Ultimo aggiornamento :
27/04/2026
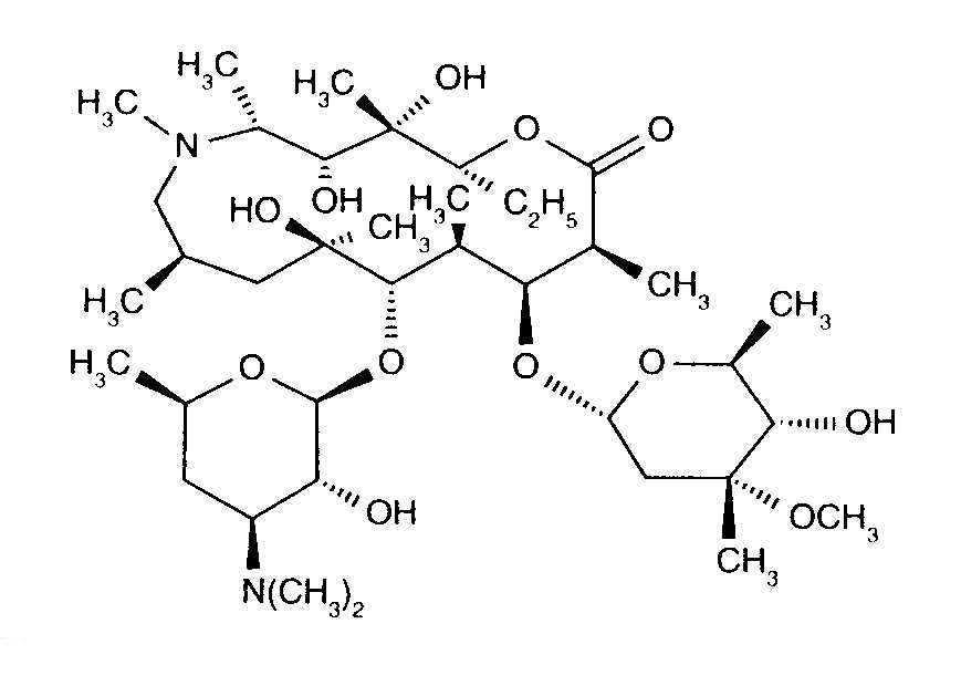
Antibiotico   Azithromycine  
Iniezione
Unguenti
Stabilità in soluzione Stabilità in miscela Fattori che influenzano la stabilità Compatibilità metodo di iniezione Bibliografia pdf
   Struttura chimica  

Nome commerciale   Nome commerciale     

Trade names are indicative and excipients composition can be different depending on the country and manufacturers

Azithromycin Canada
Azithromycina Ecuador
Azithromycine Dr Erbeth Germania
Azitromax Svezia
Sumamed Polonia, Ungheria
Zaret Colombia
Zedbac Gran Bretagna, Irlanda
Zetamac Repubblica Ceca
Zithromac Giappone
Zithromax Arabia Saudita, Australia, Canada, Chile, Egitto, Emirati Arabi Uniti, Finlandia, Malaysia, Portogallo, Stati Uniti d’America
Compatibilità   Iniezione   Compatibilità : Azithromycine              
explication_incompatibilite_molecules
Molecola Solvente Bibliografia
Compatibile
Iniezione Azithromycine 100 mg/ml
Iniezione Amoxicillin sodium / clavulanic acid 100/10 mg/ml
3824
Compatibile
Iniezione Azithromycine 2 mg/ml
Iniezione Bivalirudin 5 mg/ml
Glucosio 5% 1713
Compatibile
Iniezione Azithromycine 500 mg/ml
Ringer lattato 4603
Precipitazioni immediate Incompatibile
Iniezione Azithromycine 2 mg/ml
Iniezione Amikacin sulfate 100 mg/ml
Cloruro di sodio 0,9% 1800
Precipitazioni immediate Incompatibile
Iniezione Azithromycine 2 mg/ml
Iniezione Aztreonam 200 mg/ml
Cloruro di sodio 0,9% 1800
Compatibile
Iniezione Azithromycine 100 mg/ml
Iniezione Caffeine 10 mg/ml
Nessuno 3964
Compatibile
Iniezione Azithromycine 2 mg/ml
Iniezione Caspofungin acetate 0.5 mg/ml
Cloruro di sodio 0,9% 2233
Compatibile
Iniezione Azithromycine 2 mg/ml
Iniezione Cefiderocol sulfate tosylate 20 mg/mL
Cloruro di sodio 0,9% 4528
Compatibile
Iniezione Azithromycine 2 mg/ml
Iniezione Cefiderocol sulfate tosylate 20 mg/mL
Glucosio 5% 4528
Precipitazioni immediate Incompatibile
Iniezione Azithromycine 2 mg/ml
Iniezione Cefotaxime sodium 200 mg/ml
Cloruro di sodio 0,9% 1800
Compatibile
Iniezione Azithromycine 2 mg/ml
Iniezione Ceftaroline fosamil 2,22 mg/ml
Glucosio 5% 3249
Compatibile
Iniezione Azithromycine 2 mg/ml
Iniezione Ceftaroline fosamil 2,22 mg/ml
Cloruro di sodio 0,9% 3249
Compatibile
Iniezione Azithromycine 2 mg/ml
Iniezione Ceftaroline fosamil 2,22 mg/ml
Ringer lattato 3249
Precipitazioni immediate Incompatibile
Iniezione Azithromycine 2 mg/ml
Iniezione Ceftazidime 80 mg/ml
Cloruro di sodio 0,9% 1800
Compatibile
Iniezione Azithromycine 2 mg/ml
Iniezione Ceftobiprole medocaril sodium 2 mg/ml
Cloruro di sodio 0,9% 2269
Compatibile
Iniezione Azithromycine 2 mg/ml
Iniezione Ceftobiprole medocaril sodium 2 mg/ml
Ringer lattato 2269
Compatibile
Iniezione Azithromycine 2 mg/ml
Iniezione Ceftobiprole medocaril sodium 2 mg/ml
Glucosio 5% 2269
Compatibile
Iniezione Azithromycine 2 mg/ml
Iniezione Ceftolozane / tazobactam 10/5 mg/ml
Cloruro di sodio 0,9% 3828
Compatibile
Iniezione Azithromycine 2 mg/ml
Iniezione Ceftolozane / tazobactam 10/5 mg/ml
Glucosio 5% 3828
Precipitazioni immediate Incompatibile
Iniezione Azithromycine 2 mg/ml
Iniezione Ceftriaxone disodium 66.7 mg/ml
Cloruro di sodio 0,9% 1800
Precipitazioni immediate Incompatibile
Iniezione Azithromycine 2 mg/ml
Iniezione Cefuroxime sodium 100 mg/ml
Cloruro di sodio 0,9% 1800
Precipitazioni immediate Incompatibile
Iniezione Azithromycine 2 mg/ml
Iniezione Ciprofloxacin lactate 2 mg/ml
Cloruro di sodio 0,9% 1800
Precipitazioni immediate Incompatibile
Iniezione Azithromycine 2 mg/ml
Iniezione Clindamycin phosphate 30 mg/ml
Cloruro di sodio 0,9% 1800
Precipitazioni immediate Incompatibile
Iniezione Azithromycine 100 mg/ml
Iniezione Cloxacillin sodium 100 mg/ml
Acqua per preparato iniettabile 3012
Compatibile
Iniezione Azithromycine 2 mg/ml
Iniezione Dexmedetomidine 4 µg/ml
Cloruro di sodio 0,9% 1712
Compatibile
Iniezione Azithromycine 2 mg/ml
Iniezione Diphenhydramine hydrochloride 50 mg/ml
Cloruro di sodio 0,9% 1800
Compatibile
Iniezione Azithromycine 2 mg/ml
Iniezione Dolasetron mesylate 20 mg/ml
Cloruro di sodio 0,9% 1800
Compatibile
Iniezione Azithromycine 2 mg/ml
Iniezione Doripenem 5 mg/ml
Glucosio 5% 2262
Compatibile
Iniezione Azithromycine 2 mg/ml
Iniezione Doripenem 5 mg/ml
Cloruro di sodio 0,9% 2262
Compatibile
Iniezione Azithromycine 2 mg/ml
Iniezione Droperidol 2.5 mg/ml
Cloruro di sodio 0,9% 1800
Precipitazioni immediate Incompatibile
Iniezione Azithromycine 2 mg/ml
Iniezione Famotidine 2 mg/ml
Cloruro di sodio 0,9% 1800
Compatibile
Iniezione Azithromycine 2 mg/ml
Iniezione Fenoldopam mesylate 80 µg/ml
Cloruro di sodio 0,9% 1803
Precipitazioni immediate Incompatibile
Iniezione Azithromycine 2 mg/ml
Iniezione Fentanyl citrate 50 µg/ml
Cloruro di sodio 0,9% 1800
Compatibile
Iniezione Azithromycine 2 mg/ml
Iniezione Fosfomycin 30 mg/ml
Cloruro di sodio 0,9% 4055
Compatibile
Iniezione Azithromycine 2 mg/ml
Iniezione Fosfomycin 30 mg/ml
Glucosio 5% 4055
Precipitazioni immediate Incompatibile
Iniezione Azithromycine 2 mg/ml
Iniezione Furosemide 10 mg/ml
Cloruro di sodio 0,9% 1800
Precipitazioni immediate Incompatibile
Iniezione Azithromycine 2 mg/ml
Iniezione Gentamicin sulfate 21 mg/ml
Cloruro di sodio 0,9% 1800
Compatibile
Iniezione Azithromycine 2 mg/ml
Iniezione Hetastarch 60 mg/ml
solvente specifico 1721
Precipitazioni immediate Incompatibile
Iniezione Azithromycine 2 mg/ml
Iniezione Imipenem - cilastatin sodium 5 mg/ml
Cloruro di sodio 0,9% 1800
Torbidità in 2 ore Incompatibile
Iniezione Azithromycine 2 mg/ml
Iniezione Isavuconazonium sulfate 1.5 mg/ml
Glucosio 5% 3829
Compatibile
Iniezione Azithromycine 2 mg/ml
Iniezione Isavuconazonium sulfate 1.5 mg/ml
Cloruro di sodio 0,9% 3829
Precipitazioni immediate Incompatibile
Iniezione Azithromycine 2 mg/ml
Iniezione Ketorolac tromethamine 15 mg/ml
Cloruro di sodio 0,9% 1800
Precipitazioni immediate Incompatibile
Iniezione Azithromycine 2 mg/ml
Iniezione Levofloxacine 5 mg/ml
Cloruro di sodio 0,9% 1800
Compatibile
Iniezione Azithromycine 100 mg/ml
Iniezione Meropenem 50 mg/ml
Acqua per preparato iniettabile 4319
Precipitazioni immediate Incompatibile
Iniezione Azithromycine 2 mg/ml
Iniezione Morphine sulfate 1 mg/ml
Cloruro di sodio 0,9% 1800
Compatibile
Iniezione Azithromycine 500 mg/ml
Iniezione N-acetylcysteine 200 mg/ml
Nessuno 3766
Compatibile
Iniezione Azithromycine 500 mg/ml
Iniezione Naloxone hydrochloride 0.4 mg/ml
Nessuno 3408
Compatibile
Iniezione Azithromycine 2 mg/ml
Iniezione Ondansetron hydrochloride 2 mg/ml
Cloruro di sodio 0,9% 1800
Compatibile
Iniezione Azithromycine 100 mg/ml
Iniezione Paracetamol 10 mg/ml
4742
Precipitazioni immediate Incompatibile
Iniezione Azithromycine 2 mg/ml
Iniezione Piperacillin sodium / tazobactam 112.5 mg/ml
Cloruro di sodio 0,9% 1800
Compatibile
Iniezione Azithromycine 2 mg/ml
Iniezione Plazomicin sulfate 24 mg/ml
Cloruro di sodio 0,9% 4145
Precipitazioni immediate Incompatibile
Iniezione Azithromycine 50 mg/ml
Iniezione Salbutamol sulfate 1 mg/ml
Nessuno 3216
Compatibile
Iniezione Azithromycine 2 mg/ml
Iniezione Sulbactam/durlobactam 15/15 mg/ml
Cloruro di sodio 0,9% 4801
Compatibile
Iniezione Azithromycine 2 mg/ml
Iniezione Tedizolid phosphate 0.8 mg/ml
Cloruro di sodio 0,9% 3827
Compatibile
Iniezione Azithromycine 2 mg/ml
Iniezione Telavancin hydrochloride 7.5 mg/ml
Glucosio 5% 3254
Compatibile
Iniezione Azithromycine 2 mg/ml
Iniezione Telavancin hydrochloride 7.5 mg/ml
Cloruro di sodio 0,9% 3254
Compatibile
Iniezione Azithromycine 2 mg/ml
Iniezione Telavancin hydrochloride 7.5 mg/ml
Ringer lattato 3254
Precipitazioni immediate Incompatibile
Iniezione Azithromycine 100 mg/ml
Iniezione Thiopental sodium 25 mg/ml
Cloruro di sodio 0,9% 3767
Precipitazioni immediate Incompatibile
Iniezione Azithromycine 2 mg/ml
Iniezione Ticarcillin / clavulanic acid 103.3 mg/ml
Cloruro di sodio 0,9% 1800
Precipitazioni immediate Incompatibile
Iniezione Azithromycine 2 mg/ml
Iniezione Tobramycin sulfate 21 mg/ml
Cloruro di sodio 0,9% 1800

  Mentions Légales