Dernière mise à jour :
27/04/2026
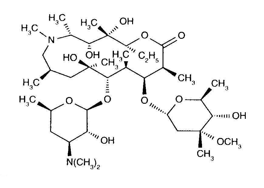
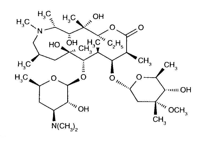
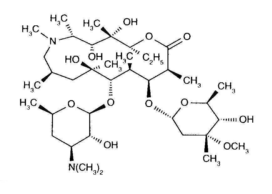
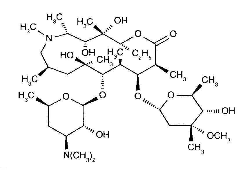
Antibiotique   Azithromycine  
injectable
Forme dermique
Stabilité des solutions Stabilité en mélange Facteur influençant la stabilité Compatibilités Voie d’administration Bibliographie pdf
   Structure chimique  

Noms commerciaux   Noms commerciaux     

Les noms commerciaux sont donnés à titre indicatif et la composition en excipients peut être différente selon les pays et selon les laboratoires

Azithromycin Canada
Azithromycina Equateur
Azithromycine Dr Erbeth Allemagne
Azitromax Suède
Sumamed Hongrie, Pologne
Zaret Colombie
Zedbac Grande Bretagne, Irlande
Zetamac Tchéquie
Zithromac Japon
Zithromax Arabie Saoudite, Australie, Canada, Chili, Egypte, Emirats Arabes Unis , Etats Unis d’Amérique, Finlande, Malaisie, Portugal
Compatibilités   injectable   Compatibilités : Azithromycine              
Cet écran indique les compatibilités ou incompatibilités avec, dans ce cas, le type d'incompatibilité (précipitation, changement de couleur, modification d'une émulsion, etc.). Les compatibilités présentées ici sont pour la plupart uniquement physiques, la stabilité chimique de chaque molécule étant rarement évaluée. L'évaluation de ces mélanges a été étudiée pour envisager la possibilité d'une administration en site Y au patient. Ces données ne peuvent pas être utilisées pour préparer des mélanges à l'avance dans des poches de perfusion ou des seringues. Ce type d'informations est disponible dans l'écran « Stabilité en mélange ».
Molécule Solvant Bibliographie
Compatible
injectable Azithromycine 100 mg/ml
injectable Amoxicillin sodium / clavulanic acid 100/10 mg/ml
3824
Compatible
injectable Azithromycine 2 mg/ml
injectable Bivalirudin 5 mg/ml
Glucose 5% 1713
Compatible
injectable Azithromycine 500 mg/ml
Ringer lactate 4603
Précipitation immédiate Incompatible
injectable Azithromycine 2 mg/ml
injectable Amikacin sulfate 100 mg/ml
Chlorure de sodium 0,9% 1800
Précipitation immédiate Incompatible
injectable Azithromycine 2 mg/ml
injectable Aztreonam 200 mg/ml
Chlorure de sodium 0,9% 1800
Compatible
injectable Azithromycine 100 mg/ml
injectable Caffeine 10 mg/ml
Aucun 3964
Compatible
injectable Azithromycine 2 mg/ml
injectable Caspofungin acetate 0.5 mg/ml
Chlorure de sodium 0,9% 2233
Compatible
injectable Azithromycine 2 mg/ml
injectable Cefiderocol sulfate tosylate 20 mg/mL
Chlorure de sodium 0,9% 4528
Compatible
injectable Azithromycine 2 mg/ml
injectable Cefiderocol sulfate tosylate 20 mg/mL
Glucose 5% 4528
Précipitation immédiate Incompatible
injectable Azithromycine 2 mg/ml
injectable Cefotaxime sodium 200 mg/ml
Chlorure de sodium 0,9% 1800
Compatible
injectable Azithromycine 2 mg/ml
injectable Ceftaroline fosamil 2,22 mg/ml
Glucose 5% 3249
Compatible
injectable Azithromycine 2 mg/ml
injectable Ceftaroline fosamil 2,22 mg/ml
Chlorure de sodium 0,9% 3249
Compatible
injectable Azithromycine 2 mg/ml
injectable Ceftaroline fosamil 2,22 mg/ml
Ringer lactate 3249
Précipitation immédiate Incompatible
injectable Azithromycine 2 mg/ml
injectable Ceftazidime 80 mg/ml
Chlorure de sodium 0,9% 1800
Compatible
injectable Azithromycine 2 mg/ml
injectable Ceftobiprole medocaril sodium 2 mg/ml
Chlorure de sodium 0,9% 2269
Compatible
injectable Azithromycine 2 mg/ml
injectable Ceftobiprole medocaril sodium 2 mg/ml
Ringer lactate 2269
Compatible
injectable Azithromycine 2 mg/ml
injectable Ceftobiprole medocaril sodium 2 mg/ml
Glucose 5% 2269
Compatible
injectable Azithromycine 2 mg/ml
injectable Ceftolozane / tazobactam 10/5 mg/ml
Chlorure de sodium 0,9% 3828
Compatible
injectable Azithromycine 2 mg/ml
injectable Ceftolozane / tazobactam 10/5 mg/ml
Glucose 5% 3828
Précipitation immédiate Incompatible
injectable Azithromycine 2 mg/ml
injectable Ceftriaxone disodium 66.7 mg/ml
Chlorure de sodium 0,9% 1800
Précipitation immédiate Incompatible
injectable Azithromycine 2 mg/ml
injectable Cefuroxime sodium 100 mg/ml
Chlorure de sodium 0,9% 1800
Précipitation immédiate Incompatible
injectable Azithromycine 2 mg/ml
injectable Ciprofloxacin lactate 2 mg/ml
Chlorure de sodium 0,9% 1800
Précipitation immédiate Incompatible
injectable Azithromycine 2 mg/ml
injectable Clindamycin phosphate 30 mg/ml
Chlorure de sodium 0,9% 1800
Précipitation immédiate Incompatible
injectable Azithromycine 100 mg/ml
injectable Cloxacillin sodium 100 mg/ml
Eau pour préparation injectable 3012
Compatible
injectable Azithromycine 2 mg/ml
injectable Dexmedetomidine 4 µg/ml
Chlorure de sodium 0,9% 1712
Compatible
injectable Azithromycine 2 mg/ml
injectable Diphenhydramine hydrochloride 50 mg/ml
Chlorure de sodium 0,9% 1800
Compatible
injectable Azithromycine 2 mg/ml
injectable Dolasetron mesylate 20 mg/ml
Chlorure de sodium 0,9% 1800
Compatible
injectable Azithromycine 2 mg/ml
injectable Doripenem 5 mg/ml
Glucose 5% 2262
Compatible
injectable Azithromycine 2 mg/ml
injectable Doripenem 5 mg/ml
Chlorure de sodium 0,9% 2262
Compatible
injectable Azithromycine 2 mg/ml
injectable Droperidol 2.5 mg/ml
Chlorure de sodium 0,9% 1800
Précipitation immédiate Incompatible
injectable Azithromycine 2 mg/ml
injectable Famotidine 2 mg/ml
Chlorure de sodium 0,9% 1800
Compatible
injectable Azithromycine 2 mg/ml
injectable Fenoldopam mesylate 80 µg/ml
Chlorure de sodium 0,9% 1803
Précipitation immédiate Incompatible
injectable Azithromycine 2 mg/ml
injectable Fentanyl citrate 50 µg/ml
Chlorure de sodium 0,9% 1800
Compatible
injectable Azithromycine 2 mg/ml
injectable Fosfomycin 30 mg/ml
Chlorure de sodium 0,9% 4055
Compatible
injectable Azithromycine 2 mg/ml
injectable Fosfomycin 30 mg/ml
Glucose 5% 4055
Précipitation immédiate Incompatible
injectable Azithromycine 2 mg/ml
injectable Furosemide 10 mg/ml
Chlorure de sodium 0,9% 1800
Précipitation immédiate Incompatible
injectable Azithromycine 2 mg/ml
injectable Gentamicin sulfate 21 mg/ml
Chlorure de sodium 0,9% 1800
Compatible
injectable Azithromycine 2 mg/ml
injectable Hetastarch 60 mg/ml
Solvant spécifique 1721
Précipitation immédiate Incompatible
injectable Azithromycine 2 mg/ml
injectable Imipenem - cilastatin sodium 5 mg/ml
Chlorure de sodium 0,9% 1800
Turbidité en 2 heures Incompatible
injectable Azithromycine 2 mg/ml
injectable Isavuconazonium sulfate 1.5 mg/ml
Glucose 5% 3829
Compatible
injectable Azithromycine 2 mg/ml
injectable Isavuconazonium sulfate 1.5 mg/ml
Chlorure de sodium 0,9% 3829
Précipitation immédiate Incompatible
injectable Azithromycine 2 mg/ml
injectable Ketorolac tromethamine 15 mg/ml
Chlorure de sodium 0,9% 1800
Précipitation immédiate Incompatible
injectable Azithromycine 2 mg/ml
injectable Levofloxacine 5 mg/ml
Chlorure de sodium 0,9% 1800
Compatible
injectable Azithromycine 100 mg/ml
injectable Meropenem 50 mg/ml
Eau pour préparation injectable 4319
Précipitation immédiate Incompatible
injectable Azithromycine 2 mg/ml
injectable Morphine sulfate 1 mg/ml
Chlorure de sodium 0,9% 1800
Compatible
injectable Azithromycine 500 mg/ml
injectable N-acetylcysteine 200 mg/ml
Aucun 3766
Compatible
injectable Azithromycine 500 mg/ml
injectable Naloxone hydrochloride 0.4 mg/ml
Aucun 3408
Compatible
injectable Azithromycine 2 mg/ml
injectable Ondansetron hydrochloride 2 mg/ml
Chlorure de sodium 0,9% 1800
Compatible
injectable Azithromycine 100 mg/ml
injectable Paracetamol 10 mg/ml
4742
Précipitation immédiate Incompatible
injectable Azithromycine 2 mg/ml
injectable Piperacillin sodium / tazobactam 112.5 mg/ml
Chlorure de sodium 0,9% 1800
Compatible
injectable Azithromycine 2 mg/ml
injectable Plazomicin sulfate 24 mg/ml
Chlorure de sodium 0,9% 4145
Précipitation immédiate Incompatible
injectable Azithromycine 50 mg/ml
injectable Salbutamol sulfate 1 mg/ml
Aucun 3216
Compatible
injectable Azithromycine 2 mg/ml
injectable Sulbactam/durlobactam 15/15 mg/ml
Chlorure de sodium 0,9% 4801
Compatible
injectable Azithromycine 2 mg/ml
injectable Tedizolid phosphate 0.8 mg/ml
Chlorure de sodium 0,9% 3827
Compatible
injectable Azithromycine 2 mg/ml
injectable Telavancin hydrochloride 7.5 mg/ml
Glucose 5% 3254
Compatible
injectable Azithromycine 2 mg/ml
injectable Telavancin hydrochloride 7.5 mg/ml
Chlorure de sodium 0,9% 3254
Compatible
injectable Azithromycine 2 mg/ml
injectable Telavancin hydrochloride 7.5 mg/ml
Ringer lactate 3254
Précipitation immédiate Incompatible
injectable Azithromycine 100 mg/ml
injectable Thiopental sodium 25 mg/ml
Chlorure de sodium 0,9% 3767
Précipitation immédiate Incompatible
injectable Azithromycine 2 mg/ml
injectable Ticarcillin / clavulanic acid 103.3 mg/ml
Chlorure de sodium 0,9% 1800
Précipitation immédiate Incompatible
injectable Azithromycine 2 mg/ml
injectable Tobramycin sulfate 21 mg/ml
Chlorure de sodium 0,9% 1800

  Mentions Légales