Останнє оновлення :
27/04/2026
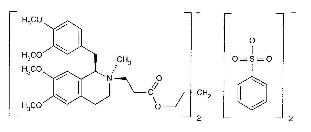
Курариміметик   Cisatracurium besylate  
ін'єкція
Стійкість в розчинах Стійкість сумішей Фактори, що впливають на стабільність Сумісність Шлях введення Список літератури pdf
   Хімічна структура  

Торгова назва   Торгова назва     

Торгові назви є орієнтовними, а склад допоміжних речовин може бути різним залежно від країни та виробника

Bensitrak Мексика
Besilato de cisatracurio
Cicuryl Мексика
Cirium Колумбія
Cis Atracure
Cisatracurio Іспанія, Італія, Бразилія, Еквадор, Колумбія, Перу, Чилі
Cisatracurium Ірландія, Бельгія, Великобританія, Канада, Німеччина, Туніс, Угорщина, Фінляндія, Франція
Nimbex Єгипет, Іран, Ірландія, Іспанія, Італія, Австрія, Бельгія, Великобританія, Венесуела, Греція, Данія, Еквадор, Канада, Люксембург, Малайзія, Мексика, Нідерланди, Німеччина, Норвегія, Об'єднані Арабські Емірати, Перу, Польща, Португалія, Саудівська Аравія, Словенія, Сполучені Штати Америки, Туніс, Туреччина, Угорщина, Фінляндія, Франція, Чилі, Швеція
Nimbium Бразилія, Колумбія
Сумісність   ін'єкція   Сумісність : Cisatracurium besylate              
explication_incompatibilite_molecules
З'єднання Розчинник Список літератури
Миттєві опади Несумісні
ін'єкція Cisatracurium besylate 5 mg/ml
ін'єкція Aciclovir sodium 7 mg/ml
Глюкоза 5% 299
сумісний
ін'єкція Cisatracurium besylate 0.1 & 2 mg/ml
ін'єкція Aciclovir sodium 7 mg/ml
Глюкоза 5% 299
сумісний
ін'єкція Cisatracurium besylate
ін'єкція Alfentanil hydrochloride
3601
сумісний
ін'єкція Cisatracurium besylate 0.1 >> 5 mg/ml
ін'єкція Alfentanil hydrochloride 125 µg/ml
Глюкоза 5% 299
Миттєві опади Несумісні
ін'єкція Cisatracurium besylate 1,2 mg/ml
ін'єкція Alprostadil 20 µg/ml
Глюкоза 5% 4651
Миттєві опади Несумісні
ін'єкція Cisatracurium besylate 1,2 mg/ml
ін'єкція Alprostadil 20 µg/ml
Глюкоза 5% 4491
сумісний
ін'єкція Cisatracurium besylate 0.1 >> 5 mg/ml
ін'єкція Amikacin sulfate 5 mg/ml
Глюкоза 5% 299
сумісний
ін'єкція Cisatracurium besylate 0.1 & 2 mg/ml
ін'єкція Aminophylline 2.5 mg/ml
Глюкоза 5% 299
Помутніння через годину Несумісні
ін'єкція Cisatracurium besylate 5 mg/ml
ін'єкція Aminophylline 2.5 mg/ml
Глюкоза 5% 299
сумісний
ін'єкція Cisatracurium besylate
ін'єкція Amiodarone hydrochloride
3464
сумісний
ін'єкція Cisatracurium besylate 5 mg/ml
ін'єкція Amiodarone hydrochloride 15 mg/ml
Глюкоза 5% 3823
сумісний
ін'єкція Cisatracurium besylate 0.1 mg/ml
ін'єкція Amphotericin B 0.6 mg/ml
Глюкоза 5% 299
Миттєві опади Несумісні
ін'єкція Cisatracurium besylate 2 & 5 mg/ml
ін'єкція Amphotericin B 0.6 mg/ml
Глюкоза 5% 299
Миттєві опади Несумісні
ін'єкція Cisatracurium besylate 2 mg/ml
ін'єкція Amphotericin B cholesteryl sulfate complex 0.83 mg/ml
Глюкоза 5% 921
Помутніння через годину Несумісні
ін'єкція Cisatracurium besylate 5 mg/ml
ін'єкція Ampicillin sodium 20 mg/ml
Натрію хлорид 0,9% 299
сумісний
ін'єкція Cisatracurium besylate 0.1 & 2 mg/ml
ін'єкція Ampicillin sodium 20 mg/ml
Глюкоза 5% 299
Помутніння через годину Несумісні
ін'єкція Cisatracurium besylate 5 mg/ml
ін'єкція Ampicillin sodium 20 mg/ml
Глюкоза 5% 299
Негайне помутніння Несумісні
ін'єкція Cisatracurium besylate 5 mg/ml
ін'єкція Ampicillin sodium - sulbactam sodium 20/10 mg/ml
Глюкоза 5% 299
Негайне помутніння Несумісні
ін'єкція Cisatracurium besylate 5 mg/ml
ін'єкція Ampicillin sodium - sulbactam sodium 20/10 mg/ml
Натрію хлорид 0,9% 299
сумісний
ін'єкція Cisatracurium besylate 0.1 & 2 mg/ml
ін'єкція Ampicillin sodium - sulbactam sodium 20/10 mg/ml
Глюкоза 5% 299
сумісний
ін'єкція Cisatracurium besylate 0.1 >> 5 mg/ml
ін'єкція Aztreonam 40 mg/ml
Глюкоза 5% 299
сумісний
ін'єкція Cisatracurium besylate 0.1 >> 5 mg/ml
ін'єкція Bumetanide 0.04 mg/ml
Глюкоза 5% 299
сумісний
ін'єкція Cisatracurium besylate 0.1 >> 5 mg/ml
ін'єкція Buprenorphine hydrochloride 0.04 mg/ml
Глюкоза 5% 299
сумісний
ін'єкція Cisatracurium besylate 0.1 >> 5 mg/ml
ін'єкція Butorphanol tartrate 0.04 mg/ml
Глюкоза 5% 299
сумісний
ін'єкція Cisatracurium besylate 0.1 >> 5 mg/ml
ін'єкція Calcium gluconate 40 mg/ml
Глюкоза 5% 299
сумісний
ін'єкція Cisatracurium besylate 1 mg/ml
ін'єкція Calcium gluconate 20 mg/ml
Натрію хлорид 0,9% 3429
Негайне помутніння Несумісні
ін'єкція Cisatracurium besylate 2 & 5 mg/ml
ін'єкція Cefazolin sodium 20 mg/ml
Глюкоза 5% 299
сумісний
ін'єкція Cisatracurium besylate 0.1 mg/ml
ін'єкція Cefazolin sodium 20 mg/ml
Глюкоза 5% 299
сумісний
ін'єкція Cisatracurium besylate 0.4 mg/ml
ін'єкція Cefiderocol sulfate tosylate 20 mg/mL
Глюкоза 5% 4528
сумісний
ін'єкція Cisatracurium besylate 0.4 mg/ml
ін'єкція Cefiderocol sulfate tosylate 20 mg/mL
Натрію хлорид 0,9% 4528
Миттєві опади Несумісні
ін'єкція Cisatracurium besylate 0.1 >> 5 mg/ml
ін'єкція Cefoperazone sodium 40 mg/ml
Глюкоза 5% 299
сумісний
ін'єкція Cisatracurium besylate 0.1 >> 5 mg/ml
ін'єкція Cefoperazone sodium 40 mg/ml
Глюкоза 5% 299
Помутніння через 4 години Несумісні
ін'єкція Cisatracurium besylate 2 mg/ml
ін'єкція Cefotaxime sodium 20 mg/ml
Глюкоза 5% 299
Негайне помутніння Несумісні
ін'єкція Cisatracurium besylate 5 mg/ml
ін'єкція Cefotaxime sodium 20 mg/ml
Глюкоза 5% 299
сумісний
ін'єкція Cisatracurium besylate 0.1 mg/ml
ін'єкція Cefotaxime sodium 20 mg/ml
Глюкоза 5% 299
сумісний
ін'єкція Cisatracurium besylate 0.1 mg/ml
ін'єкція Cefoxitin sodium 20 mg/ml
Глюкоза 5% 299
Негайне помутніння Несумісні
ін'єкція Cisatracurium besylate 2 & 5 mg/ml
ін'єкція Cefoxitin sodium 20 mg/ml
Глюкоза 5% 299
сумісний
ін'єкція Cisatracurium besylate 0,5 mg/ml
ін'єкція Ceftaroline fosamil 2,22 mg/ml
Розчин лактату Рінгера 3249
сумісний
ін'єкція Cisatracurium besylate 0,5 mg/ml
ін'єкція Ceftaroline fosamil 2,22 mg/ml
Глюкоза 5% 3249
сумісний
ін'єкція Cisatracurium besylate 0,5 mg/ml
ін'єкція Ceftaroline fosamil 2,22 mg/ml
Натрію хлорид 0,9% 3249
Негайне помутніння Несумісні
ін'єкція Cisatracurium besylate 5 mg/ml
ін'єкція Ceftazidime 40 mg/ml
Глюкоза 5% 299
сумісний
ін'єкція Cisatracurium besylate 0.1 & 2 mg/ml
ін'єкція Ceftazidime 40 mg/ml
Глюкоза 5% 299
сумісний
ін'єкція Cisatracurium besylate 0.1 & 2 mg/ml
ін'єкція Ceftizoxime sodium 20 mg/ml
Глюкоза 5% 299
Помутніння через годину Несумісні
ін'єкція Cisatracurium besylate 5 mg/ml
ін'єкція Ceftizoxime sodium 20 mg/ml
Глюкоза 5% 299
Миттєві опади Несумісні
ін'єкція Cisatracurium besylate 0.5 mg/ml
ін'єкція Ceftobiprole medocaril sodium 2 mg/ml
Натрію хлорид 0,9% 2269
Миттєві опади Несумісні
ін'єкція Cisatracurium besylate 0.5 mg/ml
ін'єкція Ceftobiprole medocaril sodium 2 mg/ml
Розчин лактату Рінгера 2269
Миттєві опади Несумісні
ін'єкція Cisatracurium besylate 0.5 mg/ml
ін'єкція Ceftobiprole medocaril sodium 2 mg/ml
Глюкоза 5% 2269
Неуточнена несумісність Несумісні
ін'єкція Cisatracurium besylate
ін'єкція Ceftobiprole medocaril sodium
4650
сумісний
ін'єкція Cisatracurium besylate 0.4 mg/ml
ін'єкція Ceftolozane / tazobactam 10/5 mg/ml
Глюкоза 5% 3828
сумісний
ін'єкція Cisatracurium besylate 0.4 mg/ml
ін'єкція Ceftolozane / tazobactam 10/5 mg/ml
Натрію хлорид 0,9% 3828
сумісний
ін'єкція Cisatracurium besylate 0.1 >> 5 mg/ml
ін'єкція Ceftriaxone disodium 20 mg/ml
Глюкоза 5% 299
Миттєві опади Несумісні
ін'єкція Cisatracurium besylate 2 & 5 mg/ml
ін'єкція Cefuroxime sodium 30 mg/ml
Глюкоза 5% 299
сумісний
ін'єкція Cisatracurium besylate 0.1 >> 5 mg/ml
ін'єкція Chlorpromazine hydrochloride 2 mg/ml
Глюкоза 5% 299
сумісний
ін'єкція Cisatracurium besylate 0.1 >> 5 mg/ml
ін'єкція Cimetidine hydrochloride 12 mg/ml
Глюкоза 5% 299
сумісний
ін'єкція Cisatracurium besylate 0.1 >> 5 mg/ml
ін'єкція Ciprofloxacin lactate 1 mg/ml
Глюкоза 5% 299
сумісний
ін'єкція Cisatracurium besylate 0.1 >> 5 mg/ml
ін'єкція Clindamycin phosphate 10 mg/ml
Глюкоза 5% 299
сумісний
ін'єкція Cisatracurium besylate 5 mg/ml
ін'єкція Clonazepam 0.2 mg/ml
Натрію хлорид 0,9% 3823
сумісний
ін'єкція Cisatracurium besylate 5 mg/ml
ін'єкція Clonidine hydrochloride 0.012 mg/ml
Натрію хлорид 0,9% 3823
Негайне помутніння Несумісні
ін'єкція Cisatracurium besylate 2 & 5 mg/ml
ін'єкція Co-trimoxazole 0,8/4 mg/ml
Глюкоза 5% 299
сумісний
ін'єкція Cisatracurium besylate 0.1 mg/ml
ін'єкція Co-trimoxazole 0.8/4 mg/ml
Глюкоза 5% 299
сумісний
ін'єкція Cisatracurium besylate 0.5 mg/ml
ін'єкція Dexmedetomidine 4 µg/ml
Натрію хлорид 0,9% 1712
сумісний
ін'єкція Cisatracurium besylate 0.1 >> 5 mg/ml
ін'єкція Diazepam 0.25 mg/ml
Глюкоза 5% 299
Миттєві опади Несумісні
ін'єкція Cisatracurium besylate 0.1 >> 5 mg/ml
ін'єкція Diazepam 5 mg/ml
Глюкоза 5% 299
Неуточнена несумісність Несумісні
ін'єкція Cisatracurium besylate 5 mg/ml
ін'єкція Diclofenac 3 mg/ml
Натрію хлорид 0,9% 3823
сумісний
ін'єкція Cisatracurium besylate 0.1 >> 5 mg/ml
ін'єкція Digoxin 250 µg/ml
Глюкоза 5% 299
сумісний
ін'єкція Cisatracurium besylate 1 mg/ml
ін'єкція Diltiazem hydrochloride 1 mg/ml
Натрію хлорид 0,9% 3429
сумісний
ін'єкція Cisatracurium besylate 0.1 >> 5 mg/ml
ін'єкція Diphenhydramine hydrochloride 2 mg/ml
Глюкоза 5% 299
сумісний
ін'єкція Cisatracurium besylate 0.1 >> 5 mg/ml
ін'єкція Dobutamine hydrochloride 4 mg/ml
Глюкоза 5% 299
сумісний
ін'єкція Cisatracurium besylate 0.1 >> 5 mg/ml
ін'єкція Dopamine hydrochloride 3.2 mg/ml
Глюкоза 5% 299
сумісний
ін'єкція Cisatracurium besylate 0.1 >> 5 mg/ml
ін'єкція Doxycycline hyclate 1 mg/ml
Глюкоза 5% 299
сумісний
ін'єкція Cisatracurium besylate
ін'єкція Droperidol
3601
сумісний
ін'єкція Cisatracurium besylate 0.1 >> 5 mg/ml
ін'єкція Droperidol 2.5 mg/ml
Глюкоза 5% 299
сумісний
ін'єкція Cisatracurium besylate 0.1 >> 5 mg/ml
ін'єкція Enalaprilate 0.1 mg/ml
Глюкоза 5% 299
сумісний
ін'єкція Cisatracurium besylate 0.1 >> 5 mg/ml
ін'єкція Epinephrine hydrochloride 50 µg/ml
Глюкоза 5% 299
сумісний
ін'єкція Cisatracurium besylate 0,4 mg/ml
ін'єкція Eravacycline 0,6 mg/ml
Натрію хлорид 0,9% 4434
сумісний
ін'єкція Cisatracurium besylate 0.1 >> 5 mg/ml
ін'єкція Esmolol hydrochloride 10 mg/ml
Глюкоза 5% 299
сумісний
ін'єкція Cisatracurium besylate 0.4 mg/ml
ін'єкція Fosfomycin 30 mg/ml
Глюкоза 5% 4055
Негайне помутніння Несумісні
ін'єкція Cisatracurium besylate 5 mg/ml
NaHCO3 3823
сумісний
ін'єкція Cisatracurium besylate 5 mg/ml
ін'єкція Esmolol hydrochloride 10 mg/ml
Натрію хлорид 0,9% 3823
сумісний
ін'єкція Cisatracurium besylate 2 mg/ml
ін'єкція Esmolol hydrochloride 10 mg/ml
Натрію хлорид 0,9% 3879
сумісний
ін'єкція Cisatracurium besylate 1 mg/ml
ін'єкція Esomeprazole sodium 0,4 mg/ml
Натрію хлорид 0,9% 3429
сумісний
ін'єкція Cisatracurium besylate 0.1 >> 5 mg/ml
ін'єкція Famotidine 2 mg/ml
Глюкоза 5% 299
сумісний
ін'єкція Cisatracurium besylate 0.5 mg/ml
ін'єкція Fenoldopam mesylate 80 µg/ml
Натрію хлорид 0,9% 1803
сумісний
ін'єкція Cisatracurium besylate 0.1 >> 5 mg/ml
ін'єкція Fentanyl citrate 12.5 µg/ml
Глюкоза 5% 299
сумісний
ін'єкція Cisatracurium besylate
ін'єкція Fentanyl citrate
3601
сумісний
ін'єкція Cisatracurium besylate 0.1 >> 5 mg/ml
ін'єкція Fluconazole 2 mg/ml
Глюкоза 5% 299
сумісний
ін'єкція Cisatracurium besylate 0.4 mg/ml
ін'єкція Fosfomycin 30 mg/ml
Натрію хлорид 0,9% 4055
Неуточнена несумісність Несумісні
ін'єкція Cisatracurium besylate
ін'єкція Furosemide
3465
Негайне помутніння Несумісні
ін'єкція Cisatracurium besylate 2 & 5 mg/ml
NaHCO3 299
Миттєві опади Несумісні
ін'єкція Cisatracurium besylate 5 mg/ml
ін'єкція Furosemide 10 mg/ml
Натрію хлорид 0,9% 3463
сумісний
ін'єкція Cisatracurium besylate 0.1 mg/ml
ін'єкція Furosemide 3 mg/ml
Глюкоза 5% 299
Неуточнена несумісність Несумісні
ін'єкція Cisatracurium besylate 5 mg/ml
ін'єкція Furosemide 10 mg/ml
Натрію хлорид 0,9% 3823
Миттєві опади Несумісні
ін'єкція Cisatracurium besylate 5 mg/ml
ін'єкція Ganciclovir sodium 20 mg/ml
Глюкоза 5% 299
Неуточнена несумісність Несумісні
ін'єкція Cisatracurium besylate
NaHCO3 3466
сумісний
ін'єкція Cisatracurium besylate 0.1 & 2 mg/ml
ін'єкція Ganciclovir sodium 20 mg/ml
Глюкоза 5% 299
Неуточнена несумісність Несумісні
ін'єкція Cisatracurium besylate
NaHCO3 3601
Миттєві опади Несумісні
ін'єкція Cisatracurium besylate 2 & 5 mg/ml
ін'єкція Furosemide 3 mg/ml
Глюкоза 5% 299
Неуточнена несумісність Несумісні
ін'єкція Cisatracurium besylate 5 mg/ml
ін'єкція Furosemide 10 mg/ml
Жодного 3134
сумісний
ін'єкція Cisatracurium besylate 0.1 >> 5 mg/ml
ін'єкція Gentamicin sulfate 5 mg/ml
Глюкоза 5% 299
сумісний
ін'єкція Cisatracurium besylate 0.1 >> 5 mg/ml
ін'єкція Haloperidol lactate 0.2 mg/ml
Глюкоза 5% 299
Миттєві опади Несумісні
ін'єкція Cisatracurium besylate 5 mg/ml
ін'єкція Heparin sodium 100 UI/ml
Глюкоза 5% 299
Нестійкість емульсії через 4 год Несумісні
ін'єкція Cisatracurium besylate 2 mg/ml
Парентеральне харчування (ліпідами) 4507
Неуточнена несумісність Несумісні
ін'єкція Cisatracurium besylate
Розчин лактату Рінгера 3601
Зміна кольору Несумісні
ін'єкція Cisatracurium besylate 5 mg/ml
ін'єкція Heparin sodium 500 UI/ml
Натрію хлорид 0,9% 3463
сумісний
ін'єкція Cisatracurium besylate 0.1 & 2 mg/ml
ін'єкція Heparin sodium 100 UI/ml
Глюкоза 5% 299
Неуточнена несумісність Несумісні
ін'єкція Cisatracurium besylate 5 mg/ml
ін'єкція Heparin sodium 500 UI/ml
Натрію хлорид 0,9% 3823
сумісний
ін'єкція Cisatracurium besylate
Глюкоза 5% 3601
Неуточнена несумісність Несумісні
ін'єкція Cisatracurium besylate
ін'єкція Heparin sodium
3540
сумісний
ін'єкція Cisatracurium besylate 0.5 mg/ml
ін'єкція Hetastarch 60 mg/ml
специфічний розчинник 1721
сумісний
ін'єкція Cisatracurium besylate 0.1 >> 5 mg/ml
ін'єкція Hydrocortisone sodium succinate 1 mg/ml
Глюкоза 5% 299
сумісний
ін'єкція Cisatracurium besylate 2 mg/ml
ін'єкція Hydrocortisone sodium succinate 1 mg/ml
Натрію хлорид 0,9% 4465
сумісний
ін'єкція Cisatracurium besylate 0.1 >> 5 mg/ml
ін'єкція Hydromorphone hydrochloride 0.5 mg/ml
Глюкоза 5% 299
сумісний
ін'єкція Cisatracurium besylate 0.1 >> 5 mg/ml
ін'єкція Hydroxyzine dihydrochloride 2 mg/ml
Глюкоза 5% 299
сумісний
ін'єкція Cisatracurium besylate 0.1 >> 5 mg/ml
ін'єкція Imipenem - cilastatin sodium 10 mg/ml
Глюкоза 5% 299
сумісний
ін'єкція Cisatracurium besylate 0,4 mg/ml
ін'єкція Imipenem-Cilastatin / Relebactam 5 mg/ml
Натрію хлорид 0,9% 4433
сумісний
ін'єкція Cisatracurium besylate 0,4 mg/ml
ін'єкція Imipenem-Cilastatin / Relebactam 5 mg/ml
Глюкоза 5% 4433
сумісний
ін'єкція Cisatracurium besylate 1 mg/ml
ін'єкція Insulin 1 UI/ml
Натрію хлорид 0,9% 3429
сумісний
ін'єкція Cisatracurium besylate 5 mg/ml
ін'єкція Insulin 2 UI/ml
Натрію хлорид 0,9% 3823
сумісний
ін'єкція Cisatracurium besylate 0.4 mg/ml
ін'єкція Isavuconazonium sulfate 1.5 mg/ml
Натрію хлорид 0,9% 3829
сумісний
ін'єкція Cisatracurium besylate 0.4 mg/ml
ін'єкція Isavuconazonium sulfate 1.5 mg/ml
Глюкоза 5% 3829
сумісний
ін'єкція Cisatracurium besylate 0.1 >> 5 mg/ml
ін'єкція Isoprenaline hydrochloride 0.02 mg/ml
Глюкоза 5% 299
сумісний
ін'єкція Cisatracurium besylate 0.1 >> 5 mg/ml
ін'єкція Ketorolac tromethamine 15 mg/ml
Глюкоза 5% 299
Неуточнена несумісність Несумісні
ін'єкція Cisatracurium besylate
ін'єкція Ketorolac tromethamine
3601
сумісний
ін'єкція Cisatracurium besylate 0.1 >> 5 mg/ml
ін'єкція Lorazepam 0.5 mg/ml
Глюкоза 5% 299
сумісний
ін'єкція Cisatracurium besylate 0.1 >> 5 mg/ml
ін'єкція Magnesium sulfate 100 mg/ml
Глюкоза 5% 299
сумісний
ін'єкція Cisatracurium besylate 0.1 >> 5 mg/ml
ін'єкція Mannitol 150 mg/ml
Глюкоза 5% 299
сумісний
ін'єкція Cisatracurium besylate
Натрію хлорид 0,9% 3601
сумісний
ін'єкція Cisatracurium besylate 2 mg/ml
ін'єкція Labetalol hydrochloride 5 mg/ml
Натрію хлорид 0,9% 3879
сумісний
ін'єкція Cisatracurium besylate 1 mg/ml
ін'єкція Levetiracetam 5 mg/ml
Натрію хлорид 0,9% 4569
сумісний
ін'єкція Cisatracurium besylate 0.1 >> 5 mg/ml
ін'єкція Lidocaine hydrochloride 8 mg/ml
Глюкоза 5% 299
сумісний
ін'єкція Cisatracurium besylate 2 mg/ml
ін'єкція Linezolid 2 mg/ml
Жодного 1925
сумісний
ін'єкція Cisatracurium besylate 0.1 mg/ml
ін'єкція Methylprednisolone sodium succinate 5 mg/ml
Глюкоза 5% 299
Негайне помутніння Несумісні
ін'єкція Cisatracurium besylate 2 & 5 mg/ml
ін'єкція Methylprednisolone sodium succinate 5 mg/ml
Глюкоза 5% 299
сумісний
ін'єкція Cisatracurium besylate 0.1 >> 5 mg/ml
ін'єкція Metoclopramide hydrochloride 5 mg/ml
Глюкоза 5% 299
сумісний
ін'єкція Cisatracurium besylate 2 mg/ml
ін'єкція Metoprolol tartrate 0.4 mg/ml
Натрію хлорид 0,9% 3879
сумісний
ін'єкція Cisatracurium besylate 0.1 >> 5 mg/ml
ін'єкція Metronidazole 5 mg/ml
Глюкоза 5% 299
Миттєві опади Несумісні
ін'єкція Cisatracurium besylate 0.5 mg/ml
ін'єкція Micafungin 1.5 mg/ml
Натрію хлорид 0,9% 2108
сумісний
ін'єкція Cisatracurium besylate
ін'єкція Midazolam hydrochloride
3601
сумісний
ін'єкція Cisatracurium besylate 5 mg/ml
ін'єкція Midazolam hydrochloride 2.1 mg/ml
Натрію хлорид 0,9% 3823
сумісний
ін'єкція Cisatracurium besylate 0.1 >> 5 mg/ml
ін'єкція Midazolam hydrochloride 1 mg/ml
Глюкоза 5% 299
сумісний
ін'єкція Cisatracurium besylate 0.1 >> 5 mg/ml
ін'єкція Minocycline hydrochloride 0.2 mg/ml
Глюкоза 5% 299
сумісний
ін'єкція Cisatracurium besylate 0.1 >> 5 mg/ml
ін'єкція Morphine sulfate 1 mg/ml
Глюкоза 5% 299
сумісний
ін'єкція Cisatracurium besylate 0.1 >> 5 mg/ml
ін'єкція Nalbuphine hydrochloride 10 mg/ml
Глюкоза 5% 299
сумісний
ін'єкція Cisatracurium besylate 0.1 >> 5 mg/ml
ін'єкція Netilmicin sulfate 5 mg/ml
Глюкоза 5% 299
сумісний
ін'єкція Cisatracurium besylate 1 mg/ml
ін'єкція Nicardipine hydrochloride 0,5 mg/ml
Натрію хлорид 0,9% 3429
сумісний
ін'єкція Cisatracurium besylate 5 mg/ml
ін'єкція Nimodipine 0.2 mg/ml
Натрію хлорид 0,9% 3823
сумісний
ін'єкція Cisatracurium besylate 0.1 >> 5 mg/ml
ін'єкція Nitroglycerin 0.4 mg/ml
Глюкоза 5% 299
сумісний
ін'єкція Cisatracurium besylate 5 mg/ml
ін'єкція Nitroglycerin 0.2 mg/ml
Глюкоза 5% 3823
Миттєві опади Несумісні
ін'єкція Cisatracurium besylate 2 & 5 mg/ml
ін'єкція Nitroprusside sodium 2 mg/ml
Глюкоза 5% 299
сумісний
ін'єкція Cisatracurium besylate 0.1 mg/ml
ін'єкція Nitroprusside sodium 2 mg/ml
Глюкоза 5% 299
сумісний
ін'єкція Cisatracurium besylate 0.1 >> 5 mg/ml
ін'єкція Norepinephrine bitartrate 0.12 mg/ml
Глюкоза 5% 299
сумісний
ін'єкція Cisatracurium besylate 0.1 >> 5 mg/ml
ін'єкція Ofloxacin 4 mg/ml
Глюкоза 5% 299
сумісний
ін'єкція Cisatracurium besylate 5 mg/ml
ін'єкція Omeprazole sodium 1.6 mg/ml
Натрію хлорид 0,9% 3823
сумісний
ін'єкція Cisatracurium besylate 0.1 >> 5 mg/ml
ін'єкція Ondansetron hydrochloride 1 mg/ml
Глюкоза 5% 299
сумісний
ін'єкція Cisatracurium besylate 0,5 mg/ml
ін'єкція Palonosetron hydrochloride 50 µg/ml
Глюкоза 5% 2227
Помутніння через годину Несумісні
ін'єкція Cisatracurium besylate 1 mg/ml
ін'єкція Pantoprazole sodium 0,8 mg/ml
Натрію хлорид 0,9% 3429
сумісний
ін'єкція Cisatracurium besylate 0.1 >> 5 mg/ml
ін'єкція Pethidine hydrochloride 4 mg/ml
Глюкоза 5% 299
сумісний
ін'єкція Cisatracurium besylate 0.1 >> 5 mg/ml
ін'єкція Phenylephrine hydrochloride 1 mg/ml
Глюкоза 5% 299
сумісний
ін'єкція Cisatracurium besylate 0.1 mg/ml
ін'єкція Piperacillin sodium 40 mg/ml
Глюкоза 5% 299
Негайне помутніння Несумісні
ін'єкція Cisatracurium besylate 2 & 5 mg/ml
ін'єкція Piperacillin sodium 40 mg/ml
Глюкоза 5% 299
сумісний
ін'єкція Cisatracurium besylate 0.1 & 2 mg/ml
ін'єкція Piperacillin sodium / tazobactam 40/5 mg/ml
Глюкоза 5% 299
Опади через 4 год Несумісні
ін'єкція Cisatracurium besylate 5 mg/ml
ін'єкція Piperacillin sodium / tazobactam 40/5 mg/ml
Глюкоза 5% 299
сумісний
ін'єкція Cisatracurium besylate 0.4 mg/ml
ін'єкція Plazomicin sulfate 24 mg/ml
Натрію хлорид 0,9% 4145
сумісний
ін'єкція Cisatracurium besylate 0.1 >> 5 mg/ml
ін'єкція Potassium chloride 100 mEq/l
Глюкоза 5% 299
сумісний
ін'єкція Cisatracurium besylate 5 mg/ml
ін'єкція Potassium chloride 10 mEq/l
Натрію хлорид 0,9% 3823
сумісний
ін'єкція Cisatracurium besylate 0.1 >> 5 mg/ml
ін'єкція Procainamide hydrochloride 10 mg/ml
Глюкоза 5% 299
сумісний
ін'єкція Cisatracurium besylate 0.1 >> 5 mg/ml
ін'єкція Prochlorperazine edysilate 0.5 mg/ml
Глюкоза 5% 299
сумісний
ін'єкція Cisatracurium besylate 0.1 >> 5 mg/ml
ін'єкція Promethazine hydrochloride 2 mg/ml
Глюкоза 5% 299
Неуточнена несумісність Несумісні
ін'єкція Cisatracurium besylate
ін'єкція Propofol
3601
сумісний
ін'єкція Cisatracurium besylate 0.1 >> 5 mg/ml
ін'єкція Ranitidine hydrochloride 2 mg/ml
Глюкоза 5% 299
сумісний
ін'єкція Cisatracurium besylate 5 mg/ml
ін'єкція Remifentanil hydrochloride 100 µg/ml
Натрію хлорид 0,9% 3823
сумісний
ін'єкція Cisatracurium besylate 2 mg/ml
ін'єкція Remifentanil hydrochloride 25 & 250 µg/ml
Натрію хлорид 0,9% 59
Неуточнена несумісність Несумісні
ін'єкція Cisatracurium besylate
ін'єкція Sodium bicarbonate
3466
Помутніння через годину Несумісні
ін'єкція Cisatracurium besylate 2 mg/ml
ін'єкція Sodium bicarbonate 84 mg/ml
Глюкоза 5% 299
Неуточнена несумісність Несумісні
ін'єкція Cisatracurium besylate
ін'єкція Sodium bicarbonate
3601
сумісний
ін'єкція Cisatracurium besylate 0.1 mg/ml
ін'єкція Sodium bicarbonate 84 mg/ml
Глюкоза 5% 299
Негайне помутніння Несумісні
ін'єкція Cisatracurium besylate 5 mg/ml
ін'єкція Sodium bicarbonate 84 mg/ml
Глюкоза 5% 299
Помутніння через 2 години Несумісні
ін'єкція Cisatracurium besylate 5 mg/ml
ін'єкція Sodium bicarbonate 84 mg/ml
Жодного 3212
сумісний
ін'єкція Cisatracurium besylate 0.1 >> 5 mg/ml
ін'єкція Sufentanil citrate 0.0125 mg/ml
Глюкоза 5% 299
сумісний
ін'єкція Cisatracurium besylate
ін'єкція Sufentanil citrate
3601
сумісний
ін'єкція Cisatracurium besylate 0,4 mg/ml
ін'єкція Sulbactam/durlobactam 15/15 mg/ml
Натрію хлорид 0,9% 4801
сумісний
ін'єкція Cisatracurium besylate 0.4 mg/ml
ін'єкція Tedizolid phosphate 0.8 mg/ml
Натрію хлорид 0,9% 3827
сумісний
ін'єкція Cisatracurium besylate 0.1 >> 5 mg/ml
ін'єкція Theophylline 3.2 mg/ml
Глюкоза 5% 299
Неуточнена несумісність Несумісні
ін'єкція Cisatracurium besylate
ін'єкція Thiopental sodium
3601
сумісний
ін'єкція Cisatracurium besylate 0.1 mg/ml
ін'єкція Thiopental sodium 25 mg/ml
Глюкоза 5% 299
Неуточнена несумісність Несумісні
ін'єкція Cisatracurium besylate 5 mg/ml
ін'єкція Thiopental sodium 60 mg/ml
Натрію хлорид 0,9% 3823
Миттєві опади Несумісні
ін'єкція Cisatracurium besylate 2 & 5 mg/ml
ін'єкція Thiopental sodium 25 mg/ml
Глюкоза 5% 299
сумісний
ін'єкція Cisatracurium besylate 0.1 & 2 mg/ml
ін'єкція Ticarcillin / clavulanic acid 30 mg/ml
Глюкоза 5% 299
Негайне помутніння Несумісні
ін'єкція Cisatracurium besylate 5 mg/ml
ін'єкція Ticarcillin / clavulanic acid 30 mg/ml
Глюкоза 5% 299
сумісний
ін'єкція Cisatracurium besylate 0.1 >> 5 mg/ml
ін'єкція Tobramycin sulfate 5 mg/ml
Глюкоза 5% 299
сумісний
ін'єкція Cisatracurium besylate 0.1 >> 5 mg/ml
ін'єкція Vancomycin hydrochloride 10 mg/ml
Глюкоза 5% 299
сумісний
ін'єкція Cisatracurium besylate 1 mg/ml
ін'єкція Vasopressin 1 UI/ml
Натрію хлорид 0,9% 3429
сумісний
ін'єкція Cisatracurium besylate 0.1 >> 5 mg/ml
ін'єкція Zidovudine 4 mg/ml
Глюкоза 5% 299

  Mentions Légales