Son güncelleme :
27/01/2026
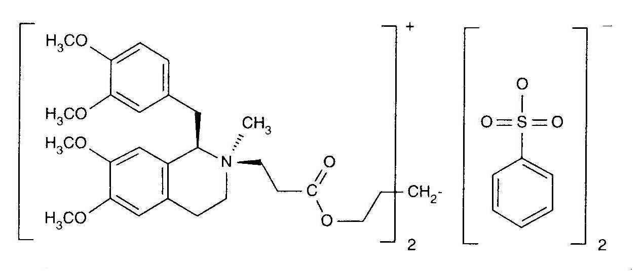
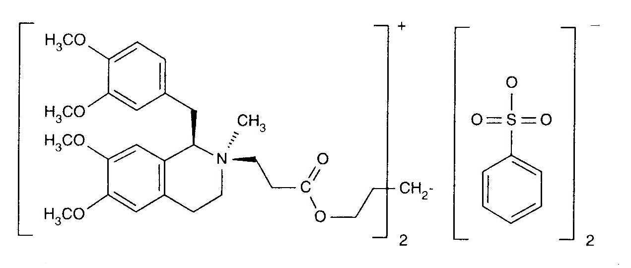
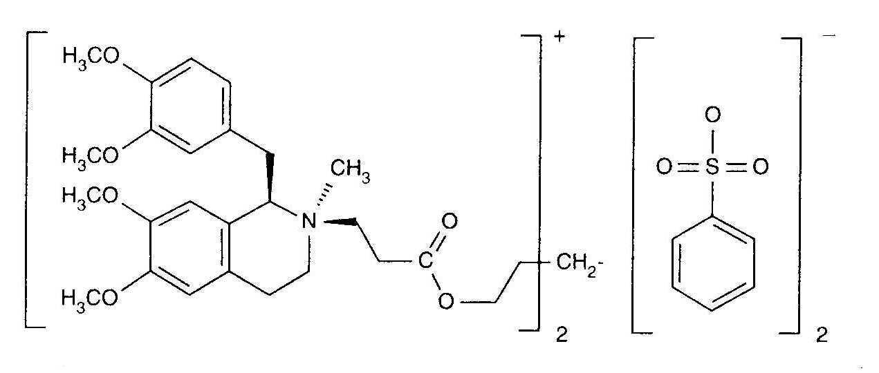
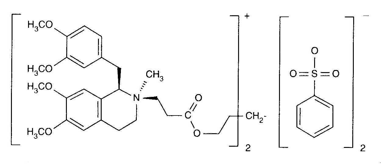
Kurarimimetik   Cisatracurium besylate  
Enjeksiyon
Çözeltilerin stabilitesi Karışımlardaki stabilitesi Stabiliteyi etkileyen faktörler Uyumluluk Uygulama yöntemi Kaynaklar pdf
   Kimyasal yapı   

Ticari isim   Ticari isim     

Trade names are indicative and excipients composition can be different depending on the country and manufacturers

Bensitrak Meksika
Besilato de cisatracurio
Cicuryl Meksika
Cirium Kolombiya
Cis Atracure
Cisatracurio Brezilya, Ekvador, İspanya, İtalya, Kolombiya, Peru, Şili
Cisatracurium Almanya, Belçika, Büyük Britanya, Finlandiya, Fransa, İrlanda, Kanada, Macaristan, Tunus
Nimbex Almanya, Amerika Birleşik Devletleri, Avusturya, Belçika, Birleşik Arap Emirlikleri, Büyük Britanya, Danimarka, Ekvador, Finlandiya, Fransa, Hollanda, İran, İrlanda, İspanya, İsveç, İtalya, Kanada, Lüksemburg, Macaristan, Malezya, Meksika, Mısır, Norveç, Peru, Polonya, Portekiz, Şili, Slovenya, Suudi Arabistan, Tunus, Türkiye, Venezuela, Yunanistan
Nimbium Brezilya, Kolombiya
Uyumluluk   Enjeksiyon    Uyumluluk : Cisatracurium besylate              
Bu ekran, bu durumda uyumsuzluk tipiyle (çökelme, renk değişimi, bir emülsiyonun modifikasyonu, vb.) Uyumlulukları veya uyumsuzlukları gösterir. Burada gösterilen uyumluluklar çoğunlukla yalnızca fizikseldir ve her molekülün kimyasal stabilitesi nadiren değerlendirilir. Bu karışımların değerlendirilmesi, hastaya Y bölgesi uygulama olasılığını göz önünde bulundurmak için çalışıldı. Bu veriler önceden torba veya şırıngalarda karışım yapmak için kullanılamaz. Bu tür bilgiler "Karışımda stabilite" ekranında mevcuttur.
Bileşik Çözücü Kaynaklar
Acil yağış uyumsuz
Enjeksiyon Cisatracurium besylate 5 mg/ml
Enjeksiyon Aciclovir sodium 7 mg/ml
Glukoz %5 299
Uyumlu
Enjeksiyon Cisatracurium besylate 0.1 & 2 mg/ml
Enjeksiyon Aciclovir sodium 7 mg/ml
Glukoz %5 299
Uyumlu
Enjeksiyon Cisatracurium besylate
Enjeksiyon Alfentanil hydrochloride
3601
Uyumlu
Enjeksiyon Cisatracurium besylate 0.1 >> 5 mg/ml
Enjeksiyon Alfentanil hydrochloride 125 µg/ml
Glukoz %5 299
Acil yağış uyumsuz
Enjeksiyon Cisatracurium besylate 1,2 mg/ml
Enjeksiyon Alprostadil 20 µg/ml
Glukoz %5 4651
Acil yağış uyumsuz
Enjeksiyon Cisatracurium besylate 1,2 mg/ml
Enjeksiyon Alprostadil 20 µg/ml
Glukoz %5 4491
Uyumlu
Enjeksiyon Cisatracurium besylate 0.1 >> 5 mg/ml
Enjeksiyon Amikacin sulfate 5 mg/ml
Glukoz %5 299
Uyumlu
Enjeksiyon Cisatracurium besylate 0.1 & 2 mg/ml
Enjeksiyon Aminophylline 2.5 mg/ml
Glukoz %5 299
Bir saat içinde bulanıklık uyumsuz
Enjeksiyon Cisatracurium besylate 5 mg/ml
Enjeksiyon Aminophylline 2.5 mg/ml
Glukoz %5 299
Uyumlu
Enjeksiyon Cisatracurium besylate
Enjeksiyon Amiodarone hydrochloride
3464
Uyumlu
Enjeksiyon Cisatracurium besylate 5 mg/ml
Enjeksiyon Amiodarone hydrochloride 15 mg/ml
Glukoz %5 3823
Uyumlu
Enjeksiyon Cisatracurium besylate 0.1 mg/ml
Enjeksiyon Amphotericin B 0.6 mg/ml
Glukoz %5 299
Acil yağış uyumsuz
Enjeksiyon Cisatracurium besylate 2 & 5 mg/ml
Enjeksiyon Amphotericin B 0.6 mg/ml
Glukoz %5 299
Acil yağış uyumsuz
Enjeksiyon Cisatracurium besylate 2 mg/ml
Enjeksiyon Amphotericin B cholesteryl sulfate complex 0.83 mg/ml
Glukoz %5 921
Bir saat içinde bulanıklık uyumsuz
Enjeksiyon Cisatracurium besylate 5 mg/ml
Enjeksiyon Ampicillin sodium 20 mg/ml
Sodyum klorür % 0,9 299
Uyumlu
Enjeksiyon Cisatracurium besylate 0.1 & 2 mg/ml
Enjeksiyon Ampicillin sodium 20 mg/ml
Glukoz %5 299
Bir saat içinde bulanıklık uyumsuz
Enjeksiyon Cisatracurium besylate 5 mg/ml
Enjeksiyon Ampicillin sodium 20 mg/ml
Glukoz %5 299
Anında bulanıklık uyumsuz
Enjeksiyon Cisatracurium besylate 5 mg/ml
Enjeksiyon Ampicillin sodium - sulbactam sodium 20/10 mg/ml
Glukoz %5 299
Anında bulanıklık uyumsuz
Enjeksiyon Cisatracurium besylate 5 mg/ml
Enjeksiyon Ampicillin sodium - sulbactam sodium 20/10 mg/ml
Sodyum klorür % 0,9 299
Uyumlu
Enjeksiyon Cisatracurium besylate 0.1 & 2 mg/ml
Enjeksiyon Ampicillin sodium - sulbactam sodium 20/10 mg/ml
Glukoz %5 299
Uyumlu
Enjeksiyon Cisatracurium besylate 0.1 >> 5 mg/ml
Enjeksiyon Aztreonam 40 mg/ml
Glukoz %5 299
Uyumlu
Enjeksiyon Cisatracurium besylate 0.1 >> 5 mg/ml
Enjeksiyon Bumetanide 0.04 mg/ml
Glukoz %5 299
Uyumlu
Enjeksiyon Cisatracurium besylate 0.1 >> 5 mg/ml
Enjeksiyon Buprenorphine hydrochloride 0.04 mg/ml
Glukoz %5 299
Uyumlu
Enjeksiyon Cisatracurium besylate 0.1 >> 5 mg/ml
Enjeksiyon Butorphanol tartrate 0.04 mg/ml
Glukoz %5 299
Uyumlu
Enjeksiyon Cisatracurium besylate 0.1 >> 5 mg/ml
Enjeksiyon Calcium gluconate 40 mg/ml
Glukoz %5 299
Uyumlu
Enjeksiyon Cisatracurium besylate 1 mg/ml
Enjeksiyon Calcium gluconate 20 mg/ml
Sodyum klorür % 0,9 3429
Anında bulanıklık uyumsuz
Enjeksiyon Cisatracurium besylate 2 & 5 mg/ml
Enjeksiyon Cefazolin sodium 20 mg/ml
Glukoz %5 299
Uyumlu
Enjeksiyon Cisatracurium besylate 0.1 mg/ml
Enjeksiyon Cefazolin sodium 20 mg/ml
Glukoz %5 299
Uyumlu
Enjeksiyon Cisatracurium besylate 0.4 mg/ml
Enjeksiyon Cefiderocol sulfate tosylate 20 mg/mL
Glukoz %5 4528
Uyumlu
Enjeksiyon Cisatracurium besylate 0.4 mg/ml
Enjeksiyon Cefiderocol sulfate tosylate 20 mg/mL
Sodyum klorür % 0,9 4528
Acil yağış uyumsuz
Enjeksiyon Cisatracurium besylate 0.1 >> 5 mg/ml
Enjeksiyon Cefoperazone sodium 40 mg/ml
Glukoz %5 299
Uyumlu
Enjeksiyon Cisatracurium besylate 0.1 >> 5 mg/ml
Enjeksiyon Cefoperazone sodium 40 mg/ml
Glukoz %5 299
4 saat içinde bulanıklık uyumsuz
Enjeksiyon Cisatracurium besylate 2 mg/ml
Enjeksiyon Cefotaxime sodium 20 mg/ml
Glukoz %5 299
Anında bulanıklık uyumsuz
Enjeksiyon Cisatracurium besylate 5 mg/ml
Enjeksiyon Cefotaxime sodium 20 mg/ml
Glukoz %5 299
Uyumlu
Enjeksiyon Cisatracurium besylate 0.1 mg/ml
Enjeksiyon Cefotaxime sodium 20 mg/ml
Glukoz %5 299
Uyumlu
Enjeksiyon Cisatracurium besylate 0.1 mg/ml
Enjeksiyon Cefoxitin sodium 20 mg/ml
Glukoz %5 299
Anında bulanıklık uyumsuz
Enjeksiyon Cisatracurium besylate 2 & 5 mg/ml
Enjeksiyon Cefoxitin sodium 20 mg/ml
Glukoz %5 299
Uyumlu
Enjeksiyon Cisatracurium besylate 0,5 mg/ml
Enjeksiyon Ceftaroline fosamil 2,22 mg/ml
Laktatlı ringer 3249
Uyumlu
Enjeksiyon Cisatracurium besylate 0,5 mg/ml
Enjeksiyon Ceftaroline fosamil 2,22 mg/ml
Glukoz %5 3249
Uyumlu
Enjeksiyon Cisatracurium besylate 0,5 mg/ml
Enjeksiyon Ceftaroline fosamil 2,22 mg/ml
Sodyum klorür % 0,9 3249
Anında bulanıklık uyumsuz
Enjeksiyon Cisatracurium besylate 5 mg/ml
Enjeksiyon Ceftazidime 40 mg/ml
Glukoz %5 299
Uyumlu
Enjeksiyon Cisatracurium besylate 0.1 & 2 mg/ml
Enjeksiyon Ceftazidime 40 mg/ml
Glukoz %5 299
Uyumlu
Enjeksiyon Cisatracurium besylate 0.1 & 2 mg/ml
Enjeksiyon Ceftizoxime sodium 20 mg/ml
Glukoz %5 299
Bir saat içinde bulanıklık uyumsuz
Enjeksiyon Cisatracurium besylate 5 mg/ml
Enjeksiyon Ceftizoxime sodium 20 mg/ml
Glukoz %5 299
Acil yağış uyumsuz
Enjeksiyon Cisatracurium besylate 0.5 mg/ml
Enjeksiyon Ceftobiprole medocaril sodium 2 mg/ml
Sodyum klorür % 0,9 2269
Acil yağış uyumsuz
Enjeksiyon Cisatracurium besylate 0.5 mg/ml
Enjeksiyon Ceftobiprole medocaril sodium 2 mg/ml
Laktatlı ringer 2269
Acil yağış uyumsuz
Enjeksiyon Cisatracurium besylate 0.5 mg/ml
Enjeksiyon Ceftobiprole medocaril sodium 2 mg/ml
Glukoz %5 2269
Belirtilmemiş uyumsuzluk uyumsuz
Enjeksiyon Cisatracurium besylate
Enjeksiyon Ceftobiprole medocaril sodium
4650
Uyumlu
Enjeksiyon Cisatracurium besylate 0.4 mg/ml
Enjeksiyon Ceftolozane / tazobactam 10/5 mg/ml
Glukoz %5 3828
Uyumlu
Enjeksiyon Cisatracurium besylate 0.4 mg/ml
Enjeksiyon Ceftolozane / tazobactam 10/5 mg/ml
Sodyum klorür % 0,9 3828
Uyumlu
Enjeksiyon Cisatracurium besylate 0.1 >> 5 mg/ml
Enjeksiyon Ceftriaxone disodium 20 mg/ml
Glukoz %5 299
Acil yağış uyumsuz
Enjeksiyon Cisatracurium besylate 2 & 5 mg/ml
Enjeksiyon Cefuroxime sodium 30 mg/ml
Glukoz %5 299
Uyumlu
Enjeksiyon Cisatracurium besylate 0.1 >> 5 mg/ml
Enjeksiyon Chlorpromazine hydrochloride 2 mg/ml
Glukoz %5 299
Uyumlu
Enjeksiyon Cisatracurium besylate 0.1 >> 5 mg/ml
Enjeksiyon Cimetidine hydrochloride 12 mg/ml
Glukoz %5 299
Uyumlu
Enjeksiyon Cisatracurium besylate 0.1 >> 5 mg/ml
Enjeksiyon Ciprofloxacin lactate 1 mg/ml
Glukoz %5 299
Uyumlu
Enjeksiyon Cisatracurium besylate 0.1 >> 5 mg/ml
Enjeksiyon Clindamycin phosphate 10 mg/ml
Glukoz %5 299
Uyumlu
Enjeksiyon Cisatracurium besylate 5 mg/ml
Enjeksiyon Clonazepam 0.2 mg/ml
Sodyum klorür % 0,9 3823
Uyumlu
Enjeksiyon Cisatracurium besylate 5 mg/ml
Enjeksiyon Clonidine hydrochloride 0.012 mg/ml
Sodyum klorür % 0,9 3823
Anında bulanıklık uyumsuz
Enjeksiyon Cisatracurium besylate 2 & 5 mg/ml
Enjeksiyon Co-trimoxazole 0,8/4 mg/ml
Glukoz %5 299
Uyumlu
Enjeksiyon Cisatracurium besylate 0.1 mg/ml
Enjeksiyon Co-trimoxazole 0.8/4 mg/ml
Glukoz %5 299
Uyumlu
Enjeksiyon Cisatracurium besylate 0.5 mg/ml
Enjeksiyon Dexmedetomidine 4 µg/ml
Sodyum klorür % 0,9 1712
Uyumlu
Enjeksiyon Cisatracurium besylate 0.1 >> 5 mg/ml
Enjeksiyon Diazepam 0.25 mg/ml
Glukoz %5 299
Acil yağış uyumsuz
Enjeksiyon Cisatracurium besylate 0.1 >> 5 mg/ml
Enjeksiyon Diazepam 5 mg/ml
Glukoz %5 299
Belirtilmemiş uyumsuzluk uyumsuz
Enjeksiyon Cisatracurium besylate 5 mg/ml
Enjeksiyon Diclofenac 3 mg/ml
Sodyum klorür % 0,9 3823
Uyumlu
Enjeksiyon Cisatracurium besylate 0.1 >> 5 mg/ml
Enjeksiyon Digoxin 250 µg/ml
Glukoz %5 299
Uyumlu
Enjeksiyon Cisatracurium besylate 1 mg/ml
Enjeksiyon Diltiazem hydrochloride 1 mg/ml
Sodyum klorür % 0,9 3429
Uyumlu
Enjeksiyon Cisatracurium besylate 0.1 >> 5 mg/ml
Enjeksiyon Diphenhydramine hydrochloride 2 mg/ml
Glukoz %5 299
Uyumlu
Enjeksiyon Cisatracurium besylate 0.1 >> 5 mg/ml
Enjeksiyon Dobutamine hydrochloride 4 mg/ml
Glukoz %5 299
Uyumlu
Enjeksiyon Cisatracurium besylate 0.1 >> 5 mg/ml
Enjeksiyon Dopamine hydrochloride 3.2 mg/ml
Glukoz %5 299
Uyumlu
Enjeksiyon Cisatracurium besylate 0.1 >> 5 mg/ml
Enjeksiyon Doxycycline hyclate 1 mg/ml
Glukoz %5 299
Uyumlu
Enjeksiyon Cisatracurium besylate
Enjeksiyon Droperidol
3601
Uyumlu
Enjeksiyon Cisatracurium besylate 0.1 >> 5 mg/ml
Enjeksiyon Droperidol 2.5 mg/ml
Glukoz %5 299
Uyumlu
Enjeksiyon Cisatracurium besylate 0.1 >> 5 mg/ml
Enjeksiyon Enalaprilate 0.1 mg/ml
Glukoz %5 299
Uyumlu
Enjeksiyon Cisatracurium besylate 0.1 >> 5 mg/ml
Enjeksiyon Epinephrine hydrochloride 50 µg/ml
Glukoz %5 299
Uyumlu
Enjeksiyon Cisatracurium besylate 0,4 mg/ml
Enjeksiyon Eravacycline 0,6 mg/ml
Sodyum klorür % 0,9 4434
Uyumlu
Enjeksiyon Cisatracurium besylate 0.1 >> 5 mg/ml
Enjeksiyon Esmolol hydrochloride 10 mg/ml
Glukoz %5 299
Uyumlu
Enjeksiyon Cisatracurium besylate 0.4 mg/ml
Enjeksiyon Fosfomycin 30 mg/ml
Glukoz %5 4055
Anında bulanıklık uyumsuz
Enjeksiyon Cisatracurium besylate 5 mg/ml
NaHCO3 3823
Uyumlu
Enjeksiyon Cisatracurium besylate 5 mg/ml
Enjeksiyon Esmolol hydrochloride 10 mg/ml
Sodyum klorür % 0,9 3823
Uyumlu
Enjeksiyon Cisatracurium besylate 2 mg/ml
Enjeksiyon Esmolol hydrochloride 10 mg/ml
Sodyum klorür % 0,9 3879
Uyumlu
Enjeksiyon Cisatracurium besylate 1 mg/ml
Enjeksiyon Esomeprazole sodium 0,4 mg/ml
Sodyum klorür % 0,9 3429
Uyumlu
Enjeksiyon Cisatracurium besylate 0.1 >> 5 mg/ml
Enjeksiyon Famotidine 2 mg/ml
Glukoz %5 299
Uyumlu
Enjeksiyon Cisatracurium besylate 0.5 mg/ml
Enjeksiyon Fenoldopam mesylate 80 µg/ml
Sodyum klorür % 0,9 1803
Uyumlu
Enjeksiyon Cisatracurium besylate 0.1 >> 5 mg/ml
Enjeksiyon Fentanyl citrate 12.5 µg/ml
Glukoz %5 299
Uyumlu
Enjeksiyon Cisatracurium besylate
Enjeksiyon Fentanyl citrate
3601
Uyumlu
Enjeksiyon Cisatracurium besylate 0.1 >> 5 mg/ml
Enjeksiyon Fluconazole 2 mg/ml
Glukoz %5 299
Uyumlu
Enjeksiyon Cisatracurium besylate 0.4 mg/ml
Enjeksiyon Fosfomycin 30 mg/ml
Sodyum klorür % 0,9 4055
Belirtilmemiş uyumsuzluk uyumsuz
Enjeksiyon Cisatracurium besylate
Enjeksiyon Furosemide
3465
Anında bulanıklık uyumsuz
Enjeksiyon Cisatracurium besylate 2 & 5 mg/ml
NaHCO3 299
Acil yağış uyumsuz
Enjeksiyon Cisatracurium besylate 5 mg/ml
Enjeksiyon Furosemide 10 mg/ml
Sodyum klorür % 0,9 3463
Uyumlu
Enjeksiyon Cisatracurium besylate 0.1 mg/ml
Enjeksiyon Furosemide 3 mg/ml
Glukoz %5 299
Belirtilmemiş uyumsuzluk uyumsuz
Enjeksiyon Cisatracurium besylate 5 mg/ml
Enjeksiyon Furosemide 10 mg/ml
Sodyum klorür % 0,9 3823
Acil yağış uyumsuz
Enjeksiyon Cisatracurium besylate 5 mg/ml
Enjeksiyon Ganciclovir sodium 20 mg/ml
Glukoz %5 299
Belirtilmemiş uyumsuzluk uyumsuz
Enjeksiyon Cisatracurium besylate
NaHCO3 3466
Uyumlu
Enjeksiyon Cisatracurium besylate 0.1 & 2 mg/ml
Enjeksiyon Ganciclovir sodium 20 mg/ml
Glukoz %5 299
Belirtilmemiş uyumsuzluk uyumsuz
Enjeksiyon Cisatracurium besylate
NaHCO3 3601
Acil yağış uyumsuz
Enjeksiyon Cisatracurium besylate 2 & 5 mg/ml
Enjeksiyon Furosemide 3 mg/ml
Glukoz %5 299
Belirtilmemiş uyumsuzluk uyumsuz
Enjeksiyon Cisatracurium besylate 5 mg/ml
Enjeksiyon Furosemide 10 mg/ml
Yok 3134
Uyumlu
Enjeksiyon Cisatracurium besylate 0.1 >> 5 mg/ml
Enjeksiyon Gentamicin sulfate 5 mg/ml
Glukoz %5 299
Uyumlu
Enjeksiyon Cisatracurium besylate 0.1 >> 5 mg/ml
Enjeksiyon Haloperidol lactate 0.2 mg/ml
Glukoz %5 299
Acil yağış uyumsuz
Enjeksiyon Cisatracurium besylate 5 mg/ml
Enjeksiyon Heparin sodium 100 UI/ml
Glukoz %5 299
4 saat sonra emülsiyonun kararsızlığı uyumsuz
Enjeksiyon Cisatracurium besylate 2 mg/ml
Parenteral beslenme (Lipidler) 4507
Belirtilmemiş uyumsuzluk uyumsuz
Enjeksiyon Cisatracurium besylate
Laktatlı ringer 3601
Renk değişimi uyumsuz
Enjeksiyon Cisatracurium besylate 5 mg/ml
Enjeksiyon Heparin sodium 500 UI/ml
Sodyum klorür % 0,9 3463
Uyumlu
Enjeksiyon Cisatracurium besylate 0.1 & 2 mg/ml
Enjeksiyon Heparin sodium 100 UI/ml
Glukoz %5 299
Belirtilmemiş uyumsuzluk uyumsuz
Enjeksiyon Cisatracurium besylate 5 mg/ml
Enjeksiyon Heparin sodium 500 UI/ml
Sodyum klorür % 0,9 3823
Uyumlu
Enjeksiyon Cisatracurium besylate
Glukoz %5 3601
Belirtilmemiş uyumsuzluk uyumsuz
Enjeksiyon Cisatracurium besylate
Enjeksiyon Heparin sodium
3540
Uyumlu
Enjeksiyon Cisatracurium besylate 0.5 mg/ml
Enjeksiyon Hetastarch 60 mg/ml
çözücü Özgül 1721
Uyumlu
Enjeksiyon Cisatracurium besylate 0.1 >> 5 mg/ml
Enjeksiyon Hydrocortisone sodium succinate 1 mg/ml
Glukoz %5 299
Uyumlu
Enjeksiyon Cisatracurium besylate 2 mg/ml
Enjeksiyon Hydrocortisone sodium succinate 1 mg/ml
Sodyum klorür % 0,9 4465
Uyumlu
Enjeksiyon Cisatracurium besylate 0.1 >> 5 mg/ml
Enjeksiyon Hydromorphone hydrochloride 0.5 mg/ml
Glukoz %5 299
Uyumlu
Enjeksiyon Cisatracurium besylate 0.1 >> 5 mg/ml
Enjeksiyon Hydroxyzine dihydrochloride 2 mg/ml
Glukoz %5 299
Uyumlu
Enjeksiyon Cisatracurium besylate 0.1 >> 5 mg/ml
Enjeksiyon Imipenem - cilastatin sodium 10 mg/ml
Glukoz %5 299
Uyumlu
Enjeksiyon Cisatracurium besylate 0,4 mg/ml
Enjeksiyon Imipenem-Cilastatin / Relebactam 5 mg/ml
Sodyum klorür % 0,9 4433
Uyumlu
Enjeksiyon Cisatracurium besylate 0,4 mg/ml
Enjeksiyon Imipenem-Cilastatin / Relebactam 5 mg/ml
Glukoz %5 4433
Uyumlu
Enjeksiyon Cisatracurium besylate 1 mg/ml
Enjeksiyon Insulin 1 UI/ml
Sodyum klorür % 0,9 3429
Uyumlu
Enjeksiyon Cisatracurium besylate 5 mg/ml
Enjeksiyon Insulin 2 UI/ml
Sodyum klorür % 0,9 3823
Uyumlu
Enjeksiyon Cisatracurium besylate 0.4 mg/ml
Enjeksiyon Isavuconazonium sulfate 1.5 mg/ml
Sodyum klorür % 0,9 3829
Uyumlu
Enjeksiyon Cisatracurium besylate 0.4 mg/ml
Enjeksiyon Isavuconazonium sulfate 1.5 mg/ml
Glukoz %5 3829
Uyumlu
Enjeksiyon Cisatracurium besylate 0.1 >> 5 mg/ml
Enjeksiyon Isoprenaline hydrochloride 0.02 mg/ml
Glukoz %5 299
Uyumlu
Enjeksiyon Cisatracurium besylate 0.1 >> 5 mg/ml
Enjeksiyon Ketorolac tromethamine 15 mg/ml
Glukoz %5 299
Belirtilmemiş uyumsuzluk uyumsuz
Enjeksiyon Cisatracurium besylate
Enjeksiyon Ketorolac tromethamine
3601
Uyumlu
Enjeksiyon Cisatracurium besylate 0.1 >> 5 mg/ml
Enjeksiyon Lorazepam 0.5 mg/ml
Glukoz %5 299
Uyumlu
Enjeksiyon Cisatracurium besylate 0.1 >> 5 mg/ml
Enjeksiyon Magnesium sulfate 100 mg/ml
Glukoz %5 299
Uyumlu
Enjeksiyon Cisatracurium besylate 0.1 >> 5 mg/ml
Enjeksiyon Mannitol 150 mg/ml
Glukoz %5 299
Uyumlu
Enjeksiyon Cisatracurium besylate
Sodyum klorür % 0,9 3601
Uyumlu
Enjeksiyon Cisatracurium besylate 2 mg/ml
Enjeksiyon Labetalol hydrochloride 5 mg/ml
Sodyum klorür % 0,9 3879
Uyumlu
Enjeksiyon Cisatracurium besylate 1 mg/ml
Enjeksiyon Levetiracetam 5 mg/ml
Sodyum klorür % 0,9 4569
Uyumlu
Enjeksiyon Cisatracurium besylate 0.1 >> 5 mg/ml
Enjeksiyon Lidocaine hydrochloride 8 mg/ml
Glukoz %5 299
Uyumlu
Enjeksiyon Cisatracurium besylate 2 mg/ml
Enjeksiyon Linezolid 2 mg/ml
Yok 1925
Uyumlu
Enjeksiyon Cisatracurium besylate 0.1 mg/ml
Enjeksiyon Methylprednisolone sodium succinate 5 mg/ml
Glukoz %5 299
Anında bulanıklık uyumsuz
Enjeksiyon Cisatracurium besylate 2 & 5 mg/ml
Enjeksiyon Methylprednisolone sodium succinate 5 mg/ml
Glukoz %5 299
Uyumlu
Enjeksiyon Cisatracurium besylate 0.1 >> 5 mg/ml
Enjeksiyon Metoclopramide hydrochloride 5 mg/ml
Glukoz %5 299
Uyumlu
Enjeksiyon Cisatracurium besylate 2 mg/ml
Enjeksiyon Metoprolol tartrate 0.4 mg/ml
Sodyum klorür % 0,9 3879
Uyumlu
Enjeksiyon Cisatracurium besylate 0.1 >> 5 mg/ml
Enjeksiyon Metronidazole 5 mg/ml
Glukoz %5 299
Acil yağış uyumsuz
Enjeksiyon Cisatracurium besylate 0.5 mg/ml
Enjeksiyon Micafungin 1.5 mg/ml
Sodyum klorür % 0,9 2108
Uyumlu
Enjeksiyon Cisatracurium besylate
Enjeksiyon Midazolam hydrochloride
3601
Uyumlu
Enjeksiyon Cisatracurium besylate 5 mg/ml
Enjeksiyon Midazolam hydrochloride 2.1 mg/ml
Sodyum klorür % 0,9 3823
Uyumlu
Enjeksiyon Cisatracurium besylate 0.1 >> 5 mg/ml
Enjeksiyon Midazolam hydrochloride 1 mg/ml
Glukoz %5 299
Uyumlu
Enjeksiyon Cisatracurium besylate 0.1 >> 5 mg/ml
Enjeksiyon Minocycline hydrochloride 0.2 mg/ml
Glukoz %5 299
Uyumlu
Enjeksiyon Cisatracurium besylate 0.1 >> 5 mg/ml
Enjeksiyon Morphine sulfate 1 mg/ml
Glukoz %5 299
Uyumlu
Enjeksiyon Cisatracurium besylate 0.1 >> 5 mg/ml
Enjeksiyon Nalbuphine hydrochloride 10 mg/ml
Glukoz %5 299
Uyumlu
Enjeksiyon Cisatracurium besylate 0.1 >> 5 mg/ml
Enjeksiyon Netilmicin sulfate 5 mg/ml
Glukoz %5 299
Uyumlu
Enjeksiyon Cisatracurium besylate 1 mg/ml
Enjeksiyon Nicardipine hydrochloride 0,5 mg/ml
Sodyum klorür % 0,9 3429
Uyumlu
Enjeksiyon Cisatracurium besylate 5 mg/ml
Enjeksiyon Nimodipine 0.2 mg/ml
Sodyum klorür % 0,9 3823
Uyumlu
Enjeksiyon Cisatracurium besylate 0.1 >> 5 mg/ml
Enjeksiyon Nitroglycerin 0.4 mg/ml
Glukoz %5 299
Uyumlu
Enjeksiyon Cisatracurium besylate 5 mg/ml
Enjeksiyon Nitroglycerin 0.2 mg/ml
Glukoz %5 3823
Acil yağış uyumsuz
Enjeksiyon Cisatracurium besylate 2 & 5 mg/ml
Enjeksiyon Nitroprusside sodium 2 mg/ml
Glukoz %5 299
Uyumlu
Enjeksiyon Cisatracurium besylate 0.1 mg/ml
Enjeksiyon Nitroprusside sodium 2 mg/ml
Glukoz %5 299
Uyumlu
Enjeksiyon Cisatracurium besylate 0.1 >> 5 mg/ml
Enjeksiyon Norepinephrine bitartrate 0.12 mg/ml
Glukoz %5 299
Uyumlu
Enjeksiyon Cisatracurium besylate 0.1 >> 5 mg/ml
Enjeksiyon Ofloxacin 4 mg/ml
Glukoz %5 299
Uyumlu
Enjeksiyon Cisatracurium besylate 5 mg/ml
Enjeksiyon Omeprazole sodium 1.6 mg/ml
Sodyum klorür % 0,9 3823
Uyumlu
Enjeksiyon Cisatracurium besylate 0.1 >> 5 mg/ml
Enjeksiyon Ondansetron hydrochloride 1 mg/ml
Glukoz %5 299
Uyumlu
Enjeksiyon Cisatracurium besylate 0,5 mg/ml
Enjeksiyon Palonosetron hydrochloride 50 µg/ml
Glukoz %5 2227
Bir saat içinde bulanıklık uyumsuz
Enjeksiyon Cisatracurium besylate 1 mg/ml
Enjeksiyon Pantoprazole sodium 0,8 mg/ml
Sodyum klorür % 0,9 3429
Uyumlu
Enjeksiyon Cisatracurium besylate 0.1 >> 5 mg/ml
Enjeksiyon Pethidine hydrochloride 4 mg/ml
Glukoz %5 299
Uyumlu
Enjeksiyon Cisatracurium besylate 0.1 >> 5 mg/ml
Enjeksiyon Phenylephrine hydrochloride 1 mg/ml
Glukoz %5 299
Uyumlu
Enjeksiyon Cisatracurium besylate 0.1 mg/ml
Enjeksiyon Piperacillin sodium 40 mg/ml
Glukoz %5 299
Anında bulanıklık uyumsuz
Enjeksiyon Cisatracurium besylate 2 & 5 mg/ml
Enjeksiyon Piperacillin sodium 40 mg/ml
Glukoz %5 299
Uyumlu
Enjeksiyon Cisatracurium besylate 0.1 & 2 mg/ml
Enjeksiyon Piperacillin sodium / tazobactam 40/5 mg/ml
Glukoz %5 299
4 saat sonra yağış uyumsuz
Enjeksiyon Cisatracurium besylate 5 mg/ml
Enjeksiyon Piperacillin sodium / tazobactam 40/5 mg/ml
Glukoz %5 299
Uyumlu
Enjeksiyon Cisatracurium besylate 0.4 mg/ml
Enjeksiyon Plazomicin sulfate 24 mg/ml
Sodyum klorür % 0,9 4145
Uyumlu
Enjeksiyon Cisatracurium besylate 0.1 >> 5 mg/ml
Enjeksiyon Potassium chloride 100 mEq/l
Glukoz %5 299
Uyumlu
Enjeksiyon Cisatracurium besylate 5 mg/ml
Enjeksiyon Potassium chloride 10 mEq/l
Sodyum klorür % 0,9 3823
Uyumlu
Enjeksiyon Cisatracurium besylate 0.1 >> 5 mg/ml
Enjeksiyon Procainamide hydrochloride 10 mg/ml
Glukoz %5 299
Uyumlu
Enjeksiyon Cisatracurium besylate 0.1 >> 5 mg/ml
Enjeksiyon Prochlorperazine edysilate 0.5 mg/ml
Glukoz %5 299
Uyumlu
Enjeksiyon Cisatracurium besylate 0.1 >> 5 mg/ml
Enjeksiyon Promethazine hydrochloride 2 mg/ml
Glukoz %5 299
Belirtilmemiş uyumsuzluk uyumsuz
Enjeksiyon Cisatracurium besylate
Enjeksiyon Propofol
3601
Uyumlu
Enjeksiyon Cisatracurium besylate 0.1 >> 5 mg/ml
Enjeksiyon Ranitidine hydrochloride 2 mg/ml
Glukoz %5 299
Uyumlu
Enjeksiyon Cisatracurium besylate 5 mg/ml
Enjeksiyon Remifentanil hydrochloride 100 µg/ml
Sodyum klorür % 0,9 3823
Uyumlu
Enjeksiyon Cisatracurium besylate 2 mg/ml
Enjeksiyon Remifentanil hydrochloride 25 & 250 µg/ml
Sodyum klorür % 0,9 59
Belirtilmemiş uyumsuzluk uyumsuz
Enjeksiyon Cisatracurium besylate
Enjeksiyon Sodium bicarbonate
3466
Bir saat içinde bulanıklık uyumsuz
Enjeksiyon Cisatracurium besylate 2 mg/ml
Enjeksiyon Sodium bicarbonate 84 mg/ml
Glukoz %5 299
Belirtilmemiş uyumsuzluk uyumsuz
Enjeksiyon Cisatracurium besylate
Enjeksiyon Sodium bicarbonate
3601
Uyumlu
Enjeksiyon Cisatracurium besylate 0.1 mg/ml
Enjeksiyon Sodium bicarbonate 84 mg/ml
Glukoz %5 299
Anında bulanıklık uyumsuz
Enjeksiyon Cisatracurium besylate 5 mg/ml
Enjeksiyon Sodium bicarbonate 84 mg/ml
Glukoz %5 299
2 saatte bulanıklık uyumsuz
Enjeksiyon Cisatracurium besylate 5 mg/ml
Enjeksiyon Sodium bicarbonate 84 mg/ml
Yok 3212
Uyumlu
Enjeksiyon Cisatracurium besylate 0.1 >> 5 mg/ml
Enjeksiyon Sufentanil citrate 0.0125 mg/ml
Glukoz %5 299
Uyumlu
Enjeksiyon Cisatracurium besylate
Enjeksiyon Sufentanil citrate
3601
Uyumlu
Enjeksiyon Cisatracurium besylate 0,4 mg/ml
Enjeksiyon Sulbactam/durlobactam 15/15 mg/ml
Sodyum klorür % 0,9 4801
Uyumlu
Enjeksiyon Cisatracurium besylate 0.4 mg/ml
Enjeksiyon Tedizolid phosphate 0.8 mg/ml
Sodyum klorür % 0,9 3827
Uyumlu
Enjeksiyon Cisatracurium besylate 0.1 >> 5 mg/ml
Enjeksiyon Theophylline 3.2 mg/ml
Glukoz %5 299
Belirtilmemiş uyumsuzluk uyumsuz
Enjeksiyon Cisatracurium besylate
Enjeksiyon Thiopental sodium
3601
Uyumlu
Enjeksiyon Cisatracurium besylate 0.1 mg/ml
Enjeksiyon Thiopental sodium 25 mg/ml
Glukoz %5 299
Belirtilmemiş uyumsuzluk uyumsuz
Enjeksiyon Cisatracurium besylate 5 mg/ml
Enjeksiyon Thiopental sodium 60 mg/ml
Sodyum klorür % 0,9 3823
Acil yağış uyumsuz
Enjeksiyon Cisatracurium besylate 2 & 5 mg/ml
Enjeksiyon Thiopental sodium 25 mg/ml
Glukoz %5 299
Uyumlu
Enjeksiyon Cisatracurium besylate 0.1 & 2 mg/ml
Enjeksiyon Ticarcillin / clavulanic acid 30 mg/ml
Glukoz %5 299
Anında bulanıklık uyumsuz
Enjeksiyon Cisatracurium besylate 5 mg/ml
Enjeksiyon Ticarcillin / clavulanic acid 30 mg/ml
Glukoz %5 299
Uyumlu
Enjeksiyon Cisatracurium besylate 0.1 >> 5 mg/ml
Enjeksiyon Tobramycin sulfate 5 mg/ml
Glukoz %5 299
Uyumlu
Enjeksiyon Cisatracurium besylate 0.1 >> 5 mg/ml
Enjeksiyon Vancomycin hydrochloride 10 mg/ml
Glukoz %5 299
Uyumlu
Enjeksiyon Cisatracurium besylate 1 mg/ml
Enjeksiyon Vasopressin 1 UI/ml
Sodyum klorür % 0,9 3429
Uyumlu
Enjeksiyon Cisatracurium besylate 0.1 >> 5 mg/ml
Enjeksiyon Zidovudine 4 mg/ml
Glukoz %5 299

  Mentions Légales