Son güncelleme :
27/04/2026
Antibiyotik   Azithromycine  
Enjeksiyon
Merhem
Çözeltilerin stabilitesi Karışımlardaki stabilitesi Stabiliteyi etkileyen faktörler Uyumluluk Uygulama yöntemi Kaynaklar pdf
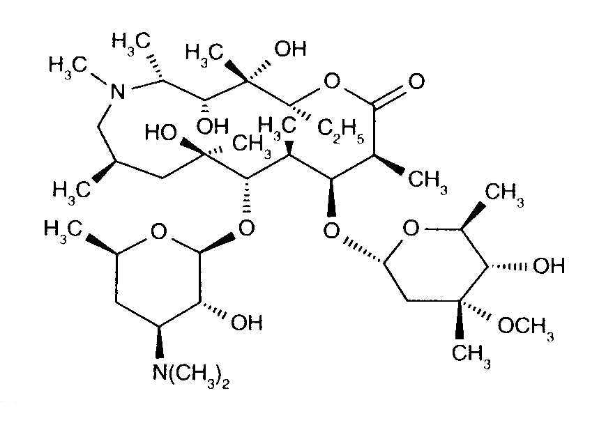
   Kimyasal yapı   

Ticari isim   Ticari isim     

Trade names are indicative and excipients composition can be different depending on the country and manufacturers

Azithromycin Kanada
Azithromycina Ekvador
Azithromycine Dr Erbeth Almanya
Azitromax İsveç
Sumamed Macaristan, Polonya
Zaret Kolombiya
Zedbac Büyük Britanya, İrlanda
Zetamac Çek Cumhuriyeti
Zithromac Japonya
Zithromax Amerika Birleşik Devletleri, Avustralya, Birleşik Arap Emirlikleri, Finlandiya, Kanada, Malezya, Mısır, Portekiz, Şili, Suudi Arabistan
Uyumluluk   Enjeksiyon    Uyumluluk : Azithromycine              
Bu ekran, bu durumda uyumsuzluk tipiyle (çökelme, renk değişimi, bir emülsiyonun modifikasyonu, vb.) Uyumlulukları veya uyumsuzlukları gösterir. Burada gösterilen uyumluluklar çoğunlukla yalnızca fizikseldir ve her molekülün kimyasal stabilitesi nadiren değerlendirilir. Bu karışımların değerlendirilmesi, hastaya Y bölgesi uygulama olasılığını göz önünde bulundurmak için çalışıldı. Bu veriler önceden torba veya şırıngalarda karışım yapmak için kullanılamaz. Bu tür bilgiler "Karışımda stabilite" ekranında mevcuttur.
Bileşik Çözücü Kaynaklar
Uyumlu
Enjeksiyon Azithromycine 100 mg/ml
Enjeksiyon Amoxicillin sodium / clavulanic acid 100/10 mg/ml
3824
Uyumlu
Enjeksiyon Azithromycine 2 mg/ml
Enjeksiyon Bivalirudin 5 mg/ml
Glukoz %5 1713
Uyumlu
Enjeksiyon Azithromycine 500 mg/ml
Laktatlı ringer 4603
Acil yağış uyumsuz
Enjeksiyon Azithromycine 2 mg/ml
Enjeksiyon Amikacin sulfate 100 mg/ml
Sodyum klorür % 0,9 1800
Acil yağış uyumsuz
Enjeksiyon Azithromycine 2 mg/ml
Enjeksiyon Aztreonam 200 mg/ml
Sodyum klorür % 0,9 1800
Uyumlu
Enjeksiyon Azithromycine 100 mg/ml
Enjeksiyon Caffeine 10 mg/ml
Yok 3964
Uyumlu
Enjeksiyon Azithromycine 2 mg/ml
Enjeksiyon Caspofungin acetate 0.5 mg/ml
Sodyum klorür % 0,9 2233
Uyumlu
Enjeksiyon Azithromycine 2 mg/ml
Enjeksiyon Cefiderocol sulfate tosylate 20 mg/mL
Sodyum klorür % 0,9 4528
Uyumlu
Enjeksiyon Azithromycine 2 mg/ml
Enjeksiyon Cefiderocol sulfate tosylate 20 mg/mL
Glukoz %5 4528
Acil yağış uyumsuz
Enjeksiyon Azithromycine 2 mg/ml
Enjeksiyon Cefotaxime sodium 200 mg/ml
Sodyum klorür % 0,9 1800
Uyumlu
Enjeksiyon Azithromycine 2 mg/ml
Enjeksiyon Ceftaroline fosamil 2,22 mg/ml
Glukoz %5 3249
Uyumlu
Enjeksiyon Azithromycine 2 mg/ml
Enjeksiyon Ceftaroline fosamil 2,22 mg/ml
Sodyum klorür % 0,9 3249
Uyumlu
Enjeksiyon Azithromycine 2 mg/ml
Enjeksiyon Ceftaroline fosamil 2,22 mg/ml
Laktatlı ringer 3249
Acil yağış uyumsuz
Enjeksiyon Azithromycine 2 mg/ml
Enjeksiyon Ceftazidime 80 mg/ml
Sodyum klorür % 0,9 1800
Uyumlu
Enjeksiyon Azithromycine 2 mg/ml
Enjeksiyon Ceftobiprole medocaril sodium 2 mg/ml
Sodyum klorür % 0,9 2269
Uyumlu
Enjeksiyon Azithromycine 2 mg/ml
Enjeksiyon Ceftobiprole medocaril sodium 2 mg/ml
Laktatlı ringer 2269
Uyumlu
Enjeksiyon Azithromycine 2 mg/ml
Enjeksiyon Ceftobiprole medocaril sodium 2 mg/ml
Glukoz %5 2269
Uyumlu
Enjeksiyon Azithromycine 2 mg/ml
Enjeksiyon Ceftolozane / tazobactam 10/5 mg/ml
Sodyum klorür % 0,9 3828
Uyumlu
Enjeksiyon Azithromycine 2 mg/ml
Enjeksiyon Ceftolozane / tazobactam 10/5 mg/ml
Glukoz %5 3828
Acil yağış uyumsuz
Enjeksiyon Azithromycine 2 mg/ml
Enjeksiyon Ceftriaxone disodium 66.7 mg/ml
Sodyum klorür % 0,9 1800
Acil yağış uyumsuz
Enjeksiyon Azithromycine 2 mg/ml
Enjeksiyon Cefuroxime sodium 100 mg/ml
Sodyum klorür % 0,9 1800
Acil yağış uyumsuz
Enjeksiyon Azithromycine 2 mg/ml
Enjeksiyon Ciprofloxacin lactate 2 mg/ml
Sodyum klorür % 0,9 1800
Acil yağış uyumsuz
Enjeksiyon Azithromycine 2 mg/ml
Enjeksiyon Clindamycin phosphate 30 mg/ml
Sodyum klorür % 0,9 1800
Acil yağış uyumsuz
Enjeksiyon Azithromycine 100 mg/ml
Enjeksiyon Cloxacillin sodium 100 mg/ml
Enjeksiyonluk su 3012
Uyumlu
Enjeksiyon Azithromycine 2 mg/ml
Enjeksiyon Dexmedetomidine 4 µg/ml
Sodyum klorür % 0,9 1712
Uyumlu
Enjeksiyon Azithromycine 2 mg/ml
Enjeksiyon Diphenhydramine hydrochloride 50 mg/ml
Sodyum klorür % 0,9 1800
Uyumlu
Enjeksiyon Azithromycine 2 mg/ml
Enjeksiyon Dolasetron mesylate 20 mg/ml
Sodyum klorür % 0,9 1800
Uyumlu
Enjeksiyon Azithromycine 2 mg/ml
Enjeksiyon Doripenem 5 mg/ml
Glukoz %5 2262
Uyumlu
Enjeksiyon Azithromycine 2 mg/ml
Enjeksiyon Doripenem 5 mg/ml
Sodyum klorür % 0,9 2262
Uyumlu
Enjeksiyon Azithromycine 2 mg/ml
Enjeksiyon Droperidol 2.5 mg/ml
Sodyum klorür % 0,9 1800
Acil yağış uyumsuz
Enjeksiyon Azithromycine 2 mg/ml
Enjeksiyon Famotidine 2 mg/ml
Sodyum klorür % 0,9 1800
Uyumlu
Enjeksiyon Azithromycine 2 mg/ml
Enjeksiyon Fenoldopam mesylate 80 µg/ml
Sodyum klorür % 0,9 1803
Acil yağış uyumsuz
Enjeksiyon Azithromycine 2 mg/ml
Enjeksiyon Fentanyl citrate 50 µg/ml
Sodyum klorür % 0,9 1800
Uyumlu
Enjeksiyon Azithromycine 2 mg/ml
Enjeksiyon Fosfomycin 30 mg/ml
Sodyum klorür % 0,9 4055
Uyumlu
Enjeksiyon Azithromycine 2 mg/ml
Enjeksiyon Fosfomycin 30 mg/ml
Glukoz %5 4055
Acil yağış uyumsuz
Enjeksiyon Azithromycine 2 mg/ml
Enjeksiyon Furosemide 10 mg/ml
Sodyum klorür % 0,9 1800
Acil yağış uyumsuz
Enjeksiyon Azithromycine 2 mg/ml
Enjeksiyon Gentamicin sulfate 21 mg/ml
Sodyum klorür % 0,9 1800
Uyumlu
Enjeksiyon Azithromycine 2 mg/ml
Enjeksiyon Hetastarch 60 mg/ml
çözücü Özgül 1721
Acil yağış uyumsuz
Enjeksiyon Azithromycine 2 mg/ml
Enjeksiyon Imipenem - cilastatin sodium 5 mg/ml
Sodyum klorür % 0,9 1800
2 saatte bulanıklık uyumsuz
Enjeksiyon Azithromycine 2 mg/ml
Enjeksiyon Isavuconazonium sulfate 1.5 mg/ml
Glukoz %5 3829
Uyumlu
Enjeksiyon Azithromycine 2 mg/ml
Enjeksiyon Isavuconazonium sulfate 1.5 mg/ml
Sodyum klorür % 0,9 3829
Acil yağış uyumsuz
Enjeksiyon Azithromycine 2 mg/ml
Enjeksiyon Ketorolac tromethamine 15 mg/ml
Sodyum klorür % 0,9 1800
Acil yağış uyumsuz
Enjeksiyon Azithromycine 2 mg/ml
Enjeksiyon Levofloxacine 5 mg/ml
Sodyum klorür % 0,9 1800
Uyumlu
Enjeksiyon Azithromycine 100 mg/ml
Enjeksiyon Meropenem 50 mg/ml
Enjeksiyonluk su 4319
Acil yağış uyumsuz
Enjeksiyon Azithromycine 2 mg/ml
Enjeksiyon Morphine sulfate 1 mg/ml
Sodyum klorür % 0,9 1800
Uyumlu
Enjeksiyon Azithromycine 500 mg/ml
Enjeksiyon N-acetylcysteine 200 mg/ml
Yok 3766
Uyumlu
Enjeksiyon Azithromycine 500 mg/ml
Enjeksiyon Naloxone hydrochloride 0.4 mg/ml
Yok 3408
Uyumlu
Enjeksiyon Azithromycine 2 mg/ml
Enjeksiyon Ondansetron hydrochloride 2 mg/ml
Sodyum klorür % 0,9 1800
Uyumlu
Enjeksiyon Azithromycine 100 mg/ml
Enjeksiyon Paracetamol 10 mg/ml
4742
Acil yağış uyumsuz
Enjeksiyon Azithromycine 2 mg/ml
Enjeksiyon Piperacillin sodium / tazobactam 112.5 mg/ml
Sodyum klorür % 0,9 1800
Uyumlu
Enjeksiyon Azithromycine 2 mg/ml
Enjeksiyon Plazomicin sulfate 24 mg/ml
Sodyum klorür % 0,9 4145
Acil yağış uyumsuz
Enjeksiyon Azithromycine 50 mg/ml
Enjeksiyon Salbutamol sulfate 1 mg/ml
Yok 3216
Uyumlu
Enjeksiyon Azithromycine 2 mg/ml
Enjeksiyon Sulbactam/durlobactam 15/15 mg/ml
Sodyum klorür % 0,9 4801
Uyumlu
Enjeksiyon Azithromycine 2 mg/ml
Enjeksiyon Tedizolid phosphate 0.8 mg/ml
Sodyum klorür % 0,9 3827
Uyumlu
Enjeksiyon Azithromycine 2 mg/ml
Enjeksiyon Telavancin hydrochloride 7.5 mg/ml
Glukoz %5 3254
Uyumlu
Enjeksiyon Azithromycine 2 mg/ml
Enjeksiyon Telavancin hydrochloride 7.5 mg/ml
Sodyum klorür % 0,9 3254
Uyumlu
Enjeksiyon Azithromycine 2 mg/ml
Enjeksiyon Telavancin hydrochloride 7.5 mg/ml
Laktatlı ringer 3254
Acil yağış uyumsuz
Enjeksiyon Azithromycine 100 mg/ml
Enjeksiyon Thiopental sodium 25 mg/ml
Sodyum klorür % 0,9 3767
Acil yağış uyumsuz
Enjeksiyon Azithromycine 2 mg/ml
Enjeksiyon Ticarcillin / clavulanic acid 103.3 mg/ml
Sodyum klorür % 0,9 1800
Acil yağış uyumsuz
Enjeksiyon Azithromycine 2 mg/ml
Enjeksiyon Tobramycin sulfate 21 mg/ml
Sodyum klorür % 0,9 1800

  Mentions Légales