Última actualização :
27/04/2026
antibiótico   Azithromycine  
injetável
Pomadas
Estabilidade em soluções simples Estabilidade em misturas Factores que afectam a sua estabilidade Compatibilidade Método de administração Bibliografía pdf
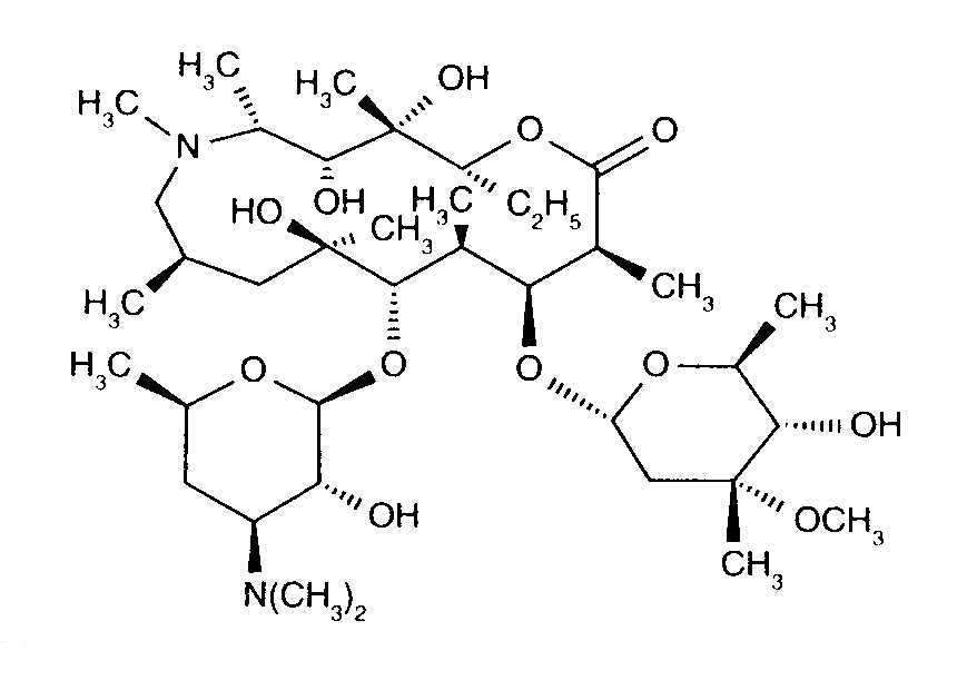
   estrutura química  

Nomes comerciais nos diversos países   Nomes comerciais nos diversos países     

OS NOMES COMERCIAIS SÃO INDICATIVOS E OS EXCIPIENTES DA FORMULAÇÃO PODEM SER DIFERENTES CONFORME O PAÍS E FABRICANTE.

Azithromycin Canadá
Azithromycina Equator
Azithromycine Dr Erbeth Alemanha
Azitromax Suècia
Sumamed Hungria, Polonia
Zaret Colômbia
Zedbac Gran-bretanha, Irlanda
Zetamac República Checa
Zithromac Japón
Zithromax Arábia Saudita, Australia, Canadá, Chilli, Egipto, Emirados Árabes Unidos, Estados Unidos de América, Finlandia, Malásia, Portugal
Compatibilidade   injetável   Compatibilidade : Azithromycine              
Este ecrã indica as compatibilidades ou incompatibilidades com, neste caso, o tipo de incompatibilidade (precipitação, mudança de cor, modificação de uma emulsão, etc.). As compatibilidades mostradas aqui são principalmente físicas, com a estabilidade química de cada molécula raramente sendo avaliada. A avaliação dessas misturas foi estudada para considerar a possibilidade de administração do local Y ao paciente. Estes dados não podem ser usados para fazer misturas antecipadamente em sacos ou seringas. Este tipo de informação está disponível na tela “Estabilidade na mistura».
molécula Solvente Bibliografia
Compatível
injetável Azithromycine 100 mg/ml
injetável Amoxicillin sodium / clavulanic acid 100/10 mg/ml
3824
Compatível
injetável Azithromycine 2 mg/ml
injetável Bivalirudin 5 mg/ml
Glucose 5% 1713
Compatível
injetável Azithromycine 500 mg/ml
Ringer lactato 4603
Precipitação imediata Incompatível
injetável Azithromycine 2 mg/ml
injetável Amikacin sulfate 100 mg/ml
cloreto de sódio 0,9% 1800
Precipitação imediata Incompatível
injetável Azithromycine 2 mg/ml
injetável Aztreonam 200 mg/ml
cloreto de sódio 0,9% 1800
Compatível
injetável Azithromycine 100 mg/ml
injetável Caffeine 10 mg/ml
nenhum 3964
Compatível
injetável Azithromycine 2 mg/ml
injetável Caspofungin acetate 0.5 mg/ml
cloreto de sódio 0,9% 2233
Compatível
injetável Azithromycine 2 mg/ml
injetável Cefiderocol sulfate tosylate 20 mg/mL
cloreto de sódio 0,9% 4528
Compatível
injetável Azithromycine 2 mg/ml
injetável Cefiderocol sulfate tosylate 20 mg/mL
Glucose 5% 4528
Precipitação imediata Incompatível
injetável Azithromycine 2 mg/ml
injetável Cefotaxime sodium 200 mg/ml
cloreto de sódio 0,9% 1800
Compatível
injetável Azithromycine 2 mg/ml
injetável Ceftaroline fosamil 2,22 mg/ml
Glucose 5% 3249
Compatível
injetável Azithromycine 2 mg/ml
injetável Ceftaroline fosamil 2,22 mg/ml
cloreto de sódio 0,9% 3249
Compatível
injetável Azithromycine 2 mg/ml
injetável Ceftaroline fosamil 2,22 mg/ml
Ringer lactato 3249
Precipitação imediata Incompatível
injetável Azithromycine 2 mg/ml
injetável Ceftazidime 80 mg/ml
cloreto de sódio 0,9% 1800
Compatível
injetável Azithromycine 2 mg/ml
injetável Ceftobiprole medocaril sodium 2 mg/ml
cloreto de sódio 0,9% 2269
Compatível
injetável Azithromycine 2 mg/ml
injetável Ceftobiprole medocaril sodium 2 mg/ml
Ringer lactato 2269
Compatível
injetável Azithromycine 2 mg/ml
injetável Ceftobiprole medocaril sodium 2 mg/ml
Glucose 5% 2269
Compatível
injetável Azithromycine 2 mg/ml
injetável Ceftolozane / tazobactam 10/5 mg/ml
cloreto de sódio 0,9% 3828
Compatível
injetável Azithromycine 2 mg/ml
injetável Ceftolozane / tazobactam 10/5 mg/ml
Glucose 5% 3828
Precipitação imediata Incompatível
injetável Azithromycine 2 mg/ml
injetável Ceftriaxone disodium 66.7 mg/ml
cloreto de sódio 0,9% 1800
Precipitação imediata Incompatível
injetável Azithromycine 2 mg/ml
injetável Cefuroxime sodium 100 mg/ml
cloreto de sódio 0,9% 1800
Precipitação imediata Incompatível
injetável Azithromycine 2 mg/ml
injetável Ciprofloxacin lactate 2 mg/ml
cloreto de sódio 0,9% 1800
Precipitação imediata Incompatível
injetável Azithromycine 2 mg/ml
injetável Clindamycin phosphate 30 mg/ml
cloreto de sódio 0,9% 1800
Precipitação imediata Incompatível
injetável Azithromycine 100 mg/ml
injetável Cloxacillin sodium 100 mg/ml
Agua para injectaveis 3012
Compatível
injetável Azithromycine 2 mg/ml
injetável Dexmedetomidine 4 µg/ml
cloreto de sódio 0,9% 1712
Compatível
injetável Azithromycine 2 mg/ml
injetável Diphenhydramine hydrochloride 50 mg/ml
cloreto de sódio 0,9% 1800
Compatível
injetável Azithromycine 2 mg/ml
injetável Dolasetron mesylate 20 mg/ml
cloreto de sódio 0,9% 1800
Compatível
injetável Azithromycine 2 mg/ml
injetável Doripenem 5 mg/ml
Glucose 5% 2262
Compatível
injetável Azithromycine 2 mg/ml
injetável Doripenem 5 mg/ml
cloreto de sódio 0,9% 2262
Compatível
injetável Azithromycine 2 mg/ml
injetável Droperidol 2.5 mg/ml
cloreto de sódio 0,9% 1800
Precipitação imediata Incompatível
injetável Azithromycine 2 mg/ml
injetável Famotidine 2 mg/ml
cloreto de sódio 0,9% 1800
Compatível
injetável Azithromycine 2 mg/ml
injetável Fenoldopam mesylate 80 µg/ml
cloreto de sódio 0,9% 1803
Precipitação imediata Incompatível
injetável Azithromycine 2 mg/ml
injetável Fentanyl citrate 50 µg/ml
cloreto de sódio 0,9% 1800
Compatível
injetável Azithromycine 2 mg/ml
injetável Fosfomycin 30 mg/ml
cloreto de sódio 0,9% 4055
Compatível
injetável Azithromycine 2 mg/ml
injetável Fosfomycin 30 mg/ml
Glucose 5% 4055
Precipitação imediata Incompatível
injetável Azithromycine 2 mg/ml
injetável Furosemide 10 mg/ml
cloreto de sódio 0,9% 1800
Precipitação imediata Incompatível
injetável Azithromycine 2 mg/ml
injetável Gentamicin sulfate 21 mg/ml
cloreto de sódio 0,9% 1800
Compatível
injetável Azithromycine 2 mg/ml
injetável Hetastarch 60 mg/ml
solvente específico 1721
Precipitação imediata Incompatível
injetável Azithromycine 2 mg/ml
injetável Imipenem - cilastatin sodium 5 mg/ml
cloreto de sódio 0,9% 1800
Turbidez em 2 horas Incompatível
injetável Azithromycine 2 mg/ml
injetável Isavuconazonium sulfate 1.5 mg/ml
Glucose 5% 3829
Compatível
injetável Azithromycine 2 mg/ml
injetável Isavuconazonium sulfate 1.5 mg/ml
cloreto de sódio 0,9% 3829
Precipitação imediata Incompatível
injetável Azithromycine 2 mg/ml
injetável Ketorolac tromethamine 15 mg/ml
cloreto de sódio 0,9% 1800
Precipitação imediata Incompatível
injetável Azithromycine 2 mg/ml
injetável Levofloxacine 5 mg/ml
cloreto de sódio 0,9% 1800
Compatível
injetável Azithromycine 100 mg/ml
injetável Meropenem 50 mg/ml
Agua para injectaveis 4319
Precipitação imediata Incompatível
injetável Azithromycine 2 mg/ml
injetável Morphine sulfate 1 mg/ml
cloreto de sódio 0,9% 1800
Compatível
injetável Azithromycine 500 mg/ml
injetável N-acetylcysteine 200 mg/ml
nenhum 3766
Compatível
injetável Azithromycine 500 mg/ml
injetável Naloxone hydrochloride 0.4 mg/ml
nenhum 3408
Compatível
injetável Azithromycine 2 mg/ml
injetável Ondansetron hydrochloride 2 mg/ml
cloreto de sódio 0,9% 1800
Compatível
injetável Azithromycine 100 mg/ml
injetável Paracetamol 10 mg/ml
4742
Precipitação imediata Incompatível
injetável Azithromycine 2 mg/ml
injetável Piperacillin sodium / tazobactam 112.5 mg/ml
cloreto de sódio 0,9% 1800
Compatível
injetável Azithromycine 2 mg/ml
injetável Plazomicin sulfate 24 mg/ml
cloreto de sódio 0,9% 4145
Precipitação imediata Incompatível
injetável Azithromycine 50 mg/ml
injetável Salbutamol sulfate 1 mg/ml
nenhum 3216
Compatível
injetável Azithromycine 2 mg/ml
injetável Sulbactam/durlobactam 15/15 mg/ml
cloreto de sódio 0,9% 4801
Compatível
injetável Azithromycine 2 mg/ml
injetável Tedizolid phosphate 0.8 mg/ml
cloreto de sódio 0,9% 3827
Compatível
injetável Azithromycine 2 mg/ml
injetável Telavancin hydrochloride 7.5 mg/ml
Glucose 5% 3254
Compatível
injetável Azithromycine 2 mg/ml
injetável Telavancin hydrochloride 7.5 mg/ml
cloreto de sódio 0,9% 3254
Compatível
injetável Azithromycine 2 mg/ml
injetável Telavancin hydrochloride 7.5 mg/ml
Ringer lactato 3254
Precipitação imediata Incompatível
injetável Azithromycine 100 mg/ml
injetável Thiopental sodium 25 mg/ml
cloreto de sódio 0,9% 3767
Precipitação imediata Incompatível
injetável Azithromycine 2 mg/ml
injetável Ticarcillin / clavulanic acid 103.3 mg/ml
cloreto de sódio 0,9% 1800
Precipitação imediata Incompatível
injetável Azithromycine 2 mg/ml
injetável Tobramycin sulfate 21 mg/ml
cloreto de sódio 0,9% 1800

  Mentions Légales