Siste oppdatering :
27/01/2026
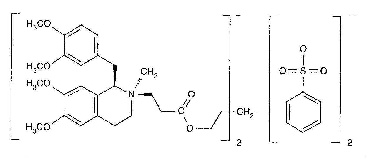
Kurarelignende middel   Cisatracurium besylate  
Injeksjon
Oppløsningsstabilitet Stabilitet i blandinger Faktorer som påvirker stabiliteten Kompatibilitet Administrasjonsmåte Referanser pdf
   Kjemisk struktur  

Handelsnavn   Handelsnavn     

Handelsnavn er veiledende og sammensetning av hjelpestoffer kan være forskjellig avhengig av land og produsent

Bensitrak Mexico
Besilato de cisatracurio
Cicuryl Mexico
Cirium Colombia
Cis Atracure
Cisatracurio Brasil, Chile, Colombia, Ecuador, Italia, Peru, Spania
Cisatracurium Belgia, Canada, Finland, Frankrike, Irland, Storbritannia, Tunisia, Tyskland, Ungarn
Nimbex Belgia, Canada, Chile, Danmark, De forente arabiske emirater, Ecuador, Egypt, Finland, Frankrike, Hellas, Iran, Irland, Italia, Luxembourg, Malaysia, Mexico, Nederland, Norge, Peru, Polen, Portugal, Saudi-Arabia, Slovenia, Spania, Storbritannia, Sverige, Tunisia, Tyrkia, Tyskland, Ungarn, USA, Venezuela, Østerrike
Nimbium Brasil, Colombia
Kompatibilitet   Injeksjon   Kompatibilitet : Cisatracurium besylate              
Dette skjermbildet viser kompatibilitet eller inkompatibilitet med, i dette tilfellet, typen inkompatibilitet (nedbør, fargeendring, modifisering av en emulsjon, etc.). Kompatibilitetene som er vist her, er for det meste bare fysiske, og den kjemiske stabiliteten til hvert molekyl blir sjelden vurdert. Evalueringen av disse blandingene ble studert for å vurdere muligheten for Y-stedadministrasjon til pasienten. Disse dataene kan ikke brukes til å lage blandinger på forhånd i poser eller sprøyter. Denne typen informasjon er tilgjengelig på skjermen "Stabilitet i blanding".
Legemiddel Oppløsningsmiddel Referanser
Umiddelbar nedbør Uforenlig
Injeksjon Cisatracurium besylate 5 mg/ml
Injeksjon Aciclovir sodium 7 mg/ml
Glukose 5 % 299
Kompatibel
Injeksjon Cisatracurium besylate 0.1 & 2 mg/ml
Injeksjon Aciclovir sodium 7 mg/ml
Glukose 5 % 299
Kompatibel
Injeksjon Cisatracurium besylate
Injeksjon Alfentanil hydrochloride
3601
Kompatibel
Injeksjon Cisatracurium besylate 0.1 >> 5 mg/ml
Injeksjon Alfentanil hydrochloride 125 µg/ml
Glukose 5 % 299
Umiddelbar nedbør Uforenlig
Injeksjon Cisatracurium besylate 1,2 mg/ml
Injeksjon Alprostadil 20 µg/ml
Glukose 5 % 4651
Umiddelbar nedbør Uforenlig
Injeksjon Cisatracurium besylate 1,2 mg/ml
Injeksjon Alprostadil 20 µg/ml
Glukose 5 % 4491
Kompatibel
Injeksjon Cisatracurium besylate 0.1 >> 5 mg/ml
Injeksjon Amikacin sulfate 5 mg/ml
Glukose 5 % 299
Kompatibel
Injeksjon Cisatracurium besylate 0.1 & 2 mg/ml
Injeksjon Aminophylline 2.5 mg/ml
Glukose 5 % 299
Turbiditet på en time Uforenlig
Injeksjon Cisatracurium besylate 5 mg/ml
Injeksjon Aminophylline 2.5 mg/ml
Glukose 5 % 299
Kompatibel
Injeksjon Cisatracurium besylate
Injeksjon Amiodarone hydrochloride
3464
Kompatibel
Injeksjon Cisatracurium besylate 5 mg/ml
Injeksjon Amiodarone hydrochloride 15 mg/ml
Glukose 5 % 3823
Kompatibel
Injeksjon Cisatracurium besylate 0.1 mg/ml
Injeksjon Amphotericin B 0.6 mg/ml
Glukose 5 % 299
Umiddelbar nedbør Uforenlig
Injeksjon Cisatracurium besylate 2 & 5 mg/ml
Injeksjon Amphotericin B 0.6 mg/ml
Glukose 5 % 299
Umiddelbar nedbør Uforenlig
Injeksjon Cisatracurium besylate 2 mg/ml
Injeksjon Amphotericin B cholesteryl sulfate complex 0.83 mg/ml
Glukose 5 % 921
Turbiditet på en time Uforenlig
Injeksjon Cisatracurium besylate 5 mg/ml
Injeksjon Ampicillin sodium 20 mg/ml
Natriumklorid 0,9 % 299
Kompatibel
Injeksjon Cisatracurium besylate 0.1 & 2 mg/ml
Injeksjon Ampicillin sodium 20 mg/ml
Glukose 5 % 299
Turbiditet på en time Uforenlig
Injeksjon Cisatracurium besylate 5 mg/ml
Injeksjon Ampicillin sodium 20 mg/ml
Glukose 5 % 299
Umiddelbar turbiditet Uforenlig
Injeksjon Cisatracurium besylate 5 mg/ml
Injeksjon Ampicillin sodium - sulbactam sodium 20/10 mg/ml
Glukose 5 % 299
Umiddelbar turbiditet Uforenlig
Injeksjon Cisatracurium besylate 5 mg/ml
Injeksjon Ampicillin sodium - sulbactam sodium 20/10 mg/ml
Natriumklorid 0,9 % 299
Kompatibel
Injeksjon Cisatracurium besylate 0.1 & 2 mg/ml
Injeksjon Ampicillin sodium - sulbactam sodium 20/10 mg/ml
Glukose 5 % 299
Kompatibel
Injeksjon Cisatracurium besylate 0.1 >> 5 mg/ml
Injeksjon Aztreonam 40 mg/ml
Glukose 5 % 299
Kompatibel
Injeksjon Cisatracurium besylate 0.1 >> 5 mg/ml
Injeksjon Bumetanide 0.04 mg/ml
Glukose 5 % 299
Kompatibel
Injeksjon Cisatracurium besylate 0.1 >> 5 mg/ml
Injeksjon Buprenorphine hydrochloride 0.04 mg/ml
Glukose 5 % 299
Kompatibel
Injeksjon Cisatracurium besylate 0.1 >> 5 mg/ml
Injeksjon Butorphanol tartrate 0.04 mg/ml
Glukose 5 % 299
Kompatibel
Injeksjon Cisatracurium besylate 0.1 >> 5 mg/ml
Injeksjon Calcium gluconate 40 mg/ml
Glukose 5 % 299
Kompatibel
Injeksjon Cisatracurium besylate 1 mg/ml
Injeksjon Calcium gluconate 20 mg/ml
Natriumklorid 0,9 % 3429
Umiddelbar turbiditet Uforenlig
Injeksjon Cisatracurium besylate 2 & 5 mg/ml
Injeksjon Cefazolin sodium 20 mg/ml
Glukose 5 % 299
Kompatibel
Injeksjon Cisatracurium besylate 0.1 mg/ml
Injeksjon Cefazolin sodium 20 mg/ml
Glukose 5 % 299
Kompatibel
Injeksjon Cisatracurium besylate 0.4 mg/ml
Injeksjon Cefiderocol sulfate tosylate 20 mg/mL
Glukose 5 % 4528
Kompatibel
Injeksjon Cisatracurium besylate 0.4 mg/ml
Injeksjon Cefiderocol sulfate tosylate 20 mg/mL
Natriumklorid 0,9 % 4528
Umiddelbar nedbør Uforenlig
Injeksjon Cisatracurium besylate 0.1 >> 5 mg/ml
Injeksjon Cefoperazone sodium 40 mg/ml
Glukose 5 % 299
Kompatibel
Injeksjon Cisatracurium besylate 0.1 >> 5 mg/ml
Injeksjon Cefoperazone sodium 40 mg/ml
Glukose 5 % 299
Turbiditet på 4 timer Uforenlig
Injeksjon Cisatracurium besylate 2 mg/ml
Injeksjon Cefotaxime sodium 20 mg/ml
Glukose 5 % 299
Umiddelbar turbiditet Uforenlig
Injeksjon Cisatracurium besylate 5 mg/ml
Injeksjon Cefotaxime sodium 20 mg/ml
Glukose 5 % 299
Kompatibel
Injeksjon Cisatracurium besylate 0.1 mg/ml
Injeksjon Cefotaxime sodium 20 mg/ml
Glukose 5 % 299
Kompatibel
Injeksjon Cisatracurium besylate 0.1 mg/ml
Injeksjon Cefoxitin sodium 20 mg/ml
Glukose 5 % 299
Umiddelbar turbiditet Uforenlig
Injeksjon Cisatracurium besylate 2 & 5 mg/ml
Injeksjon Cefoxitin sodium 20 mg/ml
Glukose 5 % 299
Kompatibel
Injeksjon Cisatracurium besylate 0,5 mg/ml
Injeksjon Ceftaroline fosamil 2,22 mg/ml
Ringers laktatoppløsning 3249
Kompatibel
Injeksjon Cisatracurium besylate 0,5 mg/ml
Injeksjon Ceftaroline fosamil 2,22 mg/ml
Glukose 5 % 3249
Kompatibel
Injeksjon Cisatracurium besylate 0,5 mg/ml
Injeksjon Ceftaroline fosamil 2,22 mg/ml
Natriumklorid 0,9 % 3249
Umiddelbar turbiditet Uforenlig
Injeksjon Cisatracurium besylate 5 mg/ml
Injeksjon Ceftazidime 40 mg/ml
Glukose 5 % 299
Kompatibel
Injeksjon Cisatracurium besylate 0.1 & 2 mg/ml
Injeksjon Ceftazidime 40 mg/ml
Glukose 5 % 299
Kompatibel
Injeksjon Cisatracurium besylate 0.1 & 2 mg/ml
Injeksjon Ceftizoxime sodium 20 mg/ml
Glukose 5 % 299
Turbiditet på en time Uforenlig
Injeksjon Cisatracurium besylate 5 mg/ml
Injeksjon Ceftizoxime sodium 20 mg/ml
Glukose 5 % 299
Umiddelbar nedbør Uforenlig
Injeksjon Cisatracurium besylate 0.5 mg/ml
Injeksjon Ceftobiprole medocaril sodium 2 mg/ml
Natriumklorid 0,9 % 2269
Umiddelbar nedbør Uforenlig
Injeksjon Cisatracurium besylate 0.5 mg/ml
Injeksjon Ceftobiprole medocaril sodium 2 mg/ml
Ringers laktatoppløsning 2269
Umiddelbar nedbør Uforenlig
Injeksjon Cisatracurium besylate 0.5 mg/ml
Injeksjon Ceftobiprole medocaril sodium 2 mg/ml
Glukose 5 % 2269
Uspesifisert inkompatibilitet Uforenlig
Injeksjon Cisatracurium besylate
Injeksjon Ceftobiprole medocaril sodium
4650
Kompatibel
Injeksjon Cisatracurium besylate 0.4 mg/ml
Injeksjon Ceftolozane / tazobactam 10/5 mg/ml
Glukose 5 % 3828
Kompatibel
Injeksjon Cisatracurium besylate 0.4 mg/ml
Injeksjon Ceftolozane / tazobactam 10/5 mg/ml
Natriumklorid 0,9 % 3828
Kompatibel
Injeksjon Cisatracurium besylate 0.1 >> 5 mg/ml
Injeksjon Ceftriaxone disodium 20 mg/ml
Glukose 5 % 299
Umiddelbar nedbør Uforenlig
Injeksjon Cisatracurium besylate 2 & 5 mg/ml
Injeksjon Cefuroxime sodium 30 mg/ml
Glukose 5 % 299
Kompatibel
Injeksjon Cisatracurium besylate 0.1 >> 5 mg/ml
Injeksjon Chlorpromazine hydrochloride 2 mg/ml
Glukose 5 % 299
Kompatibel
Injeksjon Cisatracurium besylate 0.1 >> 5 mg/ml
Injeksjon Cimetidine hydrochloride 12 mg/ml
Glukose 5 % 299
Kompatibel
Injeksjon Cisatracurium besylate 0.1 >> 5 mg/ml
Injeksjon Ciprofloxacin lactate 1 mg/ml
Glukose 5 % 299
Kompatibel
Injeksjon Cisatracurium besylate 0.1 >> 5 mg/ml
Injeksjon Clindamycin phosphate 10 mg/ml
Glukose 5 % 299
Kompatibel
Injeksjon Cisatracurium besylate 5 mg/ml
Injeksjon Clonazepam 0.2 mg/ml
Natriumklorid 0,9 % 3823
Kompatibel
Injeksjon Cisatracurium besylate 5 mg/ml
Injeksjon Clonidine hydrochloride 0.012 mg/ml
Natriumklorid 0,9 % 3823
Umiddelbar turbiditet Uforenlig
Injeksjon Cisatracurium besylate 2 & 5 mg/ml
Injeksjon Co-trimoxazole 0,8/4 mg/ml
Glukose 5 % 299
Kompatibel
Injeksjon Cisatracurium besylate 0.1 mg/ml
Injeksjon Co-trimoxazole 0.8/4 mg/ml
Glukose 5 % 299
Kompatibel
Injeksjon Cisatracurium besylate 0.5 mg/ml
Injeksjon Dexmedetomidine 4 µg/ml
Natriumklorid 0,9 % 1712
Kompatibel
Injeksjon Cisatracurium besylate 0.1 >> 5 mg/ml
Injeksjon Diazepam 0.25 mg/ml
Glukose 5 % 299
Umiddelbar nedbør Uforenlig
Injeksjon Cisatracurium besylate 0.1 >> 5 mg/ml
Injeksjon Diazepam 5 mg/ml
Glukose 5 % 299
Uspesifisert inkompatibilitet Uforenlig
Injeksjon Cisatracurium besylate 5 mg/ml
Injeksjon Diclofenac 3 mg/ml
Natriumklorid 0,9 % 3823
Kompatibel
Injeksjon Cisatracurium besylate 0.1 >> 5 mg/ml
Injeksjon Digoxin 250 µg/ml
Glukose 5 % 299
Kompatibel
Injeksjon Cisatracurium besylate 1 mg/ml
Injeksjon Diltiazem hydrochloride 1 mg/ml
Natriumklorid 0,9 % 3429
Kompatibel
Injeksjon Cisatracurium besylate 0.1 >> 5 mg/ml
Injeksjon Diphenhydramine hydrochloride 2 mg/ml
Glukose 5 % 299
Kompatibel
Injeksjon Cisatracurium besylate 0.1 >> 5 mg/ml
Injeksjon Dobutamine hydrochloride 4 mg/ml
Glukose 5 % 299
Kompatibel
Injeksjon Cisatracurium besylate 0.1 >> 5 mg/ml
Injeksjon Dopamine hydrochloride 3.2 mg/ml
Glukose 5 % 299
Kompatibel
Injeksjon Cisatracurium besylate 0.1 >> 5 mg/ml
Injeksjon Doxycycline hyclate 1 mg/ml
Glukose 5 % 299
Kompatibel
Injeksjon Cisatracurium besylate
Injeksjon Droperidol
3601
Kompatibel
Injeksjon Cisatracurium besylate 0.1 >> 5 mg/ml
Injeksjon Droperidol 2.5 mg/ml
Glukose 5 % 299
Kompatibel
Injeksjon Cisatracurium besylate 0.1 >> 5 mg/ml
Injeksjon Enalaprilate 0.1 mg/ml
Glukose 5 % 299
Kompatibel
Injeksjon Cisatracurium besylate 0.1 >> 5 mg/ml
Injeksjon Epinephrine hydrochloride 50 µg/ml
Glukose 5 % 299
Kompatibel
Injeksjon Cisatracurium besylate 0,4 mg/ml
Injeksjon Eravacycline 0,6 mg/ml
Natriumklorid 0,9 % 4434
Kompatibel
Injeksjon Cisatracurium besylate 0.1 >> 5 mg/ml
Injeksjon Esmolol hydrochloride 10 mg/ml
Glukose 5 % 299
Kompatibel
Injeksjon Cisatracurium besylate 0.4 mg/ml
Injeksjon Fosfomycin 30 mg/ml
Glukose 5 % 4055
Umiddelbar turbiditet Uforenlig
Injeksjon Cisatracurium besylate 5 mg/ml
NaHCO3 3823
Kompatibel
Injeksjon Cisatracurium besylate 5 mg/ml
Injeksjon Esmolol hydrochloride 10 mg/ml
Natriumklorid 0,9 % 3823
Kompatibel
Injeksjon Cisatracurium besylate 2 mg/ml
Injeksjon Esmolol hydrochloride 10 mg/ml
Natriumklorid 0,9 % 3879
Kompatibel
Injeksjon Cisatracurium besylate 1 mg/ml
Injeksjon Esomeprazole sodium 0,4 mg/ml
Natriumklorid 0,9 % 3429
Kompatibel
Injeksjon Cisatracurium besylate 0.1 >> 5 mg/ml
Injeksjon Famotidine 2 mg/ml
Glukose 5 % 299
Kompatibel
Injeksjon Cisatracurium besylate 0.5 mg/ml
Injeksjon Fenoldopam mesylate 80 µg/ml
Natriumklorid 0,9 % 1803
Kompatibel
Injeksjon Cisatracurium besylate 0.1 >> 5 mg/ml
Injeksjon Fentanyl citrate 12.5 µg/ml
Glukose 5 % 299
Kompatibel
Injeksjon Cisatracurium besylate
Injeksjon Fentanyl citrate
3601
Kompatibel
Injeksjon Cisatracurium besylate 0.1 >> 5 mg/ml
Injeksjon Fluconazole 2 mg/ml
Glukose 5 % 299
Kompatibel
Injeksjon Cisatracurium besylate 0.4 mg/ml
Injeksjon Fosfomycin 30 mg/ml
Natriumklorid 0,9 % 4055
Uspesifisert inkompatibilitet Uforenlig
Injeksjon Cisatracurium besylate
Injeksjon Furosemide
3465
Umiddelbar turbiditet Uforenlig
Injeksjon Cisatracurium besylate 2 & 5 mg/ml
NaHCO3 299
Umiddelbar nedbør Uforenlig
Injeksjon Cisatracurium besylate 5 mg/ml
Injeksjon Furosemide 10 mg/ml
Natriumklorid 0,9 % 3463
Kompatibel
Injeksjon Cisatracurium besylate 0.1 mg/ml
Injeksjon Furosemide 3 mg/ml
Glukose 5 % 299
Uspesifisert inkompatibilitet Uforenlig
Injeksjon Cisatracurium besylate 5 mg/ml
Injeksjon Furosemide 10 mg/ml
Natriumklorid 0,9 % 3823
Umiddelbar nedbør Uforenlig
Injeksjon Cisatracurium besylate 5 mg/ml
Injeksjon Ganciclovir sodium 20 mg/ml
Glukose 5 % 299
Uspesifisert inkompatibilitet Uforenlig
Injeksjon Cisatracurium besylate
NaHCO3 3466
Kompatibel
Injeksjon Cisatracurium besylate 0.1 & 2 mg/ml
Injeksjon Ganciclovir sodium 20 mg/ml
Glukose 5 % 299
Uspesifisert inkompatibilitet Uforenlig
Injeksjon Cisatracurium besylate
NaHCO3 3601
Umiddelbar nedbør Uforenlig
Injeksjon Cisatracurium besylate 2 & 5 mg/ml
Injeksjon Furosemide 3 mg/ml
Glukose 5 % 299
Uspesifisert inkompatibilitet Uforenlig
Injeksjon Cisatracurium besylate 5 mg/ml
Injeksjon Furosemide 10 mg/ml
Ingen 3134
Kompatibel
Injeksjon Cisatracurium besylate 0.1 >> 5 mg/ml
Injeksjon Gentamicin sulfate 5 mg/ml
Glukose 5 % 299
Kompatibel
Injeksjon Cisatracurium besylate 0.1 >> 5 mg/ml
Injeksjon Haloperidol lactate 0.2 mg/ml
Glukose 5 % 299
Umiddelbar nedbør Uforenlig
Injeksjon Cisatracurium besylate 5 mg/ml
Injeksjon Heparin sodium 100 UI/ml
Glukose 5 % 299
Ustabilitet av emulsjonen etter 4 timer Uforenlig
Injeksjon Cisatracurium besylate 2 mg/ml
Parenteral ernæring (med lipider) 4507
Uspesifisert inkompatibilitet Uforenlig
Injeksjon Cisatracurium besylate
Ringers laktatoppløsning 3601
Fargeendring Uforenlig
Injeksjon Cisatracurium besylate 5 mg/ml
Injeksjon Heparin sodium 500 UI/ml
Natriumklorid 0,9 % 3463
Kompatibel
Injeksjon Cisatracurium besylate 0.1 & 2 mg/ml
Injeksjon Heparin sodium 100 UI/ml
Glukose 5 % 299
Uspesifisert inkompatibilitet Uforenlig
Injeksjon Cisatracurium besylate 5 mg/ml
Injeksjon Heparin sodium 500 UI/ml
Natriumklorid 0,9 % 3823
Kompatibel
Injeksjon Cisatracurium besylate
Glukose 5 % 3601
Uspesifisert inkompatibilitet Uforenlig
Injeksjon Cisatracurium besylate
Injeksjon Heparin sodium
3540
Kompatibel
Injeksjon Cisatracurium besylate 0.5 mg/ml
Injeksjon Hetastarch 60 mg/ml
spesifikk løsemiddel 1721
Kompatibel
Injeksjon Cisatracurium besylate 0.1 >> 5 mg/ml
Injeksjon Hydrocortisone sodium succinate 1 mg/ml
Glukose 5 % 299
Kompatibel
Injeksjon Cisatracurium besylate 2 mg/ml
Injeksjon Hydrocortisone sodium succinate 1 mg/ml
Natriumklorid 0,9 % 4465
Kompatibel
Injeksjon Cisatracurium besylate 0.1 >> 5 mg/ml
Injeksjon Hydromorphone hydrochloride 0.5 mg/ml
Glukose 5 % 299
Kompatibel
Injeksjon Cisatracurium besylate 0.1 >> 5 mg/ml
Injeksjon Hydroxyzine dihydrochloride 2 mg/ml
Glukose 5 % 299
Kompatibel
Injeksjon Cisatracurium besylate 0.1 >> 5 mg/ml
Injeksjon Imipenem - cilastatin sodium 10 mg/ml
Glukose 5 % 299
Kompatibel
Injeksjon Cisatracurium besylate 0,4 mg/ml
Injeksjon Imipenem-Cilastatin / Relebactam 5 mg/ml
Natriumklorid 0,9 % 4433
Kompatibel
Injeksjon Cisatracurium besylate 0,4 mg/ml
Injeksjon Imipenem-Cilastatin / Relebactam 5 mg/ml
Glukose 5 % 4433
Kompatibel
Injeksjon Cisatracurium besylate 1 mg/ml
Injeksjon Insulin 1 UI/ml
Natriumklorid 0,9 % 3429
Kompatibel
Injeksjon Cisatracurium besylate 5 mg/ml
Injeksjon Insulin 2 UI/ml
Natriumklorid 0,9 % 3823
Kompatibel
Injeksjon Cisatracurium besylate 0.4 mg/ml
Injeksjon Isavuconazonium sulfate 1.5 mg/ml
Natriumklorid 0,9 % 3829
Kompatibel
Injeksjon Cisatracurium besylate 0.4 mg/ml
Injeksjon Isavuconazonium sulfate 1.5 mg/ml
Glukose 5 % 3829
Kompatibel
Injeksjon Cisatracurium besylate 0.1 >> 5 mg/ml
Injeksjon Isoprenaline hydrochloride 0.02 mg/ml
Glukose 5 % 299
Kompatibel
Injeksjon Cisatracurium besylate 0.1 >> 5 mg/ml
Injeksjon Ketorolac tromethamine 15 mg/ml
Glukose 5 % 299
Uspesifisert inkompatibilitet Uforenlig
Injeksjon Cisatracurium besylate
Injeksjon Ketorolac tromethamine
3601
Kompatibel
Injeksjon Cisatracurium besylate 0.1 >> 5 mg/ml
Injeksjon Lorazepam 0.5 mg/ml
Glukose 5 % 299
Kompatibel
Injeksjon Cisatracurium besylate 0.1 >> 5 mg/ml
Injeksjon Magnesium sulfate 100 mg/ml
Glukose 5 % 299
Kompatibel
Injeksjon Cisatracurium besylate 0.1 >> 5 mg/ml
Injeksjon Mannitol 150 mg/ml
Glukose 5 % 299
Kompatibel
Injeksjon Cisatracurium besylate
Natriumklorid 0,9 % 3601
Kompatibel
Injeksjon Cisatracurium besylate 2 mg/ml
Injeksjon Labetalol hydrochloride 5 mg/ml
Natriumklorid 0,9 % 3879
Kompatibel
Injeksjon Cisatracurium besylate 1 mg/ml
Injeksjon Levetiracetam 5 mg/ml
Natriumklorid 0,9 % 4569
Kompatibel
Injeksjon Cisatracurium besylate 0.1 >> 5 mg/ml
Injeksjon Lidocaine hydrochloride 8 mg/ml
Glukose 5 % 299
Kompatibel
Injeksjon Cisatracurium besylate 2 mg/ml
Injeksjon Linezolid 2 mg/ml
Ingen 1925
Kompatibel
Injeksjon Cisatracurium besylate 0.1 mg/ml
Injeksjon Methylprednisolone sodium succinate 5 mg/ml
Glukose 5 % 299
Umiddelbar turbiditet Uforenlig
Injeksjon Cisatracurium besylate 2 & 5 mg/ml
Injeksjon Methylprednisolone sodium succinate 5 mg/ml
Glukose 5 % 299
Kompatibel
Injeksjon Cisatracurium besylate 0.1 >> 5 mg/ml
Injeksjon Metoclopramide hydrochloride 5 mg/ml
Glukose 5 % 299
Kompatibel
Injeksjon Cisatracurium besylate 2 mg/ml
Injeksjon Metoprolol tartrate 0.4 mg/ml
Natriumklorid 0,9 % 3879
Kompatibel
Injeksjon Cisatracurium besylate 0.1 >> 5 mg/ml
Injeksjon Metronidazole 5 mg/ml
Glukose 5 % 299
Umiddelbar nedbør Uforenlig
Injeksjon Cisatracurium besylate 0.5 mg/ml
Injeksjon Micafungin 1.5 mg/ml
Natriumklorid 0,9 % 2108
Kompatibel
Injeksjon Cisatracurium besylate
Injeksjon Midazolam hydrochloride
3601
Kompatibel
Injeksjon Cisatracurium besylate 5 mg/ml
Injeksjon Midazolam hydrochloride 2.1 mg/ml
Natriumklorid 0,9 % 3823
Kompatibel
Injeksjon Cisatracurium besylate 0.1 >> 5 mg/ml
Injeksjon Midazolam hydrochloride 1 mg/ml
Glukose 5 % 299
Kompatibel
Injeksjon Cisatracurium besylate 0.1 >> 5 mg/ml
Injeksjon Minocycline hydrochloride 0.2 mg/ml
Glukose 5 % 299
Kompatibel
Injeksjon Cisatracurium besylate 0.1 >> 5 mg/ml
Injeksjon Morphine sulfate 1 mg/ml
Glukose 5 % 299
Kompatibel
Injeksjon Cisatracurium besylate 0.1 >> 5 mg/ml
Injeksjon Nalbuphine hydrochloride 10 mg/ml
Glukose 5 % 299
Kompatibel
Injeksjon Cisatracurium besylate 0.1 >> 5 mg/ml
Injeksjon Netilmicin sulfate 5 mg/ml
Glukose 5 % 299
Kompatibel
Injeksjon Cisatracurium besylate 1 mg/ml
Injeksjon Nicardipine hydrochloride 0,5 mg/ml
Natriumklorid 0,9 % 3429
Kompatibel
Injeksjon Cisatracurium besylate 5 mg/ml
Injeksjon Nimodipine 0.2 mg/ml
Natriumklorid 0,9 % 3823
Kompatibel
Injeksjon Cisatracurium besylate 0.1 >> 5 mg/ml
Injeksjon Nitroglycerin 0.4 mg/ml
Glukose 5 % 299
Kompatibel
Injeksjon Cisatracurium besylate 5 mg/ml
Injeksjon Nitroglycerin 0.2 mg/ml
Glukose 5 % 3823
Umiddelbar nedbør Uforenlig
Injeksjon Cisatracurium besylate 2 & 5 mg/ml
Injeksjon Nitroprusside sodium 2 mg/ml
Glukose 5 % 299
Kompatibel
Injeksjon Cisatracurium besylate 0.1 mg/ml
Injeksjon Nitroprusside sodium 2 mg/ml
Glukose 5 % 299
Kompatibel
Injeksjon Cisatracurium besylate 0.1 >> 5 mg/ml
Injeksjon Norepinephrine bitartrate 0.12 mg/ml
Glukose 5 % 299
Kompatibel
Injeksjon Cisatracurium besylate 0.1 >> 5 mg/ml
Injeksjon Ofloxacin 4 mg/ml
Glukose 5 % 299
Kompatibel
Injeksjon Cisatracurium besylate 5 mg/ml
Injeksjon Omeprazole sodium 1.6 mg/ml
Natriumklorid 0,9 % 3823
Kompatibel
Injeksjon Cisatracurium besylate 0.1 >> 5 mg/ml
Injeksjon Ondansetron hydrochloride 1 mg/ml
Glukose 5 % 299
Kompatibel
Injeksjon Cisatracurium besylate 0,5 mg/ml
Injeksjon Palonosetron hydrochloride 50 µg/ml
Glukose 5 % 2227
Turbiditet på en time Uforenlig
Injeksjon Cisatracurium besylate 1 mg/ml
Injeksjon Pantoprazole sodium 0,8 mg/ml
Natriumklorid 0,9 % 3429
Kompatibel
Injeksjon Cisatracurium besylate 0.1 >> 5 mg/ml
Injeksjon Pethidine hydrochloride 4 mg/ml
Glukose 5 % 299
Kompatibel
Injeksjon Cisatracurium besylate 0.1 >> 5 mg/ml
Injeksjon Phenylephrine hydrochloride 1 mg/ml
Glukose 5 % 299
Kompatibel
Injeksjon Cisatracurium besylate 0.1 mg/ml
Injeksjon Piperacillin sodium 40 mg/ml
Glukose 5 % 299
Umiddelbar turbiditet Uforenlig
Injeksjon Cisatracurium besylate 2 & 5 mg/ml
Injeksjon Piperacillin sodium 40 mg/ml
Glukose 5 % 299
Kompatibel
Injeksjon Cisatracurium besylate 0.1 & 2 mg/ml
Injeksjon Piperacillin sodium / tazobactam 40/5 mg/ml
Glukose 5 % 299
Nedbør etter 4 timer Uforenlig
Injeksjon Cisatracurium besylate 5 mg/ml
Injeksjon Piperacillin sodium / tazobactam 40/5 mg/ml
Glukose 5 % 299
Kompatibel
Injeksjon Cisatracurium besylate 0.4 mg/ml
Injeksjon Plazomicin sulfate 24 mg/ml
Natriumklorid 0,9 % 4145
Kompatibel
Injeksjon Cisatracurium besylate 0.1 >> 5 mg/ml
Injeksjon Potassium chloride 100 mEq/l
Glukose 5 % 299
Kompatibel
Injeksjon Cisatracurium besylate 5 mg/ml
Injeksjon Potassium chloride 10 mEq/l
Natriumklorid 0,9 % 3823
Kompatibel
Injeksjon Cisatracurium besylate 0.1 >> 5 mg/ml
Injeksjon Procainamide hydrochloride 10 mg/ml
Glukose 5 % 299
Kompatibel
Injeksjon Cisatracurium besylate 0.1 >> 5 mg/ml
Injeksjon Prochlorperazine edysilate 0.5 mg/ml
Glukose 5 % 299
Kompatibel
Injeksjon Cisatracurium besylate 0.1 >> 5 mg/ml
Injeksjon Promethazine hydrochloride 2 mg/ml
Glukose 5 % 299
Uspesifisert inkompatibilitet Uforenlig
Injeksjon Cisatracurium besylate
Injeksjon Propofol
3601
Kompatibel
Injeksjon Cisatracurium besylate 0.1 >> 5 mg/ml
Injeksjon Ranitidine hydrochloride 2 mg/ml
Glukose 5 % 299
Kompatibel
Injeksjon Cisatracurium besylate 5 mg/ml
Injeksjon Remifentanil hydrochloride 100 µg/ml
Natriumklorid 0,9 % 3823
Kompatibel
Injeksjon Cisatracurium besylate 2 mg/ml
Injeksjon Remifentanil hydrochloride 25 & 250 µg/ml
Natriumklorid 0,9 % 59
Uspesifisert inkompatibilitet Uforenlig
Injeksjon Cisatracurium besylate
Injeksjon Sodium bicarbonate
3466
Turbiditet på en time Uforenlig
Injeksjon Cisatracurium besylate 2 mg/ml
Injeksjon Sodium bicarbonate 84 mg/ml
Glukose 5 % 299
Uspesifisert inkompatibilitet Uforenlig
Injeksjon Cisatracurium besylate
Injeksjon Sodium bicarbonate
3601
Kompatibel
Injeksjon Cisatracurium besylate 0.1 mg/ml
Injeksjon Sodium bicarbonate 84 mg/ml
Glukose 5 % 299
Umiddelbar turbiditet Uforenlig
Injeksjon Cisatracurium besylate 5 mg/ml
Injeksjon Sodium bicarbonate 84 mg/ml
Glukose 5 % 299
Grumhet på 2 timer Uforenlig
Injeksjon Cisatracurium besylate 5 mg/ml
Injeksjon Sodium bicarbonate 84 mg/ml
Ingen 3212
Kompatibel
Injeksjon Cisatracurium besylate 0.1 >> 5 mg/ml
Injeksjon Sufentanil citrate 0.0125 mg/ml
Glukose 5 % 299
Kompatibel
Injeksjon Cisatracurium besylate
Injeksjon Sufentanil citrate
3601
Kompatibel
Injeksjon Cisatracurium besylate 0,4 mg/ml
Injeksjon Sulbactam/durlobactam 15/15 mg/ml
Natriumklorid 0,9 % 4801
Kompatibel
Injeksjon Cisatracurium besylate 0.4 mg/ml
Injeksjon Tedizolid phosphate 0.8 mg/ml
Natriumklorid 0,9 % 3827
Kompatibel
Injeksjon Cisatracurium besylate 0.1 >> 5 mg/ml
Injeksjon Theophylline 3.2 mg/ml
Glukose 5 % 299
Uspesifisert inkompatibilitet Uforenlig
Injeksjon Cisatracurium besylate
Injeksjon Thiopental sodium
3601
Kompatibel
Injeksjon Cisatracurium besylate 0.1 mg/ml
Injeksjon Thiopental sodium 25 mg/ml
Glukose 5 % 299
Uspesifisert inkompatibilitet Uforenlig
Injeksjon Cisatracurium besylate 5 mg/ml
Injeksjon Thiopental sodium 60 mg/ml
Natriumklorid 0,9 % 3823
Umiddelbar nedbør Uforenlig
Injeksjon Cisatracurium besylate 2 & 5 mg/ml
Injeksjon Thiopental sodium 25 mg/ml
Glukose 5 % 299
Kompatibel
Injeksjon Cisatracurium besylate 0.1 & 2 mg/ml
Injeksjon Ticarcillin / clavulanic acid 30 mg/ml
Glukose 5 % 299
Umiddelbar turbiditet Uforenlig
Injeksjon Cisatracurium besylate 5 mg/ml
Injeksjon Ticarcillin / clavulanic acid 30 mg/ml
Glukose 5 % 299
Kompatibel
Injeksjon Cisatracurium besylate 0.1 >> 5 mg/ml
Injeksjon Tobramycin sulfate 5 mg/ml
Glukose 5 % 299
Kompatibel
Injeksjon Cisatracurium besylate 0.1 >> 5 mg/ml
Injeksjon Vancomycin hydrochloride 10 mg/ml
Glukose 5 % 299
Kompatibel
Injeksjon Cisatracurium besylate 1 mg/ml
Injeksjon Vasopressin 1 UI/ml
Natriumklorid 0,9 % 3429
Kompatibel
Injeksjon Cisatracurium besylate 0.1 >> 5 mg/ml
Injeksjon Zidovudine 4 mg/ml
Glukose 5 % 299

  Mentions Légales