Posledná aktualizácia :
27/04/2026
kurarimimetikum/periférne myorelaxans   Cisatracurium besylate  
Injekcia
Stabilita roztokov Stabilita v zmesiach Faktory ovplyvňujúce stabilitu Kompatibility spôsob podania Odkazy na literatúru PDF
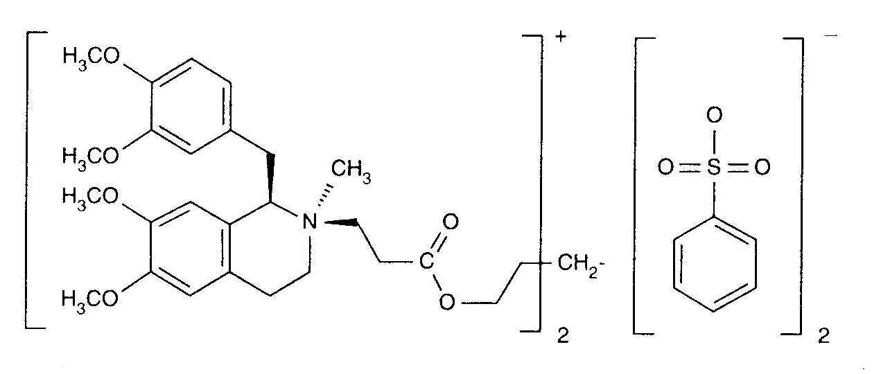
   Chemický vzorec  

Obchodný názov   Obchodný názov     

Obchodné názvy sú orientačné, a zloženie pomocných látok sa môže líšiť v závislosti od krajiny a výrobcu.

Bensitrak Mexiko
Besilato de cisatracurio
Cicuryl Mexiko
Cirium Kolumbia
Cis Atracure
Cisatracurio Brazília, Čile, Ekvádor, Kolumbia, peru, Španielsko, Taliansko
Cisatracurium Belgicko, Fínsko, Francúzsko, Írsko, Kanada, Maďarsko, Nemecko, Tunisko, Veľká Británia
Nimbex Belgicko, Čile, Dánsko, Egypt, Ekvádor, Fínsko, Francúzsko, Grécko, Holandsko, Irán, Írsko, Kanada, Luxembursko, Maďarsko, Malajzia, Mexiko, Nemecko, Nórsko, peru, Poľsko, Portugalsko, Rakúsko, Saudská Arábia, Slovinsko, Španielsko, Spojené arabské emiráty, Spojené štáty Americké, Švédsko, Taliansko, Tunisko, Turecko, Veľká Británia, Venezuela
Nimbium Brazília, Kolumbia
Kompatibility   Injekcia   Kompatibility : Cisatracurium besylate              
Toto okno zobrazuje kompatibility alebo inkombatibility, v prípade inkompatibility aj jej typ (vyzrážanie, zmena farby, zmena emulzie atď.). Tu vymenované kompatibility sú väčšinou len fyzikálne, chemická stabilita každej zo zlúčenín sa hodnotila len zriedkavo. Tieto zmesi sa skúmali za účelom možnosti súbežného podávania pacientovi cez infúznu spojku Y. Údaje sa nedajú použiť na prípravu zmesí vo vakoch alebo striekačkách. Taká informácia sa nachádza v okne „Stabilita v zmesiach“.
Zlúčenina rozpúšťadlo odkazy na lieteratúru
Okamžité zrážanie nezlučiteľný
Injekcia Cisatracurium besylate 5 mg/ml
Injekcia Aciclovir sodium 7 mg/ml
5% glukóza 299
kompatibilný
Injekcia Cisatracurium besylate 0.1 & 2 mg/ml
Injekcia Aciclovir sodium 7 mg/ml
5% glukóza 299
kompatibilný
Injekcia Cisatracurium besylate
Injekcia Alfentanil hydrochloride
3601
kompatibilný
Injekcia Cisatracurium besylate 0.1 >> 5 mg/ml
Injekcia Alfentanil hydrochloride 125 µg/ml
5% glukóza 299
Okamžité zrážanie nezlučiteľný
Injekcia Cisatracurium besylate 1,2 mg/ml
Injekcia Alprostadil 20 µg/ml
5% glukóza 4651
Okamžité zrážanie nezlučiteľný
Injekcia Cisatracurium besylate 1,2 mg/ml
Injekcia Alprostadil 20 µg/ml
5% glukóza 4491
kompatibilný
Injekcia Cisatracurium besylate 0.1 >> 5 mg/ml
Injekcia Amikacin sulfate 5 mg/ml
5% glukóza 299
kompatibilný
Injekcia Cisatracurium besylate 0.1 & 2 mg/ml
Injekcia Aminophylline 2.5 mg/ml
5% glukóza 299
Zákal za jednu hodinu nezlučiteľný
Injekcia Cisatracurium besylate 5 mg/ml
Injekcia Aminophylline 2.5 mg/ml
5% glukóza 299
kompatibilný
Injekcia Cisatracurium besylate
Injekcia Amiodarone hydrochloride
3464
kompatibilný
Injekcia Cisatracurium besylate 5 mg/ml
Injekcia Amiodarone hydrochloride 15 mg/ml
5% glukóza 3823
kompatibilný
Injekcia Cisatracurium besylate 0.1 mg/ml
Injekcia Amphotericin B 0.6 mg/ml
5% glukóza 299
Okamžité zrážanie nezlučiteľný
Injekcia Cisatracurium besylate 2 & 5 mg/ml
Injekcia Amphotericin B 0.6 mg/ml
5% glukóza 299
Okamžité zrážanie nezlučiteľný
Injekcia Cisatracurium besylate 2 mg/ml
Injekcia Amphotericin B cholesteryl sulfate complex 0.83 mg/ml
5% glukóza 921
Zákal za jednu hodinu nezlučiteľný
Injekcia Cisatracurium besylate 5 mg/ml
Injekcia Ampicillin sodium 20 mg/ml
0,9% chlorid sodný 299
kompatibilný
Injekcia Cisatracurium besylate 0.1 & 2 mg/ml
Injekcia Ampicillin sodium 20 mg/ml
5% glukóza 299
Zákal za jednu hodinu nezlučiteľný
Injekcia Cisatracurium besylate 5 mg/ml
Injekcia Ampicillin sodium 20 mg/ml
5% glukóza 299
Okamžitá zákal nezlučiteľný
Injekcia Cisatracurium besylate 5 mg/ml
Injekcia Ampicillin sodium - sulbactam sodium 20/10 mg/ml
5% glukóza 299
Okamžitá zákal nezlučiteľný
Injekcia Cisatracurium besylate 5 mg/ml
Injekcia Ampicillin sodium - sulbactam sodium 20/10 mg/ml
0,9% chlorid sodný 299
kompatibilný
Injekcia Cisatracurium besylate 0.1 & 2 mg/ml
Injekcia Ampicillin sodium - sulbactam sodium 20/10 mg/ml
5% glukóza 299
kompatibilný
Injekcia Cisatracurium besylate 0.1 >> 5 mg/ml
Injekcia Aztreonam 40 mg/ml
5% glukóza 299
kompatibilný
Injekcia Cisatracurium besylate 0.1 >> 5 mg/ml
Injekcia Bumetanide 0.04 mg/ml
5% glukóza 299
kompatibilný
Injekcia Cisatracurium besylate 0.1 >> 5 mg/ml
Injekcia Buprenorphine hydrochloride 0.04 mg/ml
5% glukóza 299
kompatibilný
Injekcia Cisatracurium besylate 0.1 >> 5 mg/ml
Injekcia Butorphanol tartrate 0.04 mg/ml
5% glukóza 299
kompatibilný
Injekcia Cisatracurium besylate 0.1 >> 5 mg/ml
Injekcia Calcium gluconate 40 mg/ml
5% glukóza 299
kompatibilný
Injekcia Cisatracurium besylate 1 mg/ml
Injekcia Calcium gluconate 20 mg/ml
0,9% chlorid sodný 3429
Okamžitá zákal nezlučiteľný
Injekcia Cisatracurium besylate 2 & 5 mg/ml
Injekcia Cefazolin sodium 20 mg/ml
5% glukóza 299
kompatibilný
Injekcia Cisatracurium besylate 0.1 mg/ml
Injekcia Cefazolin sodium 20 mg/ml
5% glukóza 299
kompatibilný
Injekcia Cisatracurium besylate 0.4 mg/ml
Injekcia Cefiderocol sulfate tosylate 20 mg/mL
5% glukóza 4528
kompatibilný
Injekcia Cisatracurium besylate 0.4 mg/ml
Injekcia Cefiderocol sulfate tosylate 20 mg/mL
0,9% chlorid sodný 4528
Okamžité zrážanie nezlučiteľný
Injekcia Cisatracurium besylate 0.1 >> 5 mg/ml
Injekcia Cefoperazone sodium 40 mg/ml
5% glukóza 299
kompatibilný
Injekcia Cisatracurium besylate 0.1 >> 5 mg/ml
Injekcia Cefoperazone sodium 40 mg/ml
5% glukóza 299
Zákal za 4 hodiny nezlučiteľný
Injekcia Cisatracurium besylate 2 mg/ml
Injekcia Cefotaxime sodium 20 mg/ml
5% glukóza 299
Okamžitá zákal nezlučiteľný
Injekcia Cisatracurium besylate 5 mg/ml
Injekcia Cefotaxime sodium 20 mg/ml
5% glukóza 299
kompatibilný
Injekcia Cisatracurium besylate 0.1 mg/ml
Injekcia Cefotaxime sodium 20 mg/ml
5% glukóza 299
kompatibilný
Injekcia Cisatracurium besylate 0.1 mg/ml
Injekcia Cefoxitin sodium 20 mg/ml
5% glukóza 299
Okamžitá zákal nezlučiteľný
Injekcia Cisatracurium besylate 2 & 5 mg/ml
Injekcia Cefoxitin sodium 20 mg/ml
5% glukóza 299
kompatibilný
Injekcia Cisatracurium besylate 0,5 mg/ml
Injekcia Ceftaroline fosamil 2,22 mg/ml
Ringerov laktátový roztok 3249
kompatibilný
Injekcia Cisatracurium besylate 0,5 mg/ml
Injekcia Ceftaroline fosamil 2,22 mg/ml
5% glukóza 3249
kompatibilný
Injekcia Cisatracurium besylate 0,5 mg/ml
Injekcia Ceftaroline fosamil 2,22 mg/ml
0,9% chlorid sodný 3249
Okamžitá zákal nezlučiteľný
Injekcia Cisatracurium besylate 5 mg/ml
Injekcia Ceftazidime 40 mg/ml
5% glukóza 299
kompatibilný
Injekcia Cisatracurium besylate 0.1 & 2 mg/ml
Injekcia Ceftazidime 40 mg/ml
5% glukóza 299
kompatibilný
Injekcia Cisatracurium besylate 0.1 & 2 mg/ml
Injekcia Ceftizoxime sodium 20 mg/ml
5% glukóza 299
Zákal za jednu hodinu nezlučiteľný
Injekcia Cisatracurium besylate 5 mg/ml
Injekcia Ceftizoxime sodium 20 mg/ml
5% glukóza 299
Okamžité zrážanie nezlučiteľný
Injekcia Cisatracurium besylate 0.5 mg/ml
Injekcia Ceftobiprole medocaril sodium 2 mg/ml
0,9% chlorid sodný 2269
Okamžité zrážanie nezlučiteľný
Injekcia Cisatracurium besylate 0.5 mg/ml
Injekcia Ceftobiprole medocaril sodium 2 mg/ml
Ringerov laktátový roztok 2269
Okamžité zrážanie nezlučiteľný
Injekcia Cisatracurium besylate 0.5 mg/ml
Injekcia Ceftobiprole medocaril sodium 2 mg/ml
5% glukóza 2269
Nešpecifikovaná nekompatibilita nezlučiteľný
Injekcia Cisatracurium besylate
Injekcia Ceftobiprole medocaril sodium
4650
kompatibilný
Injekcia Cisatracurium besylate 0.4 mg/ml
Injekcia Ceftolozane / tazobactam 10/5 mg/ml
5% glukóza 3828
kompatibilný
Injekcia Cisatracurium besylate 0.4 mg/ml
Injekcia Ceftolozane / tazobactam 10/5 mg/ml
0,9% chlorid sodný 3828
kompatibilný
Injekcia Cisatracurium besylate 0.1 >> 5 mg/ml
Injekcia Ceftriaxone disodium 20 mg/ml
5% glukóza 299
Okamžité zrážanie nezlučiteľný
Injekcia Cisatracurium besylate 2 & 5 mg/ml
Injekcia Cefuroxime sodium 30 mg/ml
5% glukóza 299
kompatibilný
Injekcia Cisatracurium besylate 0.1 >> 5 mg/ml
Injekcia Chlorpromazine hydrochloride 2 mg/ml
5% glukóza 299
kompatibilný
Injekcia Cisatracurium besylate 0.1 >> 5 mg/ml
Injekcia Cimetidine hydrochloride 12 mg/ml
5% glukóza 299
kompatibilný
Injekcia Cisatracurium besylate 0.1 >> 5 mg/ml
Injekcia Ciprofloxacin lactate 1 mg/ml
5% glukóza 299
kompatibilný
Injekcia Cisatracurium besylate 0.1 >> 5 mg/ml
Injekcia Clindamycin phosphate 10 mg/ml
5% glukóza 299
kompatibilný
Injekcia Cisatracurium besylate 5 mg/ml
Injekcia Clonazepam 0.2 mg/ml
0,9% chlorid sodný 3823
kompatibilný
Injekcia Cisatracurium besylate 5 mg/ml
Injekcia Clonidine hydrochloride 0.012 mg/ml
0,9% chlorid sodný 3823
Okamžitá zákal nezlučiteľný
Injekcia Cisatracurium besylate 2 & 5 mg/ml
Injekcia Co-trimoxazole 0,8/4 mg/ml
5% glukóza 299
kompatibilný
Injekcia Cisatracurium besylate 0.1 mg/ml
Injekcia Co-trimoxazole 0.8/4 mg/ml
5% glukóza 299
kompatibilný
Injekcia Cisatracurium besylate 0.5 mg/ml
Injekcia Dexmedetomidine 4 µg/ml
0,9% chlorid sodný 1712
kompatibilný
Injekcia Cisatracurium besylate 0.1 >> 5 mg/ml
Injekcia Diazepam 0.25 mg/ml
5% glukóza 299
Okamžité zrážanie nezlučiteľný
Injekcia Cisatracurium besylate 0.1 >> 5 mg/ml
Injekcia Diazepam 5 mg/ml
5% glukóza 299
Nešpecifikovaná nekompatibilita nezlučiteľný
Injekcia Cisatracurium besylate 5 mg/ml
Injekcia Diclofenac 3 mg/ml
0,9% chlorid sodný 3823
kompatibilný
Injekcia Cisatracurium besylate 0.1 >> 5 mg/ml
Injekcia Digoxin 250 µg/ml
5% glukóza 299
kompatibilný
Injekcia Cisatracurium besylate 1 mg/ml
Injekcia Diltiazem hydrochloride 1 mg/ml
0,9% chlorid sodný 3429
kompatibilný
Injekcia Cisatracurium besylate 0.1 >> 5 mg/ml
Injekcia Diphenhydramine hydrochloride 2 mg/ml
5% glukóza 299
kompatibilný
Injekcia Cisatracurium besylate 0.1 >> 5 mg/ml
Injekcia Dobutamine hydrochloride 4 mg/ml
5% glukóza 299
kompatibilný
Injekcia Cisatracurium besylate 0.1 >> 5 mg/ml
Injekcia Dopamine hydrochloride 3.2 mg/ml
5% glukóza 299
kompatibilný
Injekcia Cisatracurium besylate 0.1 >> 5 mg/ml
Injekcia Doxycycline hyclate 1 mg/ml
5% glukóza 299
kompatibilný
Injekcia Cisatracurium besylate
Injekcia Droperidol
3601
kompatibilný
Injekcia Cisatracurium besylate 0.1 >> 5 mg/ml
Injekcia Droperidol 2.5 mg/ml
5% glukóza 299
kompatibilný
Injekcia Cisatracurium besylate 0.1 >> 5 mg/ml
Injekcia Enalaprilate 0.1 mg/ml
5% glukóza 299
kompatibilný
Injekcia Cisatracurium besylate 0.1 >> 5 mg/ml
Injekcia Epinephrine hydrochloride 50 µg/ml
5% glukóza 299
kompatibilný
Injekcia Cisatracurium besylate 0,4 mg/ml
Injekcia Eravacycline 0,6 mg/ml
0,9% chlorid sodný 4434
kompatibilný
Injekcia Cisatracurium besylate 0.1 >> 5 mg/ml
Injekcia Esmolol hydrochloride 10 mg/ml
5% glukóza 299
kompatibilný
Injekcia Cisatracurium besylate 0.4 mg/ml
Injekcia Fosfomycin 30 mg/ml
5% glukóza 4055
Okamžitá zákal nezlučiteľný
Injekcia Cisatracurium besylate 5 mg/ml
NaHCO3 3823
kompatibilný
Injekcia Cisatracurium besylate 5 mg/ml
Injekcia Esmolol hydrochloride 10 mg/ml
0,9% chlorid sodný 3823
kompatibilný
Injekcia Cisatracurium besylate 2 mg/ml
Injekcia Esmolol hydrochloride 10 mg/ml
0,9% chlorid sodný 3879
kompatibilný
Injekcia Cisatracurium besylate 1 mg/ml
Injekcia Esomeprazole sodium 0,4 mg/ml
0,9% chlorid sodný 3429
kompatibilný
Injekcia Cisatracurium besylate 0.1 >> 5 mg/ml
Injekcia Famotidine 2 mg/ml
5% glukóza 299
kompatibilný
Injekcia Cisatracurium besylate 0.5 mg/ml
Injekcia Fenoldopam mesylate 80 µg/ml
0,9% chlorid sodný 1803
kompatibilný
Injekcia Cisatracurium besylate 0.1 >> 5 mg/ml
Injekcia Fentanyl citrate 12.5 µg/ml
5% glukóza 299
kompatibilný
Injekcia Cisatracurium besylate
Injekcia Fentanyl citrate
3601
kompatibilný
Injekcia Cisatracurium besylate 0.1 >> 5 mg/ml
Injekcia Fluconazole 2 mg/ml
5% glukóza 299
kompatibilný
Injekcia Cisatracurium besylate 0.4 mg/ml
Injekcia Fosfomycin 30 mg/ml
0,9% chlorid sodný 4055
Nešpecifikovaná nekompatibilita nezlučiteľný
Injekcia Cisatracurium besylate
Injekcia Furosemide
3465
Okamžitá zákal nezlučiteľný
Injekcia Cisatracurium besylate 2 & 5 mg/ml
NaHCO3 299
Okamžité zrážanie nezlučiteľný
Injekcia Cisatracurium besylate 5 mg/ml
Injekcia Furosemide 10 mg/ml
0,9% chlorid sodný 3463
kompatibilný
Injekcia Cisatracurium besylate 0.1 mg/ml
Injekcia Furosemide 3 mg/ml
5% glukóza 299
Nešpecifikovaná nekompatibilita nezlučiteľný
Injekcia Cisatracurium besylate 5 mg/ml
Injekcia Furosemide 10 mg/ml
0,9% chlorid sodný 3823
Okamžité zrážanie nezlučiteľný
Injekcia Cisatracurium besylate 5 mg/ml
Injekcia Ganciclovir sodium 20 mg/ml
5% glukóza 299
Nešpecifikovaná nekompatibilita nezlučiteľný
Injekcia Cisatracurium besylate
NaHCO3 3466
kompatibilný
Injekcia Cisatracurium besylate 0.1 & 2 mg/ml
Injekcia Ganciclovir sodium 20 mg/ml
5% glukóza 299
Nešpecifikovaná nekompatibilita nezlučiteľný
Injekcia Cisatracurium besylate
NaHCO3 3601
Okamžité zrážanie nezlučiteľný
Injekcia Cisatracurium besylate 2 & 5 mg/ml
Injekcia Furosemide 3 mg/ml
5% glukóza 299
Nešpecifikovaná nekompatibilita nezlučiteľný
Injekcia Cisatracurium besylate 5 mg/ml
Injekcia Furosemide 10 mg/ml
Žiadny 3134
kompatibilný
Injekcia Cisatracurium besylate 0.1 >> 5 mg/ml
Injekcia Gentamicin sulfate 5 mg/ml
5% glukóza 299
kompatibilný
Injekcia Cisatracurium besylate 0.1 >> 5 mg/ml
Injekcia Haloperidol lactate 0.2 mg/ml
5% glukóza 299
Okamžité zrážanie nezlučiteľný
Injekcia Cisatracurium besylate 5 mg/ml
Injekcia Heparin sodium 100 UI/ml
5% glukóza 299
Nestabilita emulzie po 4 hodinách nezlučiteľný
Injekcia Cisatracurium besylate 2 mg/ml
Parenterálna výživa (lipidy) 4507
Nešpecifikovaná nekompatibilita nezlučiteľný
Injekcia Cisatracurium besylate
Ringerov laktátový roztok 3601
Zmena farby nezlučiteľný
Injekcia Cisatracurium besylate 5 mg/ml
Injekcia Heparin sodium 500 UI/ml
0,9% chlorid sodný 3463
kompatibilný
Injekcia Cisatracurium besylate 0.1 & 2 mg/ml
Injekcia Heparin sodium 100 UI/ml
5% glukóza 299
Nešpecifikovaná nekompatibilita nezlučiteľný
Injekcia Cisatracurium besylate 5 mg/ml
Injekcia Heparin sodium 500 UI/ml
0,9% chlorid sodný 3823
kompatibilný
Injekcia Cisatracurium besylate
5% glukóza 3601
Nešpecifikovaná nekompatibilita nezlučiteľný
Injekcia Cisatracurium besylate
Injekcia Heparin sodium
3540
kompatibilný
Injekcia Cisatracurium besylate 0.5 mg/ml
Injekcia Hetastarch 60 mg/ml
Špeciálne rozpúšťadlá 1721
kompatibilný
Injekcia Cisatracurium besylate 0.1 >> 5 mg/ml
Injekcia Hydrocortisone sodium succinate 1 mg/ml
5% glukóza 299
kompatibilný
Injekcia Cisatracurium besylate 2 mg/ml
Injekcia Hydrocortisone sodium succinate 1 mg/ml
0,9% chlorid sodný 4465
kompatibilný
Injekcia Cisatracurium besylate 0.1 >> 5 mg/ml
Injekcia Hydromorphone hydrochloride 0.5 mg/ml
5% glukóza 299
kompatibilný
Injekcia Cisatracurium besylate 0.1 >> 5 mg/ml
Injekcia Hydroxyzine dihydrochloride 2 mg/ml
5% glukóza 299
kompatibilný
Injekcia Cisatracurium besylate 0.1 >> 5 mg/ml
Injekcia Imipenem - cilastatin sodium 10 mg/ml
5% glukóza 299
kompatibilný
Injekcia Cisatracurium besylate 0,4 mg/ml
Injekcia Imipenem-Cilastatin / Relebactam 5 mg/ml
0,9% chlorid sodný 4433
kompatibilný
Injekcia Cisatracurium besylate 0,4 mg/ml
Injekcia Imipenem-Cilastatin / Relebactam 5 mg/ml
5% glukóza 4433
kompatibilný
Injekcia Cisatracurium besylate 1 mg/ml
Injekcia Insulin 1 UI/ml
0,9% chlorid sodný 3429
kompatibilný
Injekcia Cisatracurium besylate 5 mg/ml
Injekcia Insulin 2 UI/ml
0,9% chlorid sodný 3823
kompatibilný
Injekcia Cisatracurium besylate 0.4 mg/ml
Injekcia Isavuconazonium sulfate 1.5 mg/ml
0,9% chlorid sodný 3829
kompatibilný
Injekcia Cisatracurium besylate 0.4 mg/ml
Injekcia Isavuconazonium sulfate 1.5 mg/ml
5% glukóza 3829
kompatibilný
Injekcia Cisatracurium besylate 0.1 >> 5 mg/ml
Injekcia Isoprenaline hydrochloride 0.02 mg/ml
5% glukóza 299
kompatibilný
Injekcia Cisatracurium besylate 0.1 >> 5 mg/ml
Injekcia Ketorolac tromethamine 15 mg/ml
5% glukóza 299
Nešpecifikovaná nekompatibilita nezlučiteľný
Injekcia Cisatracurium besylate
Injekcia Ketorolac tromethamine
3601
kompatibilný
Injekcia Cisatracurium besylate 0.1 >> 5 mg/ml
Injekcia Lorazepam 0.5 mg/ml
5% glukóza 299
kompatibilný
Injekcia Cisatracurium besylate 0.1 >> 5 mg/ml
Injekcia Magnesium sulfate 100 mg/ml
5% glukóza 299
kompatibilný
Injekcia Cisatracurium besylate 0.1 >> 5 mg/ml
Injekcia Mannitol 150 mg/ml
5% glukóza 299
kompatibilný
Injekcia Cisatracurium besylate
0,9% chlorid sodný 3601
kompatibilný
Injekcia Cisatracurium besylate 2 mg/ml
Injekcia Labetalol hydrochloride 5 mg/ml
0,9% chlorid sodný 3879
kompatibilný
Injekcia Cisatracurium besylate 1 mg/ml
Injekcia Levetiracetam 5 mg/ml
0,9% chlorid sodný 4569
kompatibilný
Injekcia Cisatracurium besylate 0.1 >> 5 mg/ml
Injekcia Lidocaine hydrochloride 8 mg/ml
5% glukóza 299
kompatibilný
Injekcia Cisatracurium besylate 2 mg/ml
Injekcia Linezolid 2 mg/ml
Žiadny 1925
kompatibilný
Injekcia Cisatracurium besylate 0.1 mg/ml
Injekcia Methylprednisolone sodium succinate 5 mg/ml
5% glukóza 299
Okamžitá zákal nezlučiteľný
Injekcia Cisatracurium besylate 2 & 5 mg/ml
Injekcia Methylprednisolone sodium succinate 5 mg/ml
5% glukóza 299
kompatibilný
Injekcia Cisatracurium besylate 0.1 >> 5 mg/ml
Injekcia Metoclopramide hydrochloride 5 mg/ml
5% glukóza 299
kompatibilný
Injekcia Cisatracurium besylate 2 mg/ml
Injekcia Metoprolol tartrate 0.4 mg/ml
0,9% chlorid sodný 3879
kompatibilný
Injekcia Cisatracurium besylate 0.1 >> 5 mg/ml
Injekcia Metronidazole 5 mg/ml
5% glukóza 299
Okamžité zrážanie nezlučiteľný
Injekcia Cisatracurium besylate 0.5 mg/ml
Injekcia Micafungin 1.5 mg/ml
0,9% chlorid sodný 2108
kompatibilný
Injekcia Cisatracurium besylate
Injekcia Midazolam hydrochloride
3601
kompatibilný
Injekcia Cisatracurium besylate 5 mg/ml
Injekcia Midazolam hydrochloride 2.1 mg/ml
0,9% chlorid sodný 3823
kompatibilný
Injekcia Cisatracurium besylate 0.1 >> 5 mg/ml
Injekcia Midazolam hydrochloride 1 mg/ml
5% glukóza 299
kompatibilný
Injekcia Cisatracurium besylate 0.1 >> 5 mg/ml
Injekcia Minocycline hydrochloride 0.2 mg/ml
5% glukóza 299
kompatibilný
Injekcia Cisatracurium besylate 0.1 >> 5 mg/ml
Injekcia Morphine sulfate 1 mg/ml
5% glukóza 299
kompatibilný
Injekcia Cisatracurium besylate 0.1 >> 5 mg/ml
Injekcia Nalbuphine hydrochloride 10 mg/ml
5% glukóza 299
kompatibilný
Injekcia Cisatracurium besylate 0.1 >> 5 mg/ml
Injekcia Netilmicin sulfate 5 mg/ml
5% glukóza 299
kompatibilný
Injekcia Cisatracurium besylate 1 mg/ml
Injekcia Nicardipine hydrochloride 0,5 mg/ml
0,9% chlorid sodný 3429
kompatibilný
Injekcia Cisatracurium besylate 5 mg/ml
Injekcia Nimodipine 0.2 mg/ml
0,9% chlorid sodný 3823
kompatibilný
Injekcia Cisatracurium besylate 0.1 >> 5 mg/ml
Injekcia Nitroglycerin 0.4 mg/ml
5% glukóza 299
kompatibilný
Injekcia Cisatracurium besylate 5 mg/ml
Injekcia Nitroglycerin 0.2 mg/ml
5% glukóza 3823
Okamžité zrážanie nezlučiteľný
Injekcia Cisatracurium besylate 2 & 5 mg/ml
Injekcia Nitroprusside sodium 2 mg/ml
5% glukóza 299
kompatibilný
Injekcia Cisatracurium besylate 0.1 mg/ml
Injekcia Nitroprusside sodium 2 mg/ml
5% glukóza 299
kompatibilný
Injekcia Cisatracurium besylate 0.1 >> 5 mg/ml
Injekcia Norepinephrine bitartrate 0.12 mg/ml
5% glukóza 299
kompatibilný
Injekcia Cisatracurium besylate 0.1 >> 5 mg/ml
Injekcia Ofloxacin 4 mg/ml
5% glukóza 299
kompatibilný
Injekcia Cisatracurium besylate 5 mg/ml
Injekcia Omeprazole sodium 1.6 mg/ml
0,9% chlorid sodný 3823
kompatibilný
Injekcia Cisatracurium besylate 0.1 >> 5 mg/ml
Injekcia Ondansetron hydrochloride 1 mg/ml
5% glukóza 299
kompatibilný
Injekcia Cisatracurium besylate 0,5 mg/ml
Injekcia Palonosetron hydrochloride 50 µg/ml
5% glukóza 2227
Zákal za jednu hodinu nezlučiteľný
Injekcia Cisatracurium besylate 1 mg/ml
Injekcia Pantoprazole sodium 0,8 mg/ml
0,9% chlorid sodný 3429
kompatibilný
Injekcia Cisatracurium besylate 0.1 >> 5 mg/ml
Injekcia Pethidine hydrochloride 4 mg/ml
5% glukóza 299
kompatibilný
Injekcia Cisatracurium besylate 0.1 >> 5 mg/ml
Injekcia Phenylephrine hydrochloride 1 mg/ml
5% glukóza 299
kompatibilný
Injekcia Cisatracurium besylate 0.1 mg/ml
Injekcia Piperacillin sodium 40 mg/ml
5% glukóza 299
Okamžitá zákal nezlučiteľný
Injekcia Cisatracurium besylate 2 & 5 mg/ml
Injekcia Piperacillin sodium 40 mg/ml
5% glukóza 299
kompatibilný
Injekcia Cisatracurium besylate 0.1 & 2 mg/ml
Injekcia Piperacillin sodium / tazobactam 40/5 mg/ml
5% glukóza 299
Zrážky po 4 hodinách nezlučiteľný
Injekcia Cisatracurium besylate 5 mg/ml
Injekcia Piperacillin sodium / tazobactam 40/5 mg/ml
5% glukóza 299
kompatibilný
Injekcia Cisatracurium besylate 0.4 mg/ml
Injekcia Plazomicin sulfate 24 mg/ml
0,9% chlorid sodný 4145
kompatibilný
Injekcia Cisatracurium besylate 0.1 >> 5 mg/ml
Injekcia Potassium chloride 100 mEq/l
5% glukóza 299
kompatibilný
Injekcia Cisatracurium besylate 5 mg/ml
Injekcia Potassium chloride 10 mEq/l
0,9% chlorid sodný 3823
kompatibilný
Injekcia Cisatracurium besylate 0.1 >> 5 mg/ml
Injekcia Procainamide hydrochloride 10 mg/ml
5% glukóza 299
kompatibilný
Injekcia Cisatracurium besylate 0.1 >> 5 mg/ml
Injekcia Prochlorperazine edysilate 0.5 mg/ml
5% glukóza 299
kompatibilný
Injekcia Cisatracurium besylate 0.1 >> 5 mg/ml
Injekcia Promethazine hydrochloride 2 mg/ml
5% glukóza 299
Nešpecifikovaná nekompatibilita nezlučiteľný
Injekcia Cisatracurium besylate
Injekcia Propofol
3601
kompatibilný
Injekcia Cisatracurium besylate 0.1 >> 5 mg/ml
Injekcia Ranitidine hydrochloride 2 mg/ml
5% glukóza 299
kompatibilný
Injekcia Cisatracurium besylate 5 mg/ml
Injekcia Remifentanil hydrochloride 100 µg/ml
0,9% chlorid sodný 3823
kompatibilný
Injekcia Cisatracurium besylate 2 mg/ml
Injekcia Remifentanil hydrochloride 25 & 250 µg/ml
0,9% chlorid sodný 59
Nešpecifikovaná nekompatibilita nezlučiteľný
Injekcia Cisatracurium besylate
Injekcia Sodium bicarbonate
3466
Zákal za jednu hodinu nezlučiteľný
Injekcia Cisatracurium besylate 2 mg/ml
Injekcia Sodium bicarbonate 84 mg/ml
5% glukóza 299
Nešpecifikovaná nekompatibilita nezlučiteľný
Injekcia Cisatracurium besylate
Injekcia Sodium bicarbonate
3601
kompatibilný
Injekcia Cisatracurium besylate 0.1 mg/ml
Injekcia Sodium bicarbonate 84 mg/ml
5% glukóza 299
Okamžitá zákal nezlučiteľný
Injekcia Cisatracurium besylate 5 mg/ml
Injekcia Sodium bicarbonate 84 mg/ml
5% glukóza 299
Zákal za 2 hodiny nezlučiteľný
Injekcia Cisatracurium besylate 5 mg/ml
Injekcia Sodium bicarbonate 84 mg/ml
Žiadny 3212
kompatibilný
Injekcia Cisatracurium besylate 0.1 >> 5 mg/ml
Injekcia Sufentanil citrate 0.0125 mg/ml
5% glukóza 299
kompatibilný
Injekcia Cisatracurium besylate
Injekcia Sufentanil citrate
3601
kompatibilný
Injekcia Cisatracurium besylate 0,4 mg/ml
Injekcia Sulbactam/durlobactam 15/15 mg/ml
0,9% chlorid sodný 4801
kompatibilný
Injekcia Cisatracurium besylate 0.4 mg/ml
Injekcia Tedizolid phosphate 0.8 mg/ml
0,9% chlorid sodný 3827
kompatibilný
Injekcia Cisatracurium besylate 0.1 >> 5 mg/ml
Injekcia Theophylline 3.2 mg/ml
5% glukóza 299
Nešpecifikovaná nekompatibilita nezlučiteľný
Injekcia Cisatracurium besylate
Injekcia Thiopental sodium
3601
kompatibilný
Injekcia Cisatracurium besylate 0.1 mg/ml
Injekcia Thiopental sodium 25 mg/ml
5% glukóza 299
Nešpecifikovaná nekompatibilita nezlučiteľný
Injekcia Cisatracurium besylate 5 mg/ml
Injekcia Thiopental sodium 60 mg/ml
0,9% chlorid sodný 3823
Okamžité zrážanie nezlučiteľný
Injekcia Cisatracurium besylate 2 & 5 mg/ml
Injekcia Thiopental sodium 25 mg/ml
5% glukóza 299
kompatibilný
Injekcia Cisatracurium besylate 0.1 & 2 mg/ml
Injekcia Ticarcillin / clavulanic acid 30 mg/ml
5% glukóza 299
Okamžitá zákal nezlučiteľný
Injekcia Cisatracurium besylate 5 mg/ml
Injekcia Ticarcillin / clavulanic acid 30 mg/ml
5% glukóza 299
kompatibilný
Injekcia Cisatracurium besylate 0.1 >> 5 mg/ml
Injekcia Tobramycin sulfate 5 mg/ml
5% glukóza 299
kompatibilný
Injekcia Cisatracurium besylate 0.1 >> 5 mg/ml
Injekcia Vancomycin hydrochloride 10 mg/ml
5% glukóza 299
kompatibilný
Injekcia Cisatracurium besylate 1 mg/ml
Injekcia Vasopressin 1 UI/ml
0,9% chlorid sodný 3429
kompatibilný
Injekcia Cisatracurium besylate 0.1 >> 5 mg/ml
Injekcia Zidovudine 4 mg/ml
5% glukóza 299

  Mentions Légales