注射薬 Hetastarch 60 mg/ml
特定の溶媒 1721
即時降水 非互換
注射薬 Azithromycine 2 mg/ml
注射薬 Imipenem - cilastatin sodium 5 mg/ml
NaCl 0,9% 1800
2時間での濁度 非互換
注射薬 Azithromycine 2 mg/ml
注射薬 Isavuconazonium sulfate 1.5 mg/ml
グルコース5% 3829
対応
注射薬 Azithromycine 2 mg/ml
注射薬 Isavuconazonium sulfate 1.5 mg/ml
NaCl 0,9% 3829
即時降水 非互換
注射薬 Azithromycine 2 mg/ml
注射薬 Ketorolac tromethamine 15 mg/ml
NaCl 0,9% 1800
即時降水 非互換
注射薬 Azithromycine 2 mg/ml
注射薬 Levofloxacine 5 mg/ml
NaCl 0,9% 1800
対応
注射薬 Azithromycine 100 mg/ml
注射薬 Meropenem 50 mg/ml
注射用水 4319
即時降水 非互換
注射薬 Azithromycine 2 mg/ml
注射薬 Morphine sulfate 1 mg/ml
NaCl 0,9% 1800
対応
注射薬 Azithromycine 500 mg/ml
注射薬 N-acetylcysteine 200 mg/ml
なし 3766
対応
注射薬 Azithromycine 500 mg/ml
注射薬 Naloxone hydrochloride 0.4 mg/ml
なし 3408
対応
注射薬 Azithromycine 2 mg/ml
注射薬 Ondansetron hydrochloride 2 mg/ml
NaCl 0,9% 1800
対応
注射薬 Azithromycine 100 mg/ml
注射薬 Paracetamol 10 mg/ml
4742
即時降水 非互換
注射薬 Azithromycine 2 mg/ml
注射薬 Piperacillin sodium / tazobactam 112.5 mg/ml
NaCl 0,9% 1800
対応
注射薬 Azithromycine 2 mg/ml
注射薬 Plazomicin sulfate 24 mg/ml
NaCl 0,9% 4145
即時降水 非互換
注射薬 Azithromycine 50 mg/ml
注射薬 Salbutamol sulfate 1 mg/ml
なし 3216
対応
注射薬 Azithromycine 2 mg/ml
注射薬 Sulbactam/durlobactam 15/15 mg/ml
NaCl 0,9% 4801
対応
注射薬 Azithromycine 2 mg/ml
注射薬 Tedizolid phosphate 0.8 mg/ml
NaCl 0,9% 3827
対応
注射薬 Azithromycine 2 mg/ml
注射薬 Telavancin hydrochloride 7.5 mg/ml
グルコース5% 3254
対応
注射薬 Azithromycine 2 mg/ml
注射薬 Telavancin hydrochloride 7.5 mg/ml
NaCl 0,9% 3254
対応
注射薬 Azithromycine 2 mg/ml
注射薬 Telavancin hydrochloride 7.5 mg/ml
乳酸リンゲル 3254
即時降水 非互換
注射薬 Azithromycine 100 mg/ml
注射薬 Thiopental sodium 25 mg/ml
NaCl 0,9% 3767
即時降水 非互換
注射薬 Azithromycine 2 mg/ml
注射薬 Ticarcillin / clavulanic acid 103.3 mg/ml
NaCl 0,9% 1800
即時降水 非互換
注射薬 Azithromycine 2 mg/ml
注射薬 Tobramycin sulfate 21 mg/ml
NaCl 0,9% 1800

  Mentions Légales