آخر تحديث :
27/01/2026
 أدوية علاجيه   Cisatracurium besylate  
حقن
الاستقرار في حلول استقرار مخاليط العوامل التي تؤثر على الاستقرار التوافق طريقة التعاطي مراجع pdf
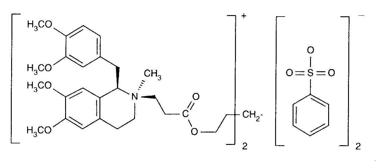
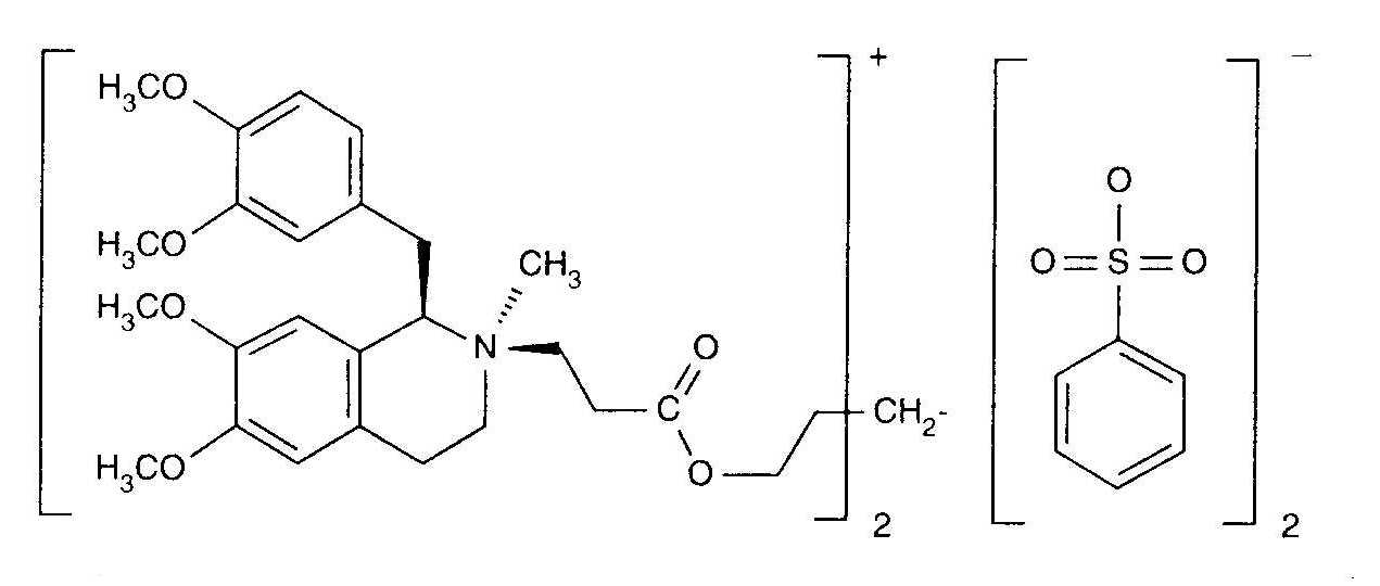
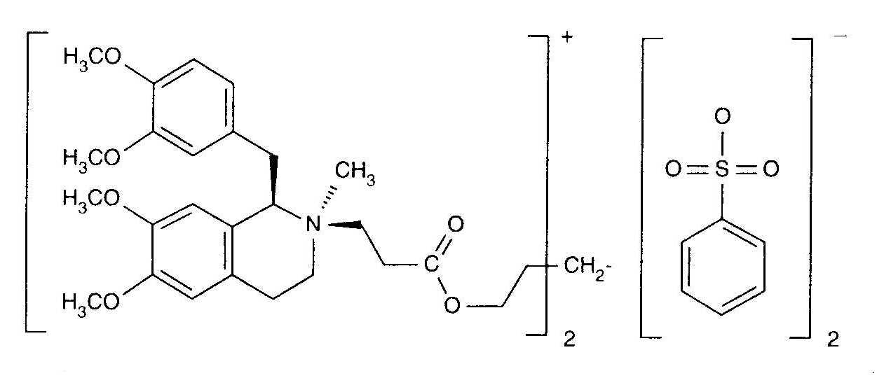
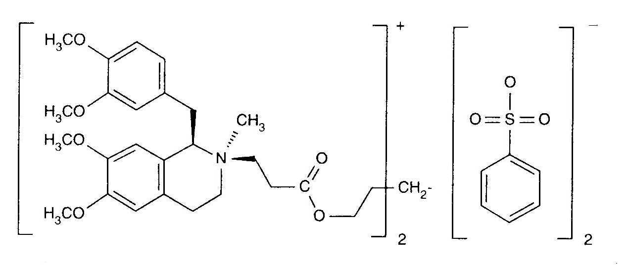
   التركيب الكيميائي  

حجز الاسم التجاري   حجز الاسم التجاري     

تحذير الأسماء التجاريه المختلفه قد تحتوي علي محتوي إضافات مختلفة حسب الدوله و المعمل

Bensitrak المكسيك
Besilato de cisatracurio
Cicuryl المكسيك
Cirium كولومبيا
Cis Atracure
Cisatracurio إسبانيا, إيطاليا, الإكوادور, البرازيل, بيرو, تشيلي, كولومبيا
Cisatracurium ألمانيا, ايرلندا, بريطانيا العظمي, بلجيكا, تونس, فرنسا, فنلندا, كندا, هنغاريا
Nimbex ألمانيا, إسبانيا, إيران, إيطاليا, الإكوادور, الإمارات العربية المتحدة, البرتغال, الدنمارك, السويد, العربية السعودية, المكسيك, النرويج, النمسا, الولايات المتحدة, ايرلندا, بريطانيا العظمي, بلجيكا, بولندا, بيرو, تركيا, تشيلي, تونس, سلوفينيا, فرنسا, فنزويلا, فنلندا, كندا, لوكسمبورغ, ماليزيا, مصر, هنغاريا, هولندا, يونان
Nimbium البرازيل, كولومبيا
التوافق   حقن   التوافق : Cisatracurium besylate              
This screen indicates the compatibilities or incompatibilities with, in this case, the type of incompatibility (precipitation, color change, modification of an emulsion, etc.). The compatibilities shown here are mostly physical only, with the chemical stability of each molecule rarely being assessed. The evaluation of these mixtures was studied to consider the possibility of Y-site administration to the patient. These data cannot be used for making mixtures in advance in bags or syringes. This type of information is available in the screen "Stability in mixture ».
مركب مذيب مراجع
هطول فوري غير متوافق
حقن Cisatracurium besylate 5 mg/ml
حقن Aciclovir sodium 7 mg/ml
الجلوكوز %5 299
kompatibel
حقن Cisatracurium besylate 0.1 & 2 mg/ml
حقن Aciclovir sodium 7 mg/ml
الجلوكوز %5 299
kompatibel
حقن Cisatracurium besylate
حقن Alfentanil hydrochloride
3601
kompatibel
حقن Cisatracurium besylate 0.1 >> 5 mg/ml
حقن Alfentanil hydrochloride 125 µg/ml
الجلوكوز %5 299
هطول فوري غير متوافق
حقن Cisatracurium besylate 1,2 mg/ml
حقن Alprostadil 20 µg/ml
الجلوكوز %5 4651
هطول فوري غير متوافق
حقن Cisatracurium besylate 1,2 mg/ml
حقن Alprostadil 20 µg/ml
الجلوكوز %5 4491
kompatibel
حقن Cisatracurium besylate 0.1 >> 5 mg/ml
حقن Amikacin sulfate 5 mg/ml
الجلوكوز %5 299
kompatibel
حقن Cisatracurium besylate 0.1 & 2 mg/ml
حقن Aminophylline 2.5 mg/ml
الجلوكوز %5 299
العكارة في ساعة واحدة غير متوافق
حقن Cisatracurium besylate 5 mg/ml
حقن Aminophylline 2.5 mg/ml
الجلوكوز %5 299
kompatibel
حقن Cisatracurium besylate
حقن Amiodarone hydrochloride
3464
kompatibel
حقن Cisatracurium besylate 5 mg/ml
حقن Amiodarone hydrochloride 15 mg/ml
الجلوكوز %5 3823
kompatibel
حقن Cisatracurium besylate 0.1 mg/ml
حقن Amphotericin B 0.6 mg/ml
الجلوكوز %5 299
هطول فوري غير متوافق
حقن Cisatracurium besylate 2 & 5 mg/ml
حقن Amphotericin B 0.6 mg/ml
الجلوكوز %5 299
هطول فوري غير متوافق
حقن Cisatracurium besylate 2 mg/ml
حقن Amphotericin B cholesteryl sulfate complex 0.83 mg/ml
الجلوكوز %5 921
العكارة في ساعة واحدة غير متوافق
حقن Cisatracurium besylate 5 mg/ml
حقن Ampicillin sodium 20 mg/ml
كلوريد الصوديوم 0.9% 299
kompatibel
حقن Cisatracurium besylate 0.1 & 2 mg/ml
حقن Ampicillin sodium 20 mg/ml
الجلوكوز %5 299
العكارة في ساعة واحدة غير متوافق
حقن Cisatracurium besylate 5 mg/ml
حقن Ampicillin sodium 20 mg/ml
الجلوكوز %5 299
التعكر الفوري غير متوافق
حقن Cisatracurium besylate 5 mg/ml
حقن Ampicillin sodium - sulbactam sodium 20/10 mg/ml
الجلوكوز %5 299
التعكر الفوري غير متوافق
حقن Cisatracurium besylate 5 mg/ml
حقن Ampicillin sodium - sulbactam sodium 20/10 mg/ml
كلوريد الصوديوم 0.9% 299
kompatibel
حقن Cisatracurium besylate 0.1 & 2 mg/ml
حقن Ampicillin sodium - sulbactam sodium 20/10 mg/ml
الجلوكوز %5 299
kompatibel
حقن Cisatracurium besylate 0.1 >> 5 mg/ml
حقن Aztreonam 40 mg/ml
الجلوكوز %5 299
kompatibel
حقن Cisatracurium besylate 0.1 >> 5 mg/ml
حقن Bumetanide 0.04 mg/ml
الجلوكوز %5 299
kompatibel
حقن Cisatracurium besylate 0.1 >> 5 mg/ml
حقن Buprenorphine hydrochloride 0.04 mg/ml
الجلوكوز %5 299
kompatibel
حقن Cisatracurium besylate 0.1 >> 5 mg/ml
حقن Butorphanol tartrate 0.04 mg/ml
الجلوكوز %5 299
kompatibel
حقن Cisatracurium besylate 0.1 >> 5 mg/ml
حقن Calcium gluconate 40 mg/ml
الجلوكوز %5 299
kompatibel
حقن Cisatracurium besylate 1 mg/ml
حقن Calcium gluconate 20 mg/ml
كلوريد الصوديوم 0.9% 3429
التعكر الفوري غير متوافق
حقن Cisatracurium besylate 2 & 5 mg/ml
حقن Cefazolin sodium 20 mg/ml
الجلوكوز %5 299
kompatibel
حقن Cisatracurium besylate 0.1 mg/ml
حقن Cefazolin sodium 20 mg/ml
الجلوكوز %5 299
kompatibel
حقن Cisatracurium besylate 0.4 mg/ml
حقن Cefiderocol sulfate tosylate 20 mg/mL
الجلوكوز %5 4528
kompatibel
حقن Cisatracurium besylate 0.4 mg/ml
حقن Cefiderocol sulfate tosylate 20 mg/mL
كلوريد الصوديوم 0.9% 4528
هطول فوري غير متوافق
حقن Cisatracurium besylate 0.1 >> 5 mg/ml
حقن Cefoperazone sodium 40 mg/ml
الجلوكوز %5 299
kompatibel
حقن Cisatracurium besylate 0.1 >> 5 mg/ml
حقن Cefoperazone sodium 40 mg/ml
الجلوكوز %5 299
العكارة في 4 ساعات غير متوافق
حقن Cisatracurium besylate 2 mg/ml
حقن Cefotaxime sodium 20 mg/ml
الجلوكوز %5 299
التعكر الفوري غير متوافق
حقن Cisatracurium besylate 5 mg/ml
حقن Cefotaxime sodium 20 mg/ml
الجلوكوز %5 299
kompatibel
حقن Cisatracurium besylate 0.1 mg/ml
حقن Cefotaxime sodium 20 mg/ml
الجلوكوز %5 299
kompatibel
حقن Cisatracurium besylate 0.1 mg/ml
حقن Cefoxitin sodium 20 mg/ml
الجلوكوز %5 299
التعكر الفوري غير متوافق
حقن Cisatracurium besylate 2 & 5 mg/ml
حقن Cefoxitin sodium 20 mg/ml
الجلوكوز %5 299
kompatibel
حقن Cisatracurium besylate 0,5 mg/ml
حقن Ceftaroline fosamil 2,22 mg/ml
محلول رينجر  اللاكتات 3249
kompatibel
حقن Cisatracurium besylate 0,5 mg/ml
حقن Ceftaroline fosamil 2,22 mg/ml
الجلوكوز %5 3249
kompatibel
حقن Cisatracurium besylate 0,5 mg/ml
حقن Ceftaroline fosamil 2,22 mg/ml
كلوريد الصوديوم 0.9% 3249
التعكر الفوري غير متوافق
حقن Cisatracurium besylate 5 mg/ml
حقن Ceftazidime 40 mg/ml
الجلوكوز %5 299
kompatibel
حقن Cisatracurium besylate 0.1 & 2 mg/ml
حقن Ceftazidime 40 mg/ml
الجلوكوز %5 299
kompatibel
حقن Cisatracurium besylate 0.1 & 2 mg/ml
حقن Ceftizoxime sodium 20 mg/ml
الجلوكوز %5 299
العكارة في ساعة واحدة غير متوافق
حقن Cisatracurium besylate 5 mg/ml
حقن Ceftizoxime sodium 20 mg/ml
الجلوكوز %5 299
هطول فوري غير متوافق
حقن Cisatracurium besylate 0.5 mg/ml
حقن Ceftobiprole medocaril sodium 2 mg/ml
كلوريد الصوديوم 0.9% 2269
هطول فوري غير متوافق
حقن Cisatracurium besylate 0.5 mg/ml
حقن Ceftobiprole medocaril sodium 2 mg/ml
محلول رينجر  اللاكتات 2269
هطول فوري غير متوافق
حقن Cisatracurium besylate 0.5 mg/ml
حقن Ceftobiprole medocaril sodium 2 mg/ml
الجلوكوز %5 2269
عدم توافق غير محدد غير متوافق
حقن Cisatracurium besylate
حقن Ceftobiprole medocaril sodium
4650
kompatibel
حقن Cisatracurium besylate 0.4 mg/ml
حقن Ceftolozane / tazobactam 10/5 mg/ml
الجلوكوز %5 3828
kompatibel
حقن Cisatracurium besylate 0.4 mg/ml
حقن Ceftolozane / tazobactam 10/5 mg/ml
كلوريد الصوديوم 0.9% 3828
kompatibel
حقن Cisatracurium besylate 0.1 >> 5 mg/ml
حقن Ceftriaxone disodium 20 mg/ml
الجلوكوز %5 299
هطول فوري غير متوافق
حقن Cisatracurium besylate 2 & 5 mg/ml
حقن Cefuroxime sodium 30 mg/ml
الجلوكوز %5 299
kompatibel
حقن Cisatracurium besylate 0.1 >> 5 mg/ml
حقن Chlorpromazine hydrochloride 2 mg/ml
الجلوكوز %5 299
kompatibel
حقن Cisatracurium besylate 0.1 >> 5 mg/ml
حقن Cimetidine hydrochloride 12 mg/ml
الجلوكوز %5 299
kompatibel
حقن Cisatracurium besylate 0.1 >> 5 mg/ml
حقن Ciprofloxacin lactate 1 mg/ml
الجلوكوز %5 299
kompatibel
حقن Cisatracurium besylate 0.1 >> 5 mg/ml
حقن Clindamycin phosphate 10 mg/ml
الجلوكوز %5 299
kompatibel
حقن Cisatracurium besylate 5 mg/ml
حقن Clonazepam 0.2 mg/ml
كلوريد الصوديوم 0.9% 3823
kompatibel
حقن Cisatracurium besylate 5 mg/ml
حقن Clonidine hydrochloride 0.012 mg/ml
كلوريد الصوديوم 0.9% 3823
التعكر الفوري غير متوافق
حقن Cisatracurium besylate 2 & 5 mg/ml
حقن Co-trimoxazole 0,8/4 mg/ml
الجلوكوز %5 299
kompatibel
حقن Cisatracurium besylate 0.1 mg/ml
حقن Co-trimoxazole 0.8/4 mg/ml
الجلوكوز %5 299
kompatibel
حقن Cisatracurium besylate 0.5 mg/ml
حقن Dexmedetomidine 4 µg/ml
كلوريد الصوديوم 0.9% 1712
kompatibel
حقن Cisatracurium besylate 0.1 >> 5 mg/ml
حقن Diazepam 0.25 mg/ml
الجلوكوز %5 299
هطول فوري غير متوافق
حقن Cisatracurium besylate 0.1 >> 5 mg/ml
حقن Diazepam 5 mg/ml
الجلوكوز %5 299
عدم توافق غير محدد غير متوافق
حقن Cisatracurium besylate 5 mg/ml
حقن Diclofenac 3 mg/ml
كلوريد الصوديوم 0.9% 3823
kompatibel
حقن Cisatracurium besylate 0.1 >> 5 mg/ml
حقن Digoxin 250 µg/ml
الجلوكوز %5 299
kompatibel
حقن Cisatracurium besylate 1 mg/ml
حقن Diltiazem hydrochloride 1 mg/ml
كلوريد الصوديوم 0.9% 3429
kompatibel
حقن Cisatracurium besylate 0.1 >> 5 mg/ml
حقن Diphenhydramine hydrochloride 2 mg/ml
الجلوكوز %5 299
kompatibel
حقن Cisatracurium besylate 0.1 >> 5 mg/ml
حقن Dobutamine hydrochloride 4 mg/ml
الجلوكوز %5 299
kompatibel
حقن Cisatracurium besylate 0.1 >> 5 mg/ml
حقن Dopamine hydrochloride 3.2 mg/ml
الجلوكوز %5 299
kompatibel
حقن Cisatracurium besylate 0.1 >> 5 mg/ml
حقن Doxycycline hyclate 1 mg/ml
الجلوكوز %5 299
kompatibel
حقن Cisatracurium besylate
حقن Droperidol
3601
kompatibel
حقن Cisatracurium besylate 0.1 >> 5 mg/ml
حقن Droperidol 2.5 mg/ml
الجلوكوز %5 299
kompatibel
حقن Cisatracurium besylate 0.1 >> 5 mg/ml
حقن Enalaprilate 0.1 mg/ml
الجلوكوز %5 299
kompatibel
حقن Cisatracurium besylate 0.1 >> 5 mg/ml
حقن Epinephrine hydrochloride 50 µg/ml
الجلوكوز %5 299
kompatibel
حقن Cisatracurium besylate 0,4 mg/ml
حقن Eravacycline 0,6 mg/ml
كلوريد الصوديوم 0.9% 4434
kompatibel
حقن Cisatracurium besylate 0.1 >> 5 mg/ml
حقن Esmolol hydrochloride 10 mg/ml
الجلوكوز %5 299
kompatibel
حقن Cisatracurium besylate 0.4 mg/ml
حقن Fosfomycin 30 mg/ml
الجلوكوز %5 4055
التعكر الفوري غير متوافق
حقن Cisatracurium besylate 5 mg/ml
NaHCO3 3823
kompatibel
حقن Cisatracurium besylate 5 mg/ml
حقن Esmolol hydrochloride 10 mg/ml
كلوريد الصوديوم 0.9% 3823
kompatibel
حقن Cisatracurium besylate 2 mg/ml
حقن Esmolol hydrochloride 10 mg/ml
كلوريد الصوديوم 0.9% 3879
kompatibel
حقن Cisatracurium besylate 1 mg/ml
حقن Esomeprazole sodium 0,4 mg/ml
كلوريد الصوديوم 0.9% 3429
kompatibel
حقن Cisatracurium besylate 0.1 >> 5 mg/ml
حقن Famotidine 2 mg/ml
الجلوكوز %5 299
kompatibel
حقن Cisatracurium besylate 0.5 mg/ml
حقن Fenoldopam mesylate 80 µg/ml
كلوريد الصوديوم 0.9% 1803
kompatibel
حقن Cisatracurium besylate 0.1 >> 5 mg/ml
حقن Fentanyl citrate 12.5 µg/ml
الجلوكوز %5 299
kompatibel
حقن Cisatracurium besylate
حقن Fentanyl citrate
3601
kompatibel
حقن Cisatracurium besylate 0.1 >> 5 mg/ml
حقن Fluconazole 2 mg/ml
الجلوكوز %5 299
kompatibel
حقن Cisatracurium besylate 0.4 mg/ml
حقن Fosfomycin 30 mg/ml
كلوريد الصوديوم 0.9% 4055
عدم توافق غير محدد غير متوافق
حقن Cisatracurium besylate
حقن Furosemide
3465
التعكر الفوري غير متوافق
حقن Cisatracurium besylate 2 & 5 mg/ml
NaHCO3 299
هطول فوري غير متوافق
حقن Cisatracurium besylate 5 mg/ml
حقن Furosemide 10 mg/ml
كلوريد الصوديوم 0.9% 3463
kompatibel
حقن Cisatracurium besylate 0.1 mg/ml
حقن Furosemide 3 mg/ml
الجلوكوز %5 299
عدم توافق غير محدد غير متوافق
حقن Cisatracurium besylate 5 mg/ml
حقن Furosemide 10 mg/ml
كلوريد الصوديوم 0.9% 3823
هطول فوري غير متوافق
حقن Cisatracurium besylate 5 mg/ml
حقن Ganciclovir sodium 20 mg/ml
الجلوكوز %5 299
عدم توافق غير محدد غير متوافق
حقن Cisatracurium besylate
NaHCO3 3466
kompatibel
حقن Cisatracurium besylate 0.1 & 2 mg/ml
حقن Ganciclovir sodium 20 mg/ml
الجلوكوز %5 299
عدم توافق غير محدد غير متوافق
حقن Cisatracurium besylate
NaHCO3 3601
هطول فوري غير متوافق
حقن Cisatracurium besylate 2 & 5 mg/ml
حقن Furosemide 3 mg/ml
الجلوكوز %5 299
عدم توافق غير محدد غير متوافق
حقن Cisatracurium besylate 5 mg/ml
حقن Furosemide 10 mg/ml
لا شيء 3134
kompatibel
حقن Cisatracurium besylate 0.1 >> 5 mg/ml
حقن Gentamicin sulfate 5 mg/ml
الجلوكوز %5 299
kompatibel
حقن Cisatracurium besylate 0.1 >> 5 mg/ml
حقن Haloperidol lactate 0.2 mg/ml
الجلوكوز %5 299
هطول فوري غير متوافق
حقن Cisatracurium besylate 5 mg/ml
حقن Heparin sodium 100 UI/ml
الجلوكوز %5 299
عدم ثبات المستحلب بعد 4 ساعة غير متوافق
حقن Cisatracurium besylate 2 mg/ml
التغذية الوريدية (مع الدهون) 4507
عدم توافق غير محدد غير متوافق
حقن Cisatracurium besylate
محلول رينجر  اللاكتات 3601
تغير اللون غير متوافق
حقن Cisatracurium besylate 5 mg/ml
حقن Heparin sodium 500 UI/ml
كلوريد الصوديوم 0.9% 3463
kompatibel
حقن Cisatracurium besylate 0.1 & 2 mg/ml
حقن Heparin sodium 100 UI/ml
الجلوكوز %5 299
عدم توافق غير محدد غير متوافق
حقن Cisatracurium besylate 5 mg/ml
حقن Heparin sodium 500 UI/ml
كلوريد الصوديوم 0.9% 3823
kompatibel
حقن Cisatracurium besylate
الجلوكوز %5 3601
عدم توافق غير محدد غير متوافق
حقن Cisatracurium besylate
حقن Heparin sodium
3540
kompatibel
حقن Cisatracurium besylate 0.5 mg/ml
حقن Hetastarch 60 mg/ml
مذيب معين 1721
kompatibel
حقن Cisatracurium besylate 0.1 >> 5 mg/ml
حقن Hydrocortisone sodium succinate 1 mg/ml
الجلوكوز %5 299
kompatibel
حقن Cisatracurium besylate 2 mg/ml
حقن Hydrocortisone sodium succinate 1 mg/ml
كلوريد الصوديوم 0.9% 4465
kompatibel
حقن Cisatracurium besylate 0.1 >> 5 mg/ml
حقن Hydromorphone hydrochloride 0.5 mg/ml
الجلوكوز %5 299
kompatibel
حقن Cisatracurium besylate 0.1 >> 5 mg/ml
حقن Hydroxyzine dihydrochloride 2 mg/ml
الجلوكوز %5 299
kompatibel
حقن Cisatracurium besylate 0.1 >> 5 mg/ml
حقن Imipenem - cilastatin sodium 10 mg/ml
الجلوكوز %5 299
kompatibel
حقن Cisatracurium besylate 0,4 mg/ml
حقن Imipenem-Cilastatin / Relebactam 5 mg/ml
كلوريد الصوديوم 0.9% 4433
kompatibel
حقن Cisatracurium besylate 0,4 mg/ml
حقن Imipenem-Cilastatin / Relebactam 5 mg/ml
الجلوكوز %5 4433
kompatibel
حقن Cisatracurium besylate 1 mg/ml
حقن Insulin 1 UI/ml
كلوريد الصوديوم 0.9% 3429
kompatibel
حقن Cisatracurium besylate 5 mg/ml
حقن Insulin 2 UI/ml
كلوريد الصوديوم 0.9% 3823
kompatibel
حقن Cisatracurium besylate 0.4 mg/ml
حقن Isavuconazonium sulfate 1.5 mg/ml
كلوريد الصوديوم 0.9% 3829
kompatibel
حقن Cisatracurium besylate 0.4 mg/ml
حقن Isavuconazonium sulfate 1.5 mg/ml
الجلوكوز %5 3829
kompatibel
حقن Cisatracurium besylate 0.1 >> 5 mg/ml
حقن Isoprenaline hydrochloride 0.02 mg/ml
الجلوكوز %5 299
kompatibel
حقن Cisatracurium besylate 0.1 >> 5 mg/ml
حقن Ketorolac tromethamine 15 mg/ml
الجلوكوز %5 299
عدم توافق غير محدد غير متوافق
حقن Cisatracurium besylate
حقن Ketorolac tromethamine
3601
kompatibel
حقن Cisatracurium besylate 0.1 >> 5 mg/ml
حقن Lorazepam 0.5 mg/ml
الجلوكوز %5 299
kompatibel
حقن Cisatracurium besylate 0.1 >> 5 mg/ml
حقن Magnesium sulfate 100 mg/ml
الجلوكوز %5 299
kompatibel
حقن Cisatracurium besylate 0.1 >> 5 mg/ml
حقن Mannitol 150 mg/ml
الجلوكوز %5 299
kompatibel
حقن Cisatracurium besylate
كلوريد الصوديوم 0.9% 3601
kompatibel
حقن Cisatracurium besylate 2 mg/ml
حقن Labetalol hydrochloride 5 mg/ml
كلوريد الصوديوم 0.9% 3879
kompatibel
حقن Cisatracurium besylate 1 mg/ml
حقن Levetiracetam 5 mg/ml
كلوريد الصوديوم 0.9% 4569
kompatibel
حقن Cisatracurium besylate 0.1 >> 5 mg/ml
حقن Lidocaine hydrochloride 8 mg/ml
الجلوكوز %5 299
kompatibel
حقن Cisatracurium besylate 2 mg/ml
حقن Linezolid 2 mg/ml
لا شيء 1925
kompatibel
حقن Cisatracurium besylate 0.1 mg/ml
حقن Methylprednisolone sodium succinate 5 mg/ml
الجلوكوز %5 299
التعكر الفوري غير متوافق
حقن Cisatracurium besylate 2 & 5 mg/ml
حقن Methylprednisolone sodium succinate 5 mg/ml
الجلوكوز %5 299
kompatibel
حقن Cisatracurium besylate 0.1 >> 5 mg/ml
حقن Metoclopramide hydrochloride 5 mg/ml
الجلوكوز %5 299
kompatibel
حقن Cisatracurium besylate 2 mg/ml
حقن Metoprolol tartrate 0.4 mg/ml
كلوريد الصوديوم 0.9% 3879
kompatibel
حقن Cisatracurium besylate 0.1 >> 5 mg/ml
حقن Metronidazole 5 mg/ml
الجلوكوز %5 299
هطول فوري غير متوافق
حقن Cisatracurium besylate 0.5 mg/ml
حقن Micafungin 1.5 mg/ml
كلوريد الصوديوم 0.9% 2108
kompatibel
حقن Cisatracurium besylate
حقن Midazolam hydrochloride
3601
kompatibel
حقن Cisatracurium besylate 5 mg/ml
حقن Midazolam hydrochloride 2.1 mg/ml
كلوريد الصوديوم 0.9% 3823
kompatibel
حقن Cisatracurium besylate 0.1 >> 5 mg/ml
حقن Midazolam hydrochloride 1 mg/ml
الجلوكوز %5 299
kompatibel
حقن Cisatracurium besylate 0.1 >> 5 mg/ml
حقن Minocycline hydrochloride 0.2 mg/ml
الجلوكوز %5 299
kompatibel
حقن Cisatracurium besylate 0.1 >> 5 mg/ml
حقن Morphine sulfate 1 mg/ml
الجلوكوز %5 299
kompatibel
حقن Cisatracurium besylate 0.1 >> 5 mg/ml
حقن Nalbuphine hydrochloride 10 mg/ml
الجلوكوز %5 299
kompatibel
حقن Cisatracurium besylate 0.1 >> 5 mg/ml
حقن Netilmicin sulfate 5 mg/ml
الجلوكوز %5 299
kompatibel
حقن Cisatracurium besylate 1 mg/ml
حقن Nicardipine hydrochloride 0,5 mg/ml
كلوريد الصوديوم 0.9% 3429
kompatibel
حقن Cisatracurium besylate 5 mg/ml
حقن Nimodipine 0.2 mg/ml
كلوريد الصوديوم 0.9% 3823
kompatibel
حقن Cisatracurium besylate 0.1 >> 5 mg/ml
حقن Nitroglycerin 0.4 mg/ml
الجلوكوز %5 299
kompatibel
حقن Cisatracurium besylate 5 mg/ml
حقن Nitroglycerin 0.2 mg/ml
الجلوكوز %5 3823
هطول فوري غير متوافق
حقن Cisatracurium besylate 2 & 5 mg/ml
حقن Nitroprusside sodium 2 mg/ml
الجلوكوز %5 299
kompatibel
حقن Cisatracurium besylate 0.1 mg/ml
حقن Nitroprusside sodium 2 mg/ml
الجلوكوز %5 299
kompatibel
حقن Cisatracurium besylate 0.1 >> 5 mg/ml
حقن Norepinephrine bitartrate 0.12 mg/ml
الجلوكوز %5 299
kompatibel
حقن Cisatracurium besylate 0.1 >> 5 mg/ml
حقن Ofloxacin 4 mg/ml
الجلوكوز %5 299
kompatibel
حقن Cisatracurium besylate 5 mg/ml
حقن Omeprazole sodium 1.6 mg/ml
كلوريد الصوديوم 0.9% 3823
kompatibel
حقن Cisatracurium besylate 0.1 >> 5 mg/ml
حقن Ondansetron hydrochloride 1 mg/ml
الجلوكوز %5 299
kompatibel
حقن Cisatracurium besylate 0,5 mg/ml
حقن Palonosetron hydrochloride 50 µg/ml
الجلوكوز %5 2227
العكارة في ساعة واحدة غير متوافق
حقن Cisatracurium besylate 1 mg/ml
حقن Pantoprazole sodium 0,8 mg/ml
كلوريد الصوديوم 0.9% 3429
kompatibel
حقن Cisatracurium besylate 0.1 >> 5 mg/ml
حقن Pethidine hydrochloride 4 mg/ml
الجلوكوز %5 299
kompatibel
حقن Cisatracurium besylate 0.1 >> 5 mg/ml
حقن Phenylephrine hydrochloride 1 mg/ml
الجلوكوز %5 299
kompatibel
حقن Cisatracurium besylate 0.1 mg/ml
حقن Piperacillin sodium 40 mg/ml
الجلوكوز %5 299
التعكر الفوري غير متوافق
حقن Cisatracurium besylate 2 & 5 mg/ml
حقن Piperacillin sodium 40 mg/ml
الجلوكوز %5 299
kompatibel
حقن Cisatracurium besylate 0.1 & 2 mg/ml
حقن Piperacillin sodium / tazobactam 40/5 mg/ml
الجلوكوز %5 299
هطول الأمطار بعد 4 ساعات غير متوافق
حقن Cisatracurium besylate 5 mg/ml
حقن Piperacillin sodium / tazobactam 40/5 mg/ml
الجلوكوز %5 299
kompatibel
حقن Cisatracurium besylate 0.4 mg/ml
حقن Plazomicin sulfate 24 mg/ml
كلوريد الصوديوم 0.9% 4145
kompatibel
حقن Cisatracurium besylate 0.1 >> 5 mg/ml
حقن Potassium chloride 100 mEq/l
الجلوكوز %5 299
kompatibel
حقن Cisatracurium besylate 5 mg/ml
حقن Potassium chloride 10 mEq/l
كلوريد الصوديوم 0.9% 3823
kompatibel
حقن Cisatracurium besylate 0.1 >> 5 mg/ml
حقن Procainamide hydrochloride 10 mg/ml
الجلوكوز %5 299
kompatibel
حقن Cisatracurium besylate 0.1 >> 5 mg/ml
حقن Prochlorperazine edysilate 0.5 mg/ml
الجلوكوز %5 299
kompatibel
حقن Cisatracurium besylate 0.1 >> 5 mg/ml
حقن Promethazine hydrochloride 2 mg/ml
الجلوكوز %5 299
عدم توافق غير محدد غير متوافق
حقن Cisatracurium besylate
حقن Propofol
3601
kompatibel
حقن Cisatracurium besylate 0.1 >> 5 mg/ml
حقن Ranitidine hydrochloride 2 mg/ml
الجلوكوز %5 299
kompatibel
حقن Cisatracurium besylate 5 mg/ml
حقن Remifentanil hydrochloride 100 µg/ml
كلوريد الصوديوم 0.9% 3823
kompatibel
حقن Cisatracurium besylate 2 mg/ml
حقن Remifentanil hydrochloride 25 & 250 µg/ml
كلوريد الصوديوم 0.9% 59
عدم توافق غير محدد غير متوافق
حقن Cisatracurium besylate
حقن Sodium bicarbonate
3466
العكارة في ساعة واحدة غير متوافق
حقن Cisatracurium besylate 2 mg/ml
حقن Sodium bicarbonate 84 mg/ml
الجلوكوز %5 299
عدم توافق غير محدد غير متوافق
حقن Cisatracurium besylate
حقن Sodium bicarbonate
3601
kompatibel
حقن Cisatracurium besylate 0.1 mg/ml
حقن Sodium bicarbonate 84 mg/ml
الجلوكوز %5 299
التعكر الفوري غير متوافق
حقن Cisatracurium besylate 5 mg/ml
حقن Sodium bicarbonate 84 mg/ml
الجلوكوز %5 299
التعكر في 2 ساعات غير متوافق
حقن Cisatracurium besylate 5 mg/ml
حقن Sodium bicarbonate 84 mg/ml
لا شيء 3212
kompatibel
حقن Cisatracurium besylate 0.1 >> 5 mg/ml
حقن Sufentanil citrate 0.0125 mg/ml
الجلوكوز %5 299
kompatibel
حقن Cisatracurium besylate
حقن Sufentanil citrate
3601
kompatibel
حقن Cisatracurium besylate 0,4 mg/ml
حقن Sulbactam/durlobactam 15/15 mg/ml
كلوريد الصوديوم 0.9% 4801
kompatibel
حقن Cisatracurium besylate 0.4 mg/ml
حقن Tedizolid phosphate 0.8 mg/ml
كلوريد الصوديوم 0.9% 3827
kompatibel
حقن Cisatracurium besylate 0.1 >> 5 mg/ml
حقن Theophylline 3.2 mg/ml
الجلوكوز %5 299
عدم توافق غير محدد غير متوافق
حقن Cisatracurium besylate
حقن Thiopental sodium
3601
kompatibel
حقن Cisatracurium besylate 0.1 mg/ml
حقن Thiopental sodium 25 mg/ml
الجلوكوز %5 299
عدم توافق غير محدد غير متوافق
حقن Cisatracurium besylate 5 mg/ml
حقن Thiopental sodium 60 mg/ml
كلوريد الصوديوم 0.9% 3823
هطول فوري غير متوافق
حقن Cisatracurium besylate 2 & 5 mg/ml
حقن Thiopental sodium 25 mg/ml
الجلوكوز %5 299
kompatibel
حقن Cisatracurium besylate 0.1 & 2 mg/ml
حقن Ticarcillin / clavulanic acid 30 mg/ml
الجلوكوز %5 299
التعكر الفوري غير متوافق
حقن Cisatracurium besylate 5 mg/ml
حقن Ticarcillin / clavulanic acid 30 mg/ml
الجلوكوز %5 299
kompatibel
حقن Cisatracurium besylate 0.1 >> 5 mg/ml
حقن Tobramycin sulfate 5 mg/ml
الجلوكوز %5 299
kompatibel
حقن Cisatracurium besylate 0.1 >> 5 mg/ml
حقن Vancomycin hydrochloride 10 mg/ml
الجلوكوز %5 299
kompatibel
حقن Cisatracurium besylate 1 mg/ml
حقن Vasopressin 1 UI/ml
كلوريد الصوديوم 0.9% 3429
kompatibel
حقن Cisatracurium besylate 0.1 >> 5 mg/ml
حقن Zidovudine 4 mg/ml
الجلوكوز %5 299

  Mentions Légales