Poslední aktualizace :
27/04/2026
Antibiotikas   Azithromycine  
Įpurškimas
Tepalai
Tirpalų stabilumas Mišinių stabilumas Stabilumą lemiantys veiksniai Suderinamumas Leidimo būdai Bibliografija pdf
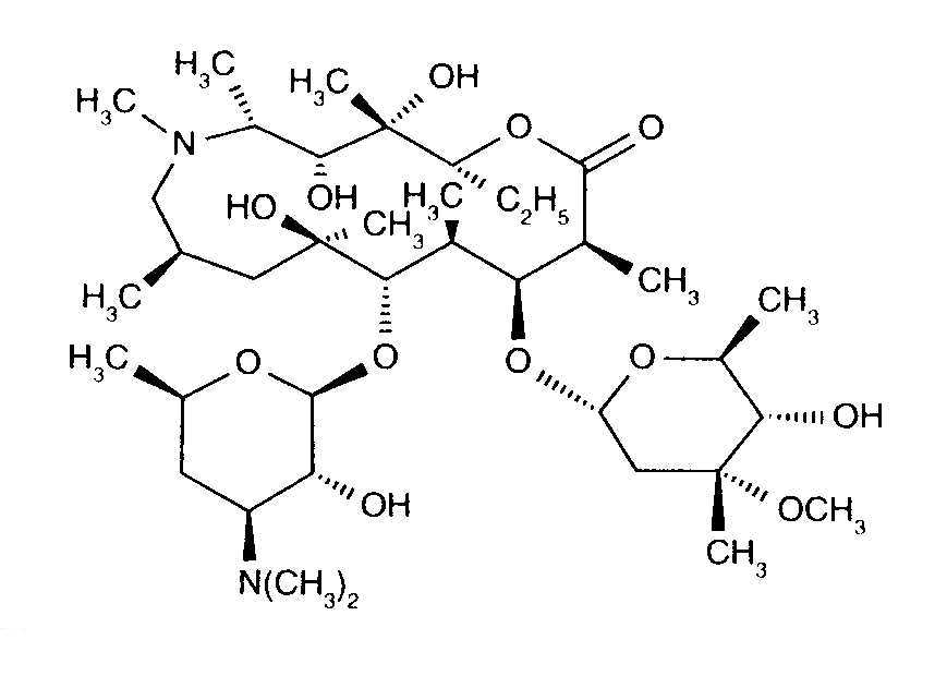
   Cheminė sandara  

Prekinis pavadinimas   Prekinis pavadinimas     

Trade names are indicative and excipients composition can be different depending on the country and manufacturers

Azithromycin Kanada
Azithromycina Ekvadoras
Azithromycine Dr Erbeth Vokietija
Azitromax Švedija
Sumamed Lenkija, Vengrija
Zaret Kolumbija
Zedbac Airija, Didžioji Britanija
Zetamac Čekija
Zithromac Japonija
Zithromax Australija, Čilė, Egiptas, Jungtinės Amerikos Valstijos, Jungtiniai Arabų Emyratai, Kanada, Malaizija, Portugalija, Saudo Arabija, Suomija
Suderinamumas   Įpurškimas   Suderinamumas : Azithromycine              
explication_incompatibilite_molecules
Molekulė Tirpiklis Nuorodos
Suderinamas
Įpurškimas Azithromycine 100 mg/ml
Įpurškimas Amoxicillin sodium / clavulanic acid 100/10 mg/ml
3824
Suderinamas
Įpurškimas Azithromycine 2 mg/ml
Įpurškimas Bivalirudin 5 mg/ml
Gliukozė 5% 1713
Suderinamas
Įpurškimas Azithromycine 500 mg/ml
Ringerio laktato tirpalas 4603
Nedelsiant krituliai Nesuderinamas
Įpurškimas Azithromycine 2 mg/ml
Įpurškimas Amikacin sulfate 100 mg/ml
Natrio chloridas 0,9% 1800
Nedelsiant krituliai Nesuderinamas
Įpurškimas Azithromycine 2 mg/ml
Įpurškimas Aztreonam 200 mg/ml
Natrio chloridas 0,9% 1800
Suderinamas
Įpurškimas Azithromycine 100 mg/ml
Įpurškimas Caffeine 10 mg/ml
Nėra 3964
Suderinamas
Įpurškimas Azithromycine 2 mg/ml
Įpurškimas Caspofungin acetate 0.5 mg/ml
Natrio chloridas 0,9% 2233
Suderinamas
Įpurškimas Azithromycine 2 mg/ml
Įpurškimas Cefiderocol sulfate tosylate 20 mg/mL
Natrio chloridas 0,9% 4528
Suderinamas
Įpurškimas Azithromycine 2 mg/ml
Įpurškimas Cefiderocol sulfate tosylate 20 mg/mL
Gliukozė 5% 4528
Nedelsiant krituliai Nesuderinamas
Įpurškimas Azithromycine 2 mg/ml
Įpurškimas Cefotaxime sodium 200 mg/ml
Natrio chloridas 0,9% 1800
Suderinamas
Įpurškimas Azithromycine 2 mg/ml
Įpurškimas Ceftaroline fosamil 2,22 mg/ml
Gliukozė 5% 3249
Suderinamas
Įpurškimas Azithromycine 2 mg/ml
Įpurškimas Ceftaroline fosamil 2,22 mg/ml
Natrio chloridas 0,9% 3249
Suderinamas
Įpurškimas Azithromycine 2 mg/ml
Įpurškimas Ceftaroline fosamil 2,22 mg/ml
Ringerio laktato tirpalas 3249
Nedelsiant krituliai Nesuderinamas
Įpurškimas Azithromycine 2 mg/ml
Įpurškimas Ceftazidime 80 mg/ml
Natrio chloridas 0,9% 1800
Suderinamas
Įpurškimas Azithromycine 2 mg/ml
Įpurškimas Ceftobiprole medocaril sodium 2 mg/ml
Natrio chloridas 0,9% 2269
Suderinamas
Įpurškimas Azithromycine 2 mg/ml
Įpurškimas Ceftobiprole medocaril sodium 2 mg/ml
Ringerio laktato tirpalas 2269
Suderinamas
Įpurškimas Azithromycine 2 mg/ml
Įpurškimas Ceftobiprole medocaril sodium 2 mg/ml
Gliukozė 5% 2269
Suderinamas
Įpurškimas Azithromycine 2 mg/ml
Įpurškimas Ceftolozane / tazobactam 10/5 mg/ml
Natrio chloridas 0,9% 3828
Suderinamas
Įpurškimas Azithromycine 2 mg/ml
Įpurškimas Ceftolozane / tazobactam 10/5 mg/ml
Gliukozė 5% 3828
Nedelsiant krituliai Nesuderinamas
Įpurškimas Azithromycine 2 mg/ml
Įpurškimas Ceftriaxone disodium 66.7 mg/ml
Natrio chloridas 0,9% 1800
Nedelsiant krituliai Nesuderinamas
Įpurškimas Azithromycine 2 mg/ml
Įpurškimas Cefuroxime sodium 100 mg/ml
Natrio chloridas 0,9% 1800
Nedelsiant krituliai Nesuderinamas
Įpurškimas Azithromycine 2 mg/ml
Įpurškimas Ciprofloxacin lactate 2 mg/ml
Natrio chloridas 0,9% 1800
Nedelsiant krituliai Nesuderinamas
Įpurškimas Azithromycine 2 mg/ml
Įpurškimas Clindamycin phosphate 30 mg/ml
Natrio chloridas 0,9% 1800
Nedelsiant krituliai Nesuderinamas
Įpurškimas Azithromycine 100 mg/ml
Įpurškimas Cloxacillin sodium 100 mg/ml
Vanduo injekcijoms 3012
Suderinamas
Įpurškimas Azithromycine 2 mg/ml
Įpurškimas Dexmedetomidine 4 µg/ml
Natrio chloridas 0,9% 1712
Suderinamas
Įpurškimas Azithromycine 2 mg/ml
Įpurškimas Diphenhydramine hydrochloride 50 mg/ml
Natrio chloridas 0,9% 1800
Suderinamas
Įpurškimas Azithromycine 2 mg/ml
Įpurškimas Dolasetron mesylate 20 mg/ml
Natrio chloridas 0,9% 1800
Suderinamas
Įpurškimas Azithromycine 2 mg/ml
Įpurškimas Doripenem 5 mg/ml
Gliukozė 5% 2262
Suderinamas
Įpurškimas Azithromycine 2 mg/ml
Įpurškimas Doripenem 5 mg/ml
Natrio chloridas 0,9% 2262
Suderinamas
Įpurškimas Azithromycine 2 mg/ml
Įpurškimas Droperidol 2.5 mg/ml
Natrio chloridas 0,9% 1800
Nedelsiant krituliai Nesuderinamas
Įpurškimas Azithromycine 2 mg/ml
Įpurškimas Famotidine 2 mg/ml
Natrio chloridas 0,9% 1800
Suderinamas
Įpurškimas Azithromycine 2 mg/ml
Įpurškimas Fenoldopam mesylate 80 µg/ml
Natrio chloridas 0,9% 1803
Nedelsiant krituliai Nesuderinamas
Įpurškimas Azithromycine 2 mg/ml
Įpurškimas Fentanyl citrate 50 µg/ml
Natrio chloridas 0,9% 1800
Suderinamas
Įpurškimas Azithromycine 2 mg/ml
Įpurškimas Fosfomycin 30 mg/ml
Natrio chloridas 0,9% 4055
Suderinamas
Įpurškimas Azithromycine 2 mg/ml
Įpurškimas Fosfomycin 30 mg/ml
Gliukozė 5% 4055
Nedelsiant krituliai Nesuderinamas
Įpurškimas Azithromycine 2 mg/ml
Įpurškimas Furosemide 10 mg/ml
Natrio chloridas 0,9% 1800
Nedelsiant krituliai Nesuderinamas
Įpurškimas Azithromycine 2 mg/ml
Įpurškimas Gentamicin sulfate 21 mg/ml
Natrio chloridas 0,9% 1800
Suderinamas
Įpurškimas Azithromycine 2 mg/ml
Įpurškimas Hetastarch 60 mg/ml
specifinis tirpiklis 1721
Nedelsiant krituliai Nesuderinamas
Įpurškimas Azithromycine 2 mg/ml
Įpurškimas Imipenem - cilastatin sodium 5 mg/ml
Natrio chloridas 0,9% 1800
Drumstumas per 2 valandas Nesuderinamas
Įpurškimas Azithromycine 2 mg/ml
Įpurškimas Isavuconazonium sulfate 1.5 mg/ml
Gliukozė 5% 3829
Suderinamas
Įpurškimas Azithromycine 2 mg/ml
Įpurškimas Isavuconazonium sulfate 1.5 mg/ml
Natrio chloridas 0,9% 3829
Nedelsiant krituliai Nesuderinamas
Įpurškimas Azithromycine 2 mg/ml
Įpurškimas Ketorolac tromethamine 15 mg/ml
Natrio chloridas 0,9% 1800
Nedelsiant krituliai Nesuderinamas
Įpurškimas Azithromycine 2 mg/ml
Įpurškimas Levofloxacine 5 mg/ml
Natrio chloridas 0,9% 1800
Suderinamas
Įpurškimas Azithromycine 100 mg/ml
Įpurškimas Meropenem 50 mg/ml
Vanduo injekcijoms 4319
Nedelsiant krituliai Nesuderinamas
Įpurškimas Azithromycine 2 mg/ml
Įpurškimas Morphine sulfate 1 mg/ml
Natrio chloridas 0,9% 1800
Suderinamas
Įpurškimas Azithromycine 500 mg/ml
Įpurškimas N-acetylcysteine 200 mg/ml
Nėra 3766
Suderinamas
Įpurškimas Azithromycine 500 mg/ml
Įpurškimas Naloxone hydrochloride 0.4 mg/ml
Nėra 3408
Suderinamas
Įpurškimas Azithromycine 2 mg/ml
Įpurškimas Ondansetron hydrochloride 2 mg/ml
Natrio chloridas 0,9% 1800
Suderinamas
Įpurškimas Azithromycine 100 mg/ml
Įpurškimas Paracetamol 10 mg/ml
4742
Nedelsiant krituliai Nesuderinamas
Įpurškimas Azithromycine 2 mg/ml
Įpurškimas Piperacillin sodium / tazobactam 112.5 mg/ml
Natrio chloridas 0,9% 1800
Suderinamas
Įpurškimas Azithromycine 2 mg/ml
Įpurškimas Plazomicin sulfate 24 mg/ml
Natrio chloridas 0,9% 4145
Nedelsiant krituliai Nesuderinamas
Įpurškimas Azithromycine 50 mg/ml
Įpurškimas Salbutamol sulfate 1 mg/ml
Nėra 3216
Suderinamas
Įpurškimas Azithromycine 2 mg/ml
Įpurškimas Sulbactam/durlobactam 15/15 mg/ml
Natrio chloridas 0,9% 4801
Suderinamas
Įpurškimas Azithromycine 2 mg/ml
Įpurškimas Tedizolid phosphate 0.8 mg/ml
Natrio chloridas 0,9% 3827
Suderinamas
Įpurškimas Azithromycine 2 mg/ml
Įpurškimas Telavancin hydrochloride 7.5 mg/ml
Gliukozė 5% 3254
Suderinamas
Įpurškimas Azithromycine 2 mg/ml
Įpurškimas Telavancin hydrochloride 7.5 mg/ml
Natrio chloridas 0,9% 3254
Suderinamas
Įpurškimas Azithromycine 2 mg/ml
Įpurškimas Telavancin hydrochloride 7.5 mg/ml
Ringerio laktato tirpalas 3254
Nedelsiant krituliai Nesuderinamas
Įpurškimas Azithromycine 100 mg/ml
Įpurškimas Thiopental sodium 25 mg/ml
Natrio chloridas 0,9% 3767
Nedelsiant krituliai Nesuderinamas
Įpurškimas Azithromycine 2 mg/ml
Įpurškimas Ticarcillin / clavulanic acid 103.3 mg/ml
Natrio chloridas 0,9% 1800
Nedelsiant krituliai Nesuderinamas
Įpurškimas Azithromycine 2 mg/ml
Įpurškimas Tobramycin sulfate 21 mg/ml
Natrio chloridas 0,9% 1800

  Mentions Légales