|
Type |
publikáció |
| 3 |
Napló |
Trissel LA, Martinez JF. Compatibility of amifostine with selected drugs during simulated Y-site administration. Am J Health-Syst Pharm 1995 ; 52: 2208-2212. |
| 5 |
Napló |
Stiles ML, Allen LV Jr, Prince SJ. Stability of deferoxamine mesylate, floxuridine, fluorouracil, hydromorphone hydrochloride, lorazepam, and midazolam hydrochloride in polypropylene infusion-pump syringes. Am J Health-Syst Pharm 1996 ; 53: 1583-1588. |
| 6 |
Napló |
Trissel LA, Xu QA, Martinez JF, Fox JL. Compatibility and stability of ondansetron hydrochloride with morphine sulfate and with hydromorphone hydrochloride in 0.9% sodium chloride injection at 4, 22 and 32°C. Am J Hosp Pharm 1994 ; 51: 2138-2142. |
| 9 |
Napló |
Walker SE, Lau DWC. Compatibility and stability of hyaluronidase and hydromorphone. Can J Hosp Pharm 1992 ; 45: 187-192. |
| 57 |
Napló |
Mayron D, Gennaro AR. Stability and compatibility of granisetron hydrochloride in IV solutions and oral liquids and during simulated Y-site injection with selected drugs. Am J Health-Syst Pharm 1996 ; 53: 294-304. |
| 58 |
Napló |
Parker WA. Physical compatibility of ranitidine HCl with preoperative injectable medications. Can J Hosp Pharm 1985 ; 38: 160-161. |
| 66 |
Napló |
Avelar MA, Walker SE. Stability and compatibility of reconstituted hydromorphone with potassium chloride or heparin. Can J Hosp Pharm 1996 ; 49: 140-145. |
| 73 |
Napló |
Lor E, Takagi J. Visual compatibility of foscarnet with other injectable drugs. Am J Hosp Pharm 1990 ; 47: 157-159. |
| 81 |
Napló |
Trissel LA, Martinez JF. Compatibility of piperacillin sodium plus tazobactam with selected drugs during simulated Y-site injection. Am J Hosp Pharm 1994 ; 51: 672-678. |
| 84 |
Napló |
Trissel LA, Martinez JF. Visual, turbidimetric, and particle-content assessment of compatibility of vinorelbine tartrate with selected drugs during simulated Y-site injection. Am J Hosp Pharm 1994 ; 51: 495-499. |
| 91 |
Napló |
Lober CA, Dollard PA. Visual compatibility of gallium nitrate with selected drugs during Y-site injection. Am J Hosp Pharm 1993 ; 50: 1208-1210. |
| 93 |
Napló |
Hutchings SR, Rusho WJ, Tyler LS. Compatibility of cefmetazole sodium with commonly used drugs during Y-site delivery. Am J Health-Syst Pharm 1996 ; 53: 2185-2188. |
| 99 |
Napló |
Trissel LA, Martinez JF. Compatibility of aztreonam with selected drugs during simulated Y-site administration. Am J Health-Syst Pharm 1995 ; 52: 1086-1090. |
| 120 |
Napló |
Walker SE, Coons C, Matte D, DeAngelis C, Iazzetta J, Kolos C, Birkhans B. Hydromorphone and morphine stability in portable infusion pump cassettes and minibags. Can J Hosp Pharm 1988 ; 41: 177-182. |
| 169 |
Napló |
Trissel LA, Martinez JF. Physical compatibility of melphalan with selected drugs during simulated Y-site administration. Am J Hosp Pharm 1993 ; 50: 2359-2363. |
| 182 |
Napló |
Trissel LA, Gilbert DL, Martinez JF. Compatibility of granisetron hydrochloride with selected drugs during simulated Y-site administration. Am J Health-Syst Pharm 1997 ; 54: 56-60. |
| 215 |
Napló |
Keyi X, Gagnon N, Bisson C, Desmarais M, LeBel M. Stability of famotidine in polyvinyl chloride minibags and polypropylene syringes and compatibility of famotidine with selected drugs. Ann Pharmacotherapy 1993 ; 27: 422-426. |
| 216 |
Napló |
Huang E, Anderson RP. Compatibility of hydromorphone hydrochloride with haloperidol lactate and ketorolac tromethamine. Am J Hosp Pharm 1994 ; 51: 2963. |
| 221 |
Napló |
Neels JT. Compatibility of bupivacaine hydrochloride with hydromorphone hydrochloride or morphine sulfate. Am J Hosp Pharm 1992 ; 49: 2149. |
| 226 |
Napló |
Walker SE, DeAngelis C, Iazzetta J. Stability and compatibility of combinations of hydromorphone and a second drug. Can J Hosp Pharm 1991 ; 44: 289-295. |
| 244 |
Napló |
Trissel LA, Martinez JF. Compatibility of filgrastim with selected drugs during simulated Y-site administration. Am J Hosp Pharm 1994 ; 51: 1907-1913. |
| 248 |
Napló |
Trissel LA, Martinez JF. Turbidimetric assessment of the compatibility of taxol with 42 other drugs during simulated Y-site injection. Am J Hosp Pharm 1993 ; 50: 300-304. |
| 249 |
Napló |
Trissel LA, Martinez JF. Compatibility of thiotepa (lyophilized) with selected drugs during simulated Y-site administration. Am J Health-Syst Pharm 1996 ; 53: 1041-1045. |
| 251 |
Napló |
Trissel LA, Gilbert DL, Martinez JF. Compatibility of doxorubicin hydrochloride liposome injection with selected other drugs during simulated Y-site administration. Am J Health-Syst Pharm 1997 ; 54: 2708-2713. |
| 253 |
Napló |
Trissel LA, Chandler SW, Folstad JT. Visual compatibility of amsacrine with selected drugs during simulated Y-site injection. Am J Hosp Pharm 1990 ; 47: 2525-2528. |
| 299 |
Napló |
Trissel LA, Martinez JF, Gilbert DL. Compatibility of cisatracurium besylate with selected drugs during simulated Y-site administration. Am J Health-Syst Pharm 1997 ; 54: 1735-1741. |
| 300 |
Napló |
Trissel LA, Gilbert DL, Martinez JF. Compatibility of propofol injectable emulsion with selected drugs during simulated Y-site administration. Am J Health-Syst Pharm 1997 ; 54: 1287-1292. |
| 301 |
Napló |
Trissel LA, Gilbert DL, Martinez JF, Baker MB, Walter WV, Mirtallo JM. Compatibility of parenteral nutrient solutions with selected drugs during simulated Y-site administration. Am J Health-Syst Pharm 1997 ; 54: 1295-1300. |
| 306 |
Napló |
Christen C, Johnson CE, Walters JR. Stability of bupivacaine hydrochloride and hydromorphone hydrochloride during simulated epidural coadministration. Am J Health-Syst Pharm 1996 ; 53: 170-173. |
| 307 |
Napló |
Trissel LA, Martinez JF. Compatibility of allopurinol sodium with selected drugs during simulated Y-site administration. Am J Hosp Pharm 1994 ; 51: 1792-1799. |
| 314 |
Napló |
Chiu MF, Schwartz ML. Visual compatibility of injectable drugs used in the intensive care unit. Am J Health-Syst Pharm 1997 ; 54: 64-65. |
| 334 |
Napló |
Trissel LA, Tramonte SM, Grilley BJ. Visual compatibility of ondansetron hydrochloride with selected drugs during simulated Y-site injection. Am J Hosp Pharm 1991 ; 48: 988-992. |
| 335 |
Napló |
Trissel LA, Bready BB, Kwan JW, Santiago NM. Visual compatibility of sargramostim with selected antineoplasic agents, anti-infectives, or other drugs during simulated Y-site injection. Am J Hosp Pharm 1992 ; 49: 402-406. |
| 336 |
Napló |
Forman JK, Lachs JR, Souney PF. Visual compatibility of acyclovir sodium with commonly used intravenous drugs during simulated Y-site injection. Am J Hosp Pharm 1987 ; 44: 1408-1409. |
| 345 |
Napló |
Walker SE, Meinders A, Tailor H. Stability and compatibility of reconstituted sterile hydromorphone with midazolam. Can J Hosp Pharm 1996 ; 49: 290-298. |
| 389 |
Napló |
Walker SE, DeAngelis C, Iazzetta J, Eppel JG. Compatibility of dexamethasone sodium phosphate with hydromorphone hydrochloride or diphenhydramine hydrochloride. Am J Hosp Pharm 1991 ; 48: 2161-2166. |
| 405 |
Napló |
Nieves-Cordero AL, Luciw HM, Souney PF. Compatibility of narcotic analgesic solutions with various antibiotics during simulated Y-site injection. Am J Hosp Pharm 1985 ; 42: 1108-1109. |
| 492 |
Napló |
Trissel LA, Parks NPT, Santiago NM. Visual compatibility of fludarabine phosphate with antineoplastic drugs, anti-infectives, and other selected drugs during simulated Y-site injection. Am J Hosp Pharm 1991 ; 48: 2186-2189. |
| 513 |
Napló |
Xu QA, Trissel LA, Martinez JF. Stability and compatibility of fluorouracil with morphine sulfate and hydromorphone hydrochloride. Ann Pharmacotherapy 1996 ; 30: 756-761. |
| 517 |
Napló |
Letourneau M. Visual compatibility of magnesium sulfate with narcotic analgesics. Am J Hosp Pharm 1992 ; 49: 838-839. |
| 767 |
Napló |
Trinkle R. Compatibility of hydromorphone and prochlorperazine, and irritation due to subcutaneous prochlorperazine infusion. Ann Pharmacotherapy 1997 ; 31: 789-790. |
| 795 |
Napló |
Henderson F. 21-day compatibility of hydromorphone hydrochloride and promethazine hydrochloride in a cassette. Am J Health-Syst Pharm 1996 ; 53: 2338-2339. |
| 814 |
Napló |
Johnson CE, VandenBussche HL, Chio CC, Jacobson PA. Stability of tacrolimus with morphine sulfate, hydromorphone hydrochloride, and ceftazidime during simulated intravenous coadministration. Am J Health-Syst Pharm 1999 ; 56: 164-169. |
| 905 |
Napló |
Trissel LA, Martinez JF. Screening teniposide for Y-site physical incompatibilities. Hosp Pharm 1994 ; 29: 1010-1017. |
| 921 |
Napló |
Trissel LA, Gilbert DL, Martinez JF. Incompatibility and compatibility of amphotericin B cholesteryl sulfate complex with selected other drugs during simulated Y-site administration. Hosp Pharm 1998 ; 33: 284-292. |
| 1057 |
Napló |
Cutie MR. Compatibility of verapamil hydrochloride injection with commonly used additives. Am J Hosp Pharm 1983 ; 40: 1205-1207. |
| 1410 |
Napló |
Trissel LA, Martinez JF, Simmons M. Compatibility of etoposide phosphate with selected drugs during simulated Y-site injection. J Am Pharm Assoc 1999 ; 39: 141-145. |
| 1415 |
Napló |
Trissel L.A, Gilbert D.L, Martinez J.F, Baker M.B, Walter W.V, Mirtallo J.M. Compatibility of medications with 3-in-1 parenteral nutrition admixtures. JPEN 1999 ; 23: 67-74. |
| 1423 |
Napló |
Trissel LA, Martinez JF, Gilbert DL. Compatibility of gemcitabine hyrochloride with 107 selected drugs during simulated Y-site injection. J Am Pharm Assoc 1999 ; 39: 514-518. |
| 1438 |
Napló |
Souney PF, Solomon MA, Stancher D. Visual compatibility of cimetidine hydrochloride wih common preoperative injectable medications. Am J Hosp Pharm 1984 ; 41: 1840-1841. |
| 1496 |
Napló |
Trissel LA, Martinez JF, Gilbert DL. Screening cladribine for Y-site physical compatibility with selected drugs. Hosp Pharm 1996 ; 31: 1425-1428. |
| 1497 |
Napló |
Walker SE, Iazetta J, DeAngelis C, Lau DWC. Stability and compatibility of combinations of hydromorphone and dimenhydrinate lorazepam or prochlorperazine. Can J Hosp Pharm 1993 ; 46: 61-65. |
| 1625 |
Napló |
Trissel LA, Saenz C, Williams YW, Ingram D. Incompatibilities of lansoprazole injection with other drugs during simulated Y-site coadministration. Int J Pharm Compound 2001 ; 5: 314-321. |
| 1662 |
Napló |
Trissel LA, Saenz CA, Ingram DS, Ogundele AB. Compatibility screening of oxaliplatin during simulated Y-site administration with other drugs. J Oncol Pharm Practice 2002 ; 8: 33-37. |
| 1706 |
Napló |
Trissel LA, Xu QA. Physical and chemical stability of hydromorphone hydrochloride 1.5 and 80 mg/ml packaged in plastic syringes. Int J Pharm Compound 2002 ; 6: 74-76. |
| 1712 |
Napló |
Trissel LA, Saenz CA. Compatibility screening of Precedex during simulated Y-site administration with other drugs. Int J Pharm Compound 2002 ; 6: 230-233. |
| 1713 |
Napló |
Trissel LA, Saenz CA. Compatibility screening of bivalirudin during simulated Y-site administration with other drugs. Int J Pharm Compound 2002 ; 6: 311-315. |
| 1721 |
Napló |
Trissel LA, Williams KY, Baker MB. Compatibility screening of Hextend during simulated Y-site administration with other drugs. Int J Pharm Compound 2001 ; 5: 69-72. |
| 1754 |
Napló |
Trissel LA, Gilbert DL, Wolkin AC. Compatibility of docetaxel with selected drugs during simulated Y-site administration. Int J Pharm Compound 1999 ; 3: 241-244. |
| 1803 |
Napló |
Trissel, LA, Saenz CA, Ogundele OB, Ingram D, Baker MB. Compatibility of fenoldopam mesylate with other drugs during simulated Y-site administration. Am J Health-Syst Pharm 2003 ; 60: 80-85. |
| 1867 |
Napló |
Hildebrand KR, Elsberry DE, Anderson VC. Stability and compatibility of hydromorphone hydrochloride in an implantable infusion system. J Pain Symptom Manage 2001 ; 22, 6: 1042-1047. |
| 1925 |
Napló |
Trissel LA , Williams KY, Gilbert DL. Compatibility screening of linezolid injection during simulated Y-site administration with other drugs and infusion solutions. J Am Pharm Assoc 2000 ; 40: 515-519. |
| 1931 |
Napló |
Donnely RF. Physical compatibility and chemical stability of bupivacaine and hydromorphone in polypropylene syringes. Can J Hosp Pharm 2004 ; 4: 230-235. |
| 1953 |
Napló |
Trissel LA, Saenz CA, Ogundele AB, Ingram DS. Physical compatibility of pemetrexed disodium with other drugs during simulated Y-site administration. Am J Health-Syst Pharm 2004 ; 61: 2289-2293. |
| 1974 |
Napló |
Chandler SW, Trissel LA, Weinstein SM Combined administration of opoids with selected drugs to manage pain and other cancer symptoms initial safety screening for compatibility. J Pain Symptom Manage 1996 ; 12, 3: 168-171. |
| 1982 |
Napló |
Trissel LA, Ogundele AB. Compatibility of anidulafungin with other drugs during simulated Y-site administration. Am J Health-Syst Pharm 2005 ; 62: 834-837. |
| 2087 |
Napló |
Ferreira E, Forest JM, Hildgen P. Compatibility of dimenhydrinate injectable by Y administration. Pharmactuel 2004 ; 37: 17-20. |
| 2090 |
Napló |
Pere H, Chasse V, Forest JM, Hildgen P. Compatibility of injectable pantoprazole in Y-site administration. Pharmactuel 2004 ; 37: 193-196. |
| 2108 |
Napló |
Trusley C, Kupiec TC, Trissel LA. Compatibility of micafungin injection with other drugs during simulated Y-site co-administration. Int J Pharm Compound 2006 ; 10: 230-232. |
| 2166 |
Napló |
Nassr S, Dubuc MC, Lavoie P, Brazier JL. HPLC-DAD methods for studying the stability of solutions containing hydromorphone, ketorolac, haloperidol, midazolam, famotidine, metoclopramide, dimenhydrinate and scopolamine. J Liquid Chrom Rel Technol 2003 ; 26, 17: 2909-2929. |
| 2196 |
Napló |
Trissel LA, Trusley C, Ben M, Kupiec TC. Physical and chemical stability of palonosetron hydrochloride with five opiate agonists during Y-site administration. Am J Health-Syst Pharm 2007 ; 64, 11: 1209-1213. |
| 2233 |
Napló |
Condie C.K, Tyler L.S, Barker B, Canann D.M. Visual compatibility of caspofungin acetate with commonly used drugs during simulated Y-site delivery Am J Health-Syst Pharm 2008 ; 65, 5: 454-457. |
| 2247 |
Napló |
Chan P, Heatherly K, Kupiec T.C, Trissel L.A. Compatibility of caspofungin acetate injection with other drugs during simulated Y-site coadministration. Int J Pharm Compound 2008 ; 12, 3: 276-278. |
| 2251 |
Napló |
Shields D, Montenegro R, Ragusa M. Chemical stability of admixtures combining ziconotide with morphine or hydromorphone during simulated intrathecal administration. Neuromodulation 2005 ; 8, 4: 257-263. |
| 2262 |
Napló |
Brammer MK, Chan P, Heatherly K, Trusley C, Kupiec TC, Trissel LA, Psathas PA, Gilmor T, Schaufelberger D. Compatibility of doripenem with other drugs during simulated Y-site administratioN Am J Health-Syst Pharm 2008 ; 65: 1261-1265. |
| 2269 |
Napló |
Chan P, Bishop A, Kupiec TC, Trissel LA, Gole D, Jimidar IM, Vermeersch H. Compatibility of ceftobiprole medocaril with selected drugs during simulated Y-site administration. Am J Health-Syst Pharm 2008 ; 65, 16: 1545-1551. |
| 2305 |
Napló |
Bianchi F, Ginggen A, Tardy Y. Stability and compatibility of drug mixtures in an implantable infusion system. Anaesthesia 2008 63, 9: 972-978. |
| 2335 |
Napló |
Canann D, Tyler L.S, Barker B, Condie C. Visual compatibility of i.v. medications routinely used in bone marrow transplant recipients Am J Health-Syst Pharm 2009 ; 66, 8: 727-729 |
| 2336 |
Napló |
Ensom M.H.H, Decarie D, Leung K, MontgomeryC Stability of Hydromorphone–Ketamine Solutions in Glass Bottles, Plastic Syringes, and IV Bags for Pediatric Use Can J Hosp Pharm 2009 ; 62, 2: 112-118. |
| 2364 |
poszter |
Müller S, Trittler R, Schubert R, Strehl E. Hydromorphone and dipyrone in PCA devices: Is still a therapy with hydromorphone? PharmSciFair 2009 |
| 2659 |
Napló |
Khondkar D, Chopra P, McArter JP, Rosen JA, Li SK. Chemical stability of hydromorphone hydrochloride in patient-controlled analgesia injector. Int J Pharm Compound 2010 ; 14, 2: 160-164. |
| 3012 |
Napló |
Sullivan T, Forrest J.M, Leclair G. Compatibility of Cloxacillin Sodium with Selected Intravenous Drugs During Simulated Y-Site Administration Hosp Pharm 2015 ; 50, 3: 214-220. |
| 3131 |
Napló |
Donnely RF, Wong K, Spencer J. Physical compatibility of high-concentration bupivacaine with hydromorphone, morphine and fentanyl. Can J Hosp Pharm 2010 ; 63, 2: 154-155. |
| 3184 |
Laboratórium |
Hyaluronidase (Hyalase®) - Summary of Product characteristics. CP Pharmaceuticals 2005 |
| 3216 |
Napló |
Legris ME, Valiquette ME, Lavoie A, Forest JM, Leclair G. Compatibilité physique par évaluation visuelle du salbutamol injectable lors de son administration en Y. Pharmactuel 2011 ; 44, 1 : 14-18 |
| 3249 |
Napló |
Singh BM, Dedhiya MG, Dinunzio J, Chan P, Kupiec TC, Trissel LA, Laudano JB. Compatibility of ceftaroline fosamil for injection with selected drugs during simulated Y-site administration. Am J Health-Syst Pharm 2011 ; 68: 2163-2169. |
| 3408 |
Napló |
Tollec S, Touzin K, Pelletier E, Forest J.M. Evaluation visuelle de la compatibilité physique de la naloxone avec d’autres médicaments intraveineux usuels. Pharmactuel 2013 ; 46, 1 : 16-21. |
| 3504 |
Laboratórium |
Parecoxib (Dynastat®) - Summary of Product Characteristics Pfizer 2012 |
| 3571 |
Napló |
Anderson C, Boehme S, Ouellette J, Stidham C, MacKay M. Physical and Chemical Compatibility of Injectable Acetaminophen During Simulated Y-Site Administration. Hosp Pharm 2014 ; 49, 1: 42-47. |
| 3767 |
Napló |
Legris M.E, Lavoie A, Forrest J.M, Hildgen P. Compatibilité par évaluation visuelle du thiopental injectable lors de son administration en Y avec des médicaments usuels. Pharmactuel 2014 ; 47, 3 : 167-172. |
| 3824 |
Napló |
Boudi S, Roy H, Forest JM, Leclair G. Compatibilité physique de l'association amoxicilline-acide clavulanique en injection avec plusieurs autres médicaments lors d'une administration en Y. Pharmactuel 2023 2023;56,3:91-98 |
| 3827 |
poszter |
Ghazi I.M, Hamada Y, Nicolau D.P. Compatibility of tedizolid phosphate with selected intravenous drugs via simulated Y-site conditions. ASHP Midyear 2015 |
| 3828 |
poszter |
Thabit A.K, Hamada Y, Nicolau D.P. Ceftozolane/tazobactam physical compatibility during simulated Y-site administration. ASHP Midyear 2015 |
| 3829 |
poszter |
So W, Kim L, Thabit A.K, Nicolau D.P, Kuti J.L. Compatibility of isavunazonium sulfate during simulated Y-site administration. ASHP Midyear 2015 |
| 3964 |
Napló |
Audet M.A, Forest E, Friciu M, Forest J.M, Leclair G. Compatibilité du citrate de caféine injectable avec plusieurs autres médicaments. Pharmactuel 2017 ; 50,1 : 27-33. |
| 4055 |
Napló |
Monogue M, Almarzoky Abuhussain S, Kuti J, Nicolau D. Physical compatibility of fosfomycin for injection with select i.v. drugs during simulated Y-site administration. Am J Health-Syst Pharm 2018 , 75, 1:36-44 |
| 4145 |
Napló |
Asempa T.E, Avery L.M, Kidd J.M, Kuti J.L, Nicolau D.P. Physical compatibility of plazomicin with select i.v. drugs during simulated Y-site administration. Am J Health-Syst Pharm 2018 ;75,14:1048-1056 |
| 4200 |
Napló |
Macorigh C, Guibbert V, Casanova M, Haenni C. Stability study of hydromorphone and bupivacaine mixture by HPLC-UV. EJHP 2018 |
| 4230 |
poszter |
Perls W, Law S, Iazetta J, Walker S. Stability of 0.2 and 10 mg/mL Hydromorphone Solutions In CADD reservoirs, PVC and Ethylene/Propylene Co-Polymer (PAB) Bags at Room Temperature (23°C°). Prof Practice Conference - Canadian Society of PH 2017 |
| 4303 |
Napló |
Anderson C, MacKay M. Stability of Fentanyl Citrate, Hydromorphone Hydrochloride, Ketamine Hydrochloride, Midazolam, Morphine Sulfate, and Pentobarbital Sodium in Polypropylene Syringes. Pharmacy 2015 3, 379-385. |
| 4319 |
Napló |
Lessard J-J, Caron E, Schérer H, Forest J-M, Leclair G. Compatibility of Y-site Injection of Meropenem Trihydrate With 101 Other Injectable Drugs. Hosp Pharm 2020 ; 55, 5: 332-337. |
| 4380 |
Laboratórium |
Posaconazole (Noxafil®) - Summary of Product Characteristics Merck Sharp & Dohme Limited 2019 |
| 4389 |
Napló |
Côté K, Correal F, Metras M.E, Friciu M, Forest J.M, Leclair G. Compatibilité physique des médicaments administrés en Y aux soins intensifs, en particulier la dexmédétomidine, le lévosimendan et la kétamine. Pharmactuel 2019 ;52,4:206-213 |
| 4434 |
Napló |
Avery L.M, Chen, I.H, Reyes, S, Nicolau, D.P, Kuti J.L. Assessment of the Physical Compatibility of Eravacycline and Common Parenteral Drugs During Simulated Y-site Administration. Clin Ther 2019 ; 41, 10: 2162-2170. |
| 4507 |
Napló |
Ross E, Salinas A, Petty K, Her C, Carpenter J. Compatibility of medications with intravenous lipid emulsions: Effects of simulated Y-site mixing. Am J Health-Syst Pharm 2020 ;77,23:1980-1985 |
| 4528 |
Napló |
Lu J, Liu Q, Kupiec T, Vail H, Lunch L, Fam D, Vu N. Physical Compatibility of Cefiderocol with Selected Intravenous Drugs During Simulated Y-site Administration. Int J Pharm Compound 2021 ;25,1:52-61 |
| 4603 |
Napló |
Vallée M, Barthélémy I, Friciu M, Pelletier E, Forest J.M, Benoit F, Leclair G. Compatibility of Lactated Ringer’s Injection With 94 Selected Intravenous Drugs During Simulated Y-site Administration. Hosp Pharm 2021 ; 56, 4: 228-234. |
| 4650 |
Laboratórium |
Ceftobiprole (Zevtera 500 mg powder for concentrate for solution for infusion.) Summary of Product Characteristics, Advanz Pharma updated 4 aug 2021. Advanz Pharma 2021 |
| 4664 |
Napló |
Harder M, Fiegl-Lechner A, Oberacher H, Horvath U.E.I, Schlager A, Jeske M, Kerndler S, Schüllner F, Bonn G.F, Rainer M. Stability evaluation of morphine, hydromorphone, metamizole and esketamine containing analgesic mixtures applied for patient-controlled analgesia in hospice and palliative care. Biomed Chromatogr 2022 ;e5340. |
| 4666 |
Napló |
Lee C.H, Kim A.R, Lee M.K, Oh J.S, Lee D.K, Choi S.S. Intravenous patient-controlled analgesia: in vitro stability profiles of mixtures containing fentanyl, hydromorphone, oxycodone, nefopam, ondansetron, and ramosetron. J Anal Sci Tech 2020 ; 11: 32. |
| 4667 |
Napló |
Ping L, juan H, Li R-L, Feng Z-Y, Zhou X-J, Liu M-F, Jing B, Jian L. Stability of Hydromorphone Hydrochloride and Morphine under Different Clinical Infusion Conditions. Int J Pharm Pharm Sci 2019 ;81(6):1140-114 |
| 4742 |
Napló |
Macoviciuc M, Nguyen C, Forest J-M, Leclair G. Compatibilité physique de l’acétaminophène injectable avec 102 autres médicaments lors d’une administration en Y. Pharmactuel 2022 ; 55, 4: 247-255. |
| 4746 |
poszter |
Shead K, Derrick H, Lyons D, Law S, Ma N.H. Stability and Compatibility of Bupivacaine and Hydromorphone in PVC and non-DEHP bags for 30 days at 4°C and 25°C. 2023 |
| 4768 |
Napló |
Kondo M, Genpei M, Watanabe K, Yoshida M, Tagui N, Fukao S, Sugaya K, Takase H. Y-site injection physical compatibility of remdesivr with select intravenous drugs used in palliative care and for treating coronavirus disease 2019. Journal of Nippon Medical school 2023 |
| 4801 |
Napló |
Ruiz V, Yuwei Shen Y, Abouelhassan Y, Fouad A, Nicolau D, Kuti J. Physical compatibility of sulbactam/durlobactam with select intravenous drugs during simulated Y-site administration. Am J Health-Syst Pharm 2024 ;51,1: |
| 5073 |
Laboratórium |
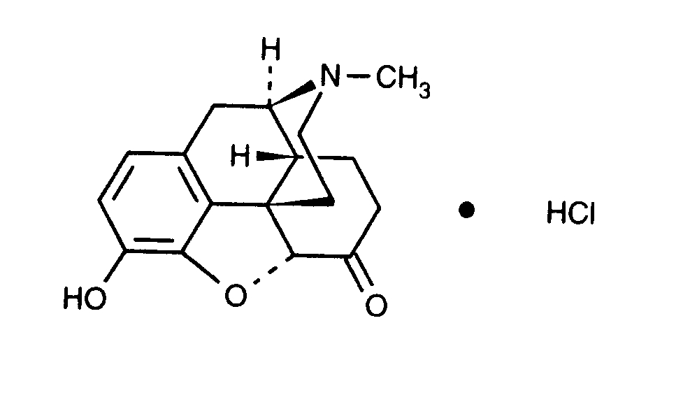
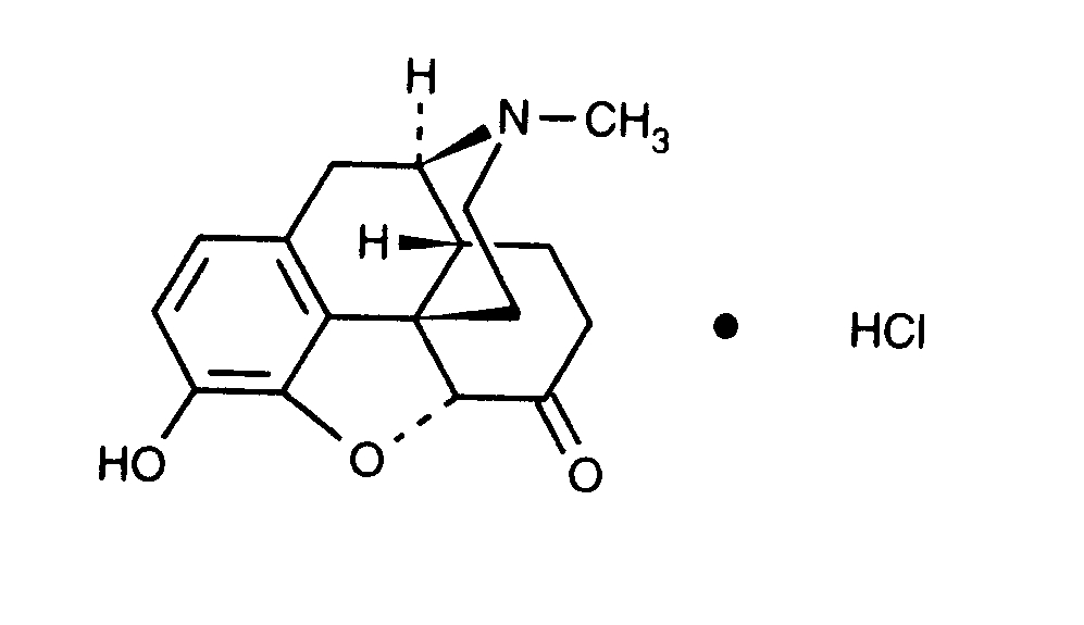
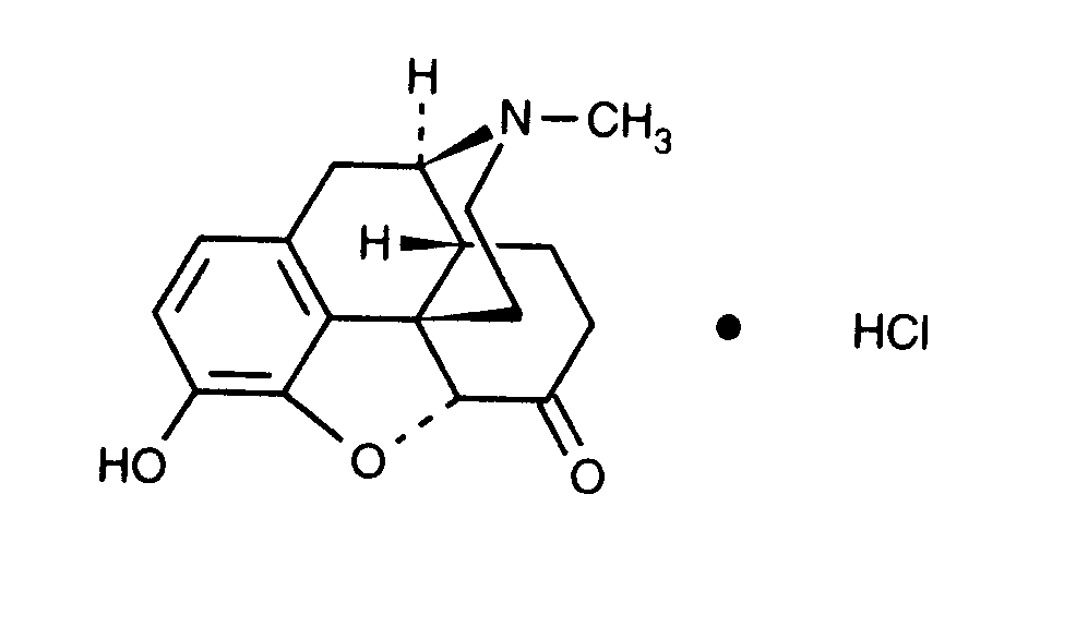
Palladone 10 mg/ml solution for injection or infusion - Summary of Product Characteristics Updated 28-Apr-2025. Napp Pharmaceuticals Limited 2025 |