Viimeisin päivitys :
27/01/2026
Antibiootit   Azithromycine  
Injektioneste
Salvat
Stabilius liuoksessa Stabilius seoksissa Tekijät, jotka vaikuttavat stabiliuteen Yhteensopivuus Antotapa Viitteet pdf
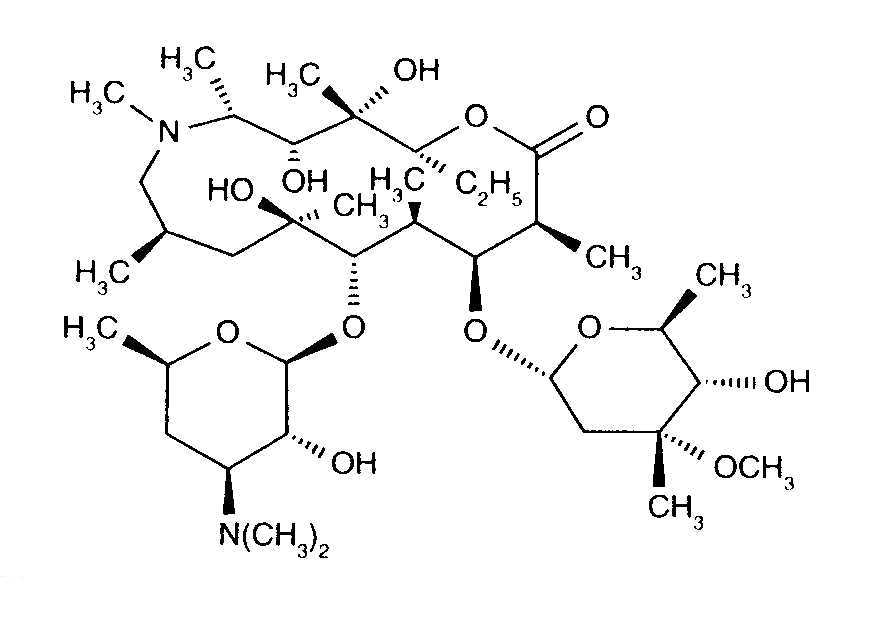
   Kemiallinen rakenne  

Kauppanimi   Kauppanimi     

Trade names are indicative and excipients composition can be different depending on the country and manufacturers

Azithromycin Kanada
Azithromycina Ecuador
Azithromycine Dr Erbeth Saksa
Azitromax Ruotsi
Sumamed Puola, Unkari
Zaret Kolumbia
Zedbac Irlanti, Iso-Britannia
Zetamac Tsekin tasavalta
Zithromac Japani
Zithromax Australia, Chile, Egypti, Kanada, Malesia, Portugali, Saudi-Arabia, Suomi, Yhdistyneet arabiemiirikunnat, Yhdysvallat
Yhteensopivuus   Injektioneste   Yhteensopivuus : Azithromycine              
Tämä näyttö osoittaa yhteensopivuuden tai yhteensopimattomuuden yhteensopimattomuuden tyypin kanssa (saostuminen, värinmuutos, emulsiomuutos jne.). Tässä esitetty yhteensopivuus on useimmissa tapauksissa vain fysikaalinen, ja kunkin molekyylin kemiallista stabiilisuutta arvioidaan harvoin. Näiden seosten arviointia tutkittiin mahdollisuuden antaa Y-kohta potilaalle. Näitä tietoja ei voida käyttää seosten valmistamiseen etukäteen pusseissa tai ruiskuissa. Tämäntyyppiset tiedot ovat saatavilla "Stabiilisuus seoksessa" -näytössä.
Yhdiste Liuotin Viitteet
Yhteensopiva
Injektioneste Azithromycine 100 mg/ml
Injektioneste Amoxicillin sodium / clavulanic acid 100/10 mg/ml
3824
Yhteensopiva
Injektioneste Azithromycine 2 mg/ml
Injektioneste Bivalirudin 5 mg/ml
Glukoosi 5% 1713
Yhteensopiva
Injektioneste Azithromycine 500 mg/ml
Ringerlaktaattiliuos 4603
Välittömät sateet yhteensopimaton
Injektioneste Azithromycine 2 mg/ml
Injektioneste Amikacin sulfate 100 mg/ml
Natriumkloridi 0,9% 1800
Välittömät sateet yhteensopimaton
Injektioneste Azithromycine 2 mg/ml
Injektioneste Aztreonam 200 mg/ml
Natriumkloridi 0,9% 1800
Yhteensopiva
Injektioneste Azithromycine 100 mg/ml
Injektioneste Caffeine 10 mg/ml
Ei mikään 3964
Yhteensopiva
Injektioneste Azithromycine 2 mg/ml
Injektioneste Caspofungin acetate 0.5 mg/ml
Natriumkloridi 0,9% 2233
Yhteensopiva
Injektioneste Azithromycine 2 mg/ml
Injektioneste Cefiderocol sulfate tosylate 20 mg/mL
Natriumkloridi 0,9% 4528
Yhteensopiva
Injektioneste Azithromycine 2 mg/ml
Injektioneste Cefiderocol sulfate tosylate 20 mg/mL
Glukoosi 5% 4528
Välittömät sateet yhteensopimaton
Injektioneste Azithromycine 2 mg/ml
Injektioneste Cefotaxime sodium 200 mg/ml
Natriumkloridi 0,9% 1800
Yhteensopiva
Injektioneste Azithromycine 2 mg/ml
Injektioneste Ceftaroline fosamil 2,22 mg/ml
Glukoosi 5% 3249
Yhteensopiva
Injektioneste Azithromycine 2 mg/ml
Injektioneste Ceftaroline fosamil 2,22 mg/ml
Natriumkloridi 0,9% 3249
Yhteensopiva
Injektioneste Azithromycine 2 mg/ml
Injektioneste Ceftaroline fosamil 2,22 mg/ml
Ringerlaktaattiliuos 3249
Välittömät sateet yhteensopimaton
Injektioneste Azithromycine 2 mg/ml
Injektioneste Ceftazidime 80 mg/ml
Natriumkloridi 0,9% 1800
Yhteensopiva
Injektioneste Azithromycine 2 mg/ml
Injektioneste Ceftobiprole medocaril sodium 2 mg/ml
Natriumkloridi 0,9% 2269
Yhteensopiva
Injektioneste Azithromycine 2 mg/ml
Injektioneste Ceftobiprole medocaril sodium 2 mg/ml
Ringerlaktaattiliuos 2269
Yhteensopiva
Injektioneste Azithromycine 2 mg/ml
Injektioneste Ceftobiprole medocaril sodium 2 mg/ml
Glukoosi 5% 2269
Yhteensopiva
Injektioneste Azithromycine 2 mg/ml
Injektioneste Ceftolozane / tazobactam 10/5 mg/ml
Natriumkloridi 0,9% 3828
Yhteensopiva
Injektioneste Azithromycine 2 mg/ml
Injektioneste Ceftolozane / tazobactam 10/5 mg/ml
Glukoosi 5% 3828
Välittömät sateet yhteensopimaton
Injektioneste Azithromycine 2 mg/ml
Injektioneste Ceftriaxone disodium 66.7 mg/ml
Natriumkloridi 0,9% 1800
Välittömät sateet yhteensopimaton
Injektioneste Azithromycine 2 mg/ml
Injektioneste Cefuroxime sodium 100 mg/ml
Natriumkloridi 0,9% 1800
Välittömät sateet yhteensopimaton
Injektioneste Azithromycine 2 mg/ml
Injektioneste Ciprofloxacin lactate 2 mg/ml
Natriumkloridi 0,9% 1800
Välittömät sateet yhteensopimaton
Injektioneste Azithromycine 2 mg/ml
Injektioneste Clindamycin phosphate 30 mg/ml
Natriumkloridi 0,9% 1800
Välittömät sateet yhteensopimaton
Injektioneste Azithromycine 100 mg/ml
Injektioneste Cloxacillin sodium 100 mg/ml
Injektionesteisiin käytettävä vesi 3012
Yhteensopiva
Injektioneste Azithromycine 2 mg/ml
Injektioneste Dexmedetomidine 4 µg/ml
Natriumkloridi 0,9% 1712
Yhteensopiva
Injektioneste Azithromycine 2 mg/ml
Injektioneste Diphenhydramine hydrochloride 50 mg/ml
Natriumkloridi 0,9% 1800
Yhteensopiva
Injektioneste Azithromycine 2 mg/ml
Injektioneste Dolasetron mesylate 20 mg/ml
Natriumkloridi 0,9% 1800
Yhteensopiva
Injektioneste Azithromycine 2 mg/ml
Injektioneste Doripenem 5 mg/ml
Glukoosi 5% 2262
Yhteensopiva
Injektioneste Azithromycine 2 mg/ml
Injektioneste Doripenem 5 mg/ml
Natriumkloridi 0,9% 2262
Yhteensopiva
Injektioneste Azithromycine 2 mg/ml
Injektioneste Droperidol 2.5 mg/ml
Natriumkloridi 0,9% 1800
Välittömät sateet yhteensopimaton
Injektioneste Azithromycine 2 mg/ml
Injektioneste Famotidine 2 mg/ml
Natriumkloridi 0,9% 1800
Yhteensopiva
Injektioneste Azithromycine 2 mg/ml
Injektioneste Fenoldopam mesylate 80 µg/ml
Natriumkloridi 0,9% 1803
Välittömät sateet yhteensopimaton
Injektioneste Azithromycine 2 mg/ml
Injektioneste Fentanyl citrate 50 µg/ml
Natriumkloridi 0,9% 1800
Yhteensopiva
Injektioneste Azithromycine 2 mg/ml
Injektioneste Fosfomycin 30 mg/ml
Natriumkloridi 0,9% 4055
Yhteensopiva
Injektioneste Azithromycine 2 mg/ml
Injektioneste Fosfomycin 30 mg/ml
Glukoosi 5% 4055
Välittömät sateet yhteensopimaton
Injektioneste Azithromycine 2 mg/ml
Injektioneste Furosemide 10 mg/ml
Natriumkloridi 0,9% 1800
Välittömät sateet yhteensopimaton
Injektioneste Azithromycine 2 mg/ml
Injektioneste Gentamicin sulfate 21 mg/ml
Natriumkloridi 0,9% 1800
Yhteensopiva
Injektioneste Azithromycine 2 mg/ml
Injektioneste Hetastarch 60 mg/ml
spesifiseen liuottimeen 1721
Välittömät sateet yhteensopimaton
Injektioneste Azithromycine 2 mg/ml
Injektioneste Imipenem - cilastatin sodium 5 mg/ml
Natriumkloridi 0,9% 1800
Sameus 2 tunnissa yhteensopimaton
Injektioneste Azithromycine 2 mg/ml
Injektioneste Isavuconazonium sulfate 1.5 mg/ml
Glukoosi 5% 3829
Yhteensopiva
Injektioneste Azithromycine 2 mg/ml
Injektioneste Isavuconazonium sulfate 1.5 mg/ml
Natriumkloridi 0,9% 3829
Välittömät sateet yhteensopimaton
Injektioneste Azithromycine 2 mg/ml
Injektioneste Ketorolac tromethamine 15 mg/ml
Natriumkloridi 0,9% 1800
Välittömät sateet yhteensopimaton
Injektioneste Azithromycine 2 mg/ml
Injektioneste Levofloxacine 5 mg/ml
Natriumkloridi 0,9% 1800
Yhteensopiva
Injektioneste Azithromycine 100 mg/ml
Injektioneste Meropenem 50 mg/ml
Injektionesteisiin käytettävä vesi 4319
Välittömät sateet yhteensopimaton
Injektioneste Azithromycine 2 mg/ml
Injektioneste Morphine sulfate 1 mg/ml
Natriumkloridi 0,9% 1800
Yhteensopiva
Injektioneste Azithromycine 500 mg/ml
Injektioneste N-acetylcysteine 200 mg/ml
Ei mikään 3766
Yhteensopiva
Injektioneste Azithromycine 500 mg/ml
Injektioneste Naloxone hydrochloride 0.4 mg/ml
Ei mikään 3408
Yhteensopiva
Injektioneste Azithromycine 2 mg/ml
Injektioneste Ondansetron hydrochloride 2 mg/ml
Natriumkloridi 0,9% 1800
Yhteensopiva
Injektioneste Azithromycine 100 mg/ml
Injektioneste Paracetamol 10 mg/ml
4742
Välittömät sateet yhteensopimaton
Injektioneste Azithromycine 2 mg/ml
Injektioneste Piperacillin sodium / tazobactam 112.5 mg/ml
Natriumkloridi 0,9% 1800
Yhteensopiva
Injektioneste Azithromycine 2 mg/ml
Injektioneste Plazomicin sulfate 24 mg/ml
Natriumkloridi 0,9% 4145
Välittömät sateet yhteensopimaton
Injektioneste Azithromycine 50 mg/ml
Injektioneste Salbutamol sulfate 1 mg/ml
Ei mikään 3216
Yhteensopiva
Injektioneste Azithromycine 2 mg/ml
Injektioneste Sulbactam/durlobactam 15/15 mg/ml
Natriumkloridi 0,9% 4801
Yhteensopiva
Injektioneste Azithromycine 2 mg/ml
Injektioneste Tedizolid phosphate 0.8 mg/ml
Natriumkloridi 0,9% 3827
Yhteensopiva
Injektioneste Azithromycine 2 mg/ml
Injektioneste Telavancin hydrochloride 7.5 mg/ml
Glukoosi 5% 3254
Yhteensopiva
Injektioneste Azithromycine 2 mg/ml
Injektioneste Telavancin hydrochloride 7.5 mg/ml
Natriumkloridi 0,9% 3254
Yhteensopiva
Injektioneste Azithromycine 2 mg/ml
Injektioneste Telavancin hydrochloride 7.5 mg/ml
Ringerlaktaattiliuos 3254
Välittömät sateet yhteensopimaton
Injektioneste Azithromycine 100 mg/ml
Injektioneste Thiopental sodium 25 mg/ml
Natriumkloridi 0,9% 3767
Välittömät sateet yhteensopimaton
Injektioneste Azithromycine 2 mg/ml
Injektioneste Ticarcillin / clavulanic acid 103.3 mg/ml
Natriumkloridi 0,9% 1800
Välittömät sateet yhteensopimaton
Injektioneste Azithromycine 2 mg/ml
Injektioneste Tobramycin sulfate 21 mg/ml
Natriumkloridi 0,9% 1800

  Mentions Légales