Poslední aktualizace :
27/04/2026
Kuraremimetický   Cisatracurium besylate  
injekce
Stabilita roztoků Stabilita směsí Faktory ovlivňující stabilitu Kompatibilita Způsoby aplikace Odkazy pdf
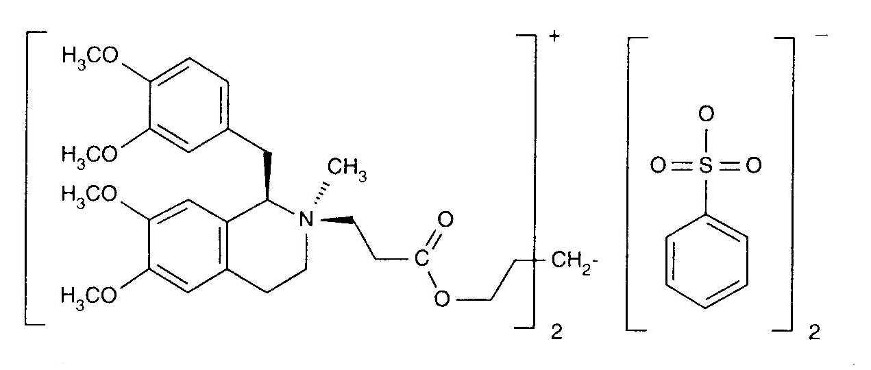
   Chemický vzorec  

Obchodní název   Obchodní název     

Trade names are indicative and excipients composition can be different depending on the country and manufacturers

Bensitrak Mexiko
Besilato de cisatracurio
Cicuryl Mexiko
Cirium Kolumbie
Cis Atracure
Cisatracurio äpanÏlsko, BrazÌlie, Chile, Ekvádor, Itálie, Kolumbie, Peru
Cisatracurium Belgie, Finsko, Francie, Irsko, Kanada, MaÔarsko, NÏmecko, Tunisko, Velká Británie
Nimbex äpanÏlsko, Belgie, Chile, Dánsko, Egypt, Ekvádor, Finsko, Francie, Írán, Irsko, Itálie, Kanada, Lucembursko, Malajsie, MaÔarsko, Mexiko, NÏmecko, Nizozemsko, Norsko, Peru, Polsko, Portugalsko, Rakousko, Saúdská Arábie, Slovinsko, Spojené arabské emiráty, Švédsko, Tunisko, Turecko, USA, Velká Británie, Venezuela, ÿecko
Nimbium BrazÌlie, Kolumbie
Kompatibilita   injekce   Kompatibilita : Cisatracurium besylate              
Tato obrazovka ukazuje kompatibilitu nebo nekompatibilitu s, v tomto případě, typem nekompatibility (srážení, změna barvy, modifikace emulze atd.). Zde uvedené kompatibility jsou většinou pouze fyzikální, přičemž chemická stabilita každé molekuly je zřídka hodnocena. Hodnocení těchto směsí bylo studováno, aby se zvážila možnost podání Y-místa pacientovi. Tyto údaje nelze použít k přípravě směsí předem v pytlích nebo stříkačkách. Tento typ informací je k dispozici na obrazovce „Stabilita ve směsi“.
SlouËenina RozpouötÏdlo Odkazy
Okamžité srážení Nekompatibilní
injekce Cisatracurium besylate 5 mg/ml
injekce Aciclovir sodium 7 mg/ml
GlukÛza 5% 299
Kompatibilní
injekce Cisatracurium besylate 0.1 & 2 mg/ml
injekce Aciclovir sodium 7 mg/ml
GlukÛza 5% 299
Kompatibilní
injekce Cisatracurium besylate
injekce Alfentanil hydrochloride
3601
Kompatibilní
injekce Cisatracurium besylate 0.1 >> 5 mg/ml
injekce Alfentanil hydrochloride 125 µg/ml
GlukÛza 5% 299
Okamžité srážení Nekompatibilní
injekce Cisatracurium besylate 1,2 mg/ml
injekce Alprostadil 20 µg/ml
GlukÛza 5% 4651
Okamžité srážení Nekompatibilní
injekce Cisatracurium besylate 1,2 mg/ml
injekce Alprostadil 20 µg/ml
GlukÛza 5% 4491
Kompatibilní
injekce Cisatracurium besylate 0.1 >> 5 mg/ml
injekce Amikacin sulfate 5 mg/ml
GlukÛza 5% 299
Kompatibilní
injekce Cisatracurium besylate 0.1 & 2 mg/ml
injekce Aminophylline 2.5 mg/ml
GlukÛza 5% 299
Zákal za hodinu Nekompatibilní
injekce Cisatracurium besylate 5 mg/ml
injekce Aminophylline 2.5 mg/ml
GlukÛza 5% 299
Kompatibilní
injekce Cisatracurium besylate
injekce Amiodarone hydrochloride
3464
Kompatibilní
injekce Cisatracurium besylate 5 mg/ml
injekce Amiodarone hydrochloride 15 mg/ml
GlukÛza 5% 3823
Kompatibilní
injekce Cisatracurium besylate 0.1 mg/ml
injekce Amphotericin B 0.6 mg/ml
GlukÛza 5% 299
Okamžité srážení Nekompatibilní
injekce Cisatracurium besylate 2 & 5 mg/ml
injekce Amphotericin B 0.6 mg/ml
GlukÛza 5% 299
Okamžité srážení Nekompatibilní
injekce Cisatracurium besylate 2 mg/ml
injekce Amphotericin B cholesteryl sulfate complex 0.83 mg/ml
GlukÛza 5% 921
Zákal za hodinu Nekompatibilní
injekce Cisatracurium besylate 5 mg/ml
injekce Ampicillin sodium 20 mg/ml
Chlorid sodný 0,9% 299
Kompatibilní
injekce Cisatracurium besylate 0.1 & 2 mg/ml
injekce Ampicillin sodium 20 mg/ml
GlukÛza 5% 299
Zákal za hodinu Nekompatibilní
injekce Cisatracurium besylate 5 mg/ml
injekce Ampicillin sodium 20 mg/ml
GlukÛza 5% 299
Okamžitá zákal Nekompatibilní
injekce Cisatracurium besylate 5 mg/ml
injekce Ampicillin sodium - sulbactam sodium 20/10 mg/ml
GlukÛza 5% 299
Okamžitá zákal Nekompatibilní
injekce Cisatracurium besylate 5 mg/ml
injekce Ampicillin sodium - sulbactam sodium 20/10 mg/ml
Chlorid sodný 0,9% 299
Kompatibilní
injekce Cisatracurium besylate 0.1 & 2 mg/ml
injekce Ampicillin sodium - sulbactam sodium 20/10 mg/ml
GlukÛza 5% 299
Kompatibilní
injekce Cisatracurium besylate 0.1 >> 5 mg/ml
injekce Aztreonam 40 mg/ml
GlukÛza 5% 299
Kompatibilní
injekce Cisatracurium besylate 0.1 >> 5 mg/ml
injekce Bumetanide 0.04 mg/ml
GlukÛza 5% 299
Kompatibilní
injekce Cisatracurium besylate 0.1 >> 5 mg/ml
injekce Buprenorphine hydrochloride 0.04 mg/ml
GlukÛza 5% 299
Kompatibilní
injekce Cisatracurium besylate 0.1 >> 5 mg/ml
injekce Butorphanol tartrate 0.04 mg/ml
GlukÛza 5% 299
Kompatibilní
injekce Cisatracurium besylate 0.1 >> 5 mg/ml
injekce Calcium gluconate 40 mg/ml
GlukÛza 5% 299
Kompatibilní
injekce Cisatracurium besylate 1 mg/ml
injekce Calcium gluconate 20 mg/ml
Chlorid sodný 0,9% 3429
Okamžitá zákal Nekompatibilní
injekce Cisatracurium besylate 2 & 5 mg/ml
injekce Cefazolin sodium 20 mg/ml
GlukÛza 5% 299
Kompatibilní
injekce Cisatracurium besylate 0.1 mg/ml
injekce Cefazolin sodium 20 mg/ml
GlukÛza 5% 299
Kompatibilní
injekce Cisatracurium besylate 0.4 mg/ml
injekce Cefiderocol sulfate tosylate 20 mg/mL
GlukÛza 5% 4528
Kompatibilní
injekce Cisatracurium besylate 0.4 mg/ml
injekce Cefiderocol sulfate tosylate 20 mg/mL
Chlorid sodný 0,9% 4528
Okamžité srážení Nekompatibilní
injekce Cisatracurium besylate 0.1 >> 5 mg/ml
injekce Cefoperazone sodium 40 mg/ml
GlukÛza 5% 299
Kompatibilní
injekce Cisatracurium besylate 0.1 >> 5 mg/ml
injekce Cefoperazone sodium 40 mg/ml
GlukÛza 5% 299
Zákal za 4 hodiny Nekompatibilní
injekce Cisatracurium besylate 2 mg/ml
injekce Cefotaxime sodium 20 mg/ml
GlukÛza 5% 299
Okamžitá zákal Nekompatibilní
injekce Cisatracurium besylate 5 mg/ml
injekce Cefotaxime sodium 20 mg/ml
GlukÛza 5% 299
Kompatibilní
injekce Cisatracurium besylate 0.1 mg/ml
injekce Cefotaxime sodium 20 mg/ml
GlukÛza 5% 299
Kompatibilní
injekce Cisatracurium besylate 0.1 mg/ml
injekce Cefoxitin sodium 20 mg/ml
GlukÛza 5% 299
Okamžitá zákal Nekompatibilní
injekce Cisatracurium besylate 2 & 5 mg/ml
injekce Cefoxitin sodium 20 mg/ml
GlukÛza 5% 299
Kompatibilní
injekce Cisatracurium besylate 0,5 mg/ml
injekce Ceftaroline fosamil 2,22 mg/ml
RingerŐs laktátový roztok 3249
Kompatibilní
injekce Cisatracurium besylate 0,5 mg/ml
injekce Ceftaroline fosamil 2,22 mg/ml
GlukÛza 5% 3249
Kompatibilní
injekce Cisatracurium besylate 0,5 mg/ml
injekce Ceftaroline fosamil 2,22 mg/ml
Chlorid sodný 0,9% 3249
Okamžitá zákal Nekompatibilní
injekce Cisatracurium besylate 5 mg/ml
injekce Ceftazidime 40 mg/ml
GlukÛza 5% 299
Kompatibilní
injekce Cisatracurium besylate 0.1 & 2 mg/ml
injekce Ceftazidime 40 mg/ml
GlukÛza 5% 299
Kompatibilní
injekce Cisatracurium besylate 0.1 & 2 mg/ml
injekce Ceftizoxime sodium 20 mg/ml
GlukÛza 5% 299
Zákal za hodinu Nekompatibilní
injekce Cisatracurium besylate 5 mg/ml
injekce Ceftizoxime sodium 20 mg/ml
GlukÛza 5% 299
Okamžité srážení Nekompatibilní
injekce Cisatracurium besylate 0.5 mg/ml
injekce Ceftobiprole medocaril sodium 2 mg/ml
Chlorid sodný 0,9% 2269
Okamžité srážení Nekompatibilní
injekce Cisatracurium besylate 0.5 mg/ml
injekce Ceftobiprole medocaril sodium 2 mg/ml
RingerŐs laktátový roztok 2269
Okamžité srážení Nekompatibilní
injekce Cisatracurium besylate 0.5 mg/ml
injekce Ceftobiprole medocaril sodium 2 mg/ml
GlukÛza 5% 2269
Nespecifikovaná nekompatibilita Nekompatibilní
injekce Cisatracurium besylate
injekce Ceftobiprole medocaril sodium
4650
Kompatibilní
injekce Cisatracurium besylate 0.4 mg/ml
injekce Ceftolozane / tazobactam 10/5 mg/ml
GlukÛza 5% 3828
Kompatibilní
injekce Cisatracurium besylate 0.4 mg/ml
injekce Ceftolozane / tazobactam 10/5 mg/ml
Chlorid sodný 0,9% 3828
Kompatibilní
injekce Cisatracurium besylate 0.1 >> 5 mg/ml
injekce Ceftriaxone disodium 20 mg/ml
GlukÛza 5% 299
Okamžité srážení Nekompatibilní
injekce Cisatracurium besylate 2 & 5 mg/ml
injekce Cefuroxime sodium 30 mg/ml
GlukÛza 5% 299
Kompatibilní
injekce Cisatracurium besylate 0.1 >> 5 mg/ml
injekce Chlorpromazine hydrochloride 2 mg/ml
GlukÛza 5% 299
Kompatibilní
injekce Cisatracurium besylate 0.1 >> 5 mg/ml
injekce Cimetidine hydrochloride 12 mg/ml
GlukÛza 5% 299
Kompatibilní
injekce Cisatracurium besylate 0.1 >> 5 mg/ml
injekce Ciprofloxacin lactate 1 mg/ml
GlukÛza 5% 299
Kompatibilní
injekce Cisatracurium besylate 0.1 >> 5 mg/ml
injekce Clindamycin phosphate 10 mg/ml
GlukÛza 5% 299
Kompatibilní
injekce Cisatracurium besylate 5 mg/ml
injekce Clonazepam 0.2 mg/ml
Chlorid sodný 0,9% 3823
Kompatibilní
injekce Cisatracurium besylate 5 mg/ml
injekce Clonidine hydrochloride 0.012 mg/ml
Chlorid sodný 0,9% 3823
Okamžitá zákal Nekompatibilní
injekce Cisatracurium besylate 2 & 5 mg/ml
injekce Co-trimoxazole 0,8/4 mg/ml
GlukÛza 5% 299
Kompatibilní
injekce Cisatracurium besylate 0.1 mg/ml
injekce Co-trimoxazole 0.8/4 mg/ml
GlukÛza 5% 299
Kompatibilní
injekce Cisatracurium besylate 0.5 mg/ml
injekce Dexmedetomidine 4 µg/ml
Chlorid sodný 0,9% 1712
Kompatibilní
injekce Cisatracurium besylate 0.1 >> 5 mg/ml
injekce Diazepam 0.25 mg/ml
GlukÛza 5% 299
Okamžité srážení Nekompatibilní
injekce Cisatracurium besylate 0.1 >> 5 mg/ml
injekce Diazepam 5 mg/ml
GlukÛza 5% 299
Nespecifikovaná nekompatibilita Nekompatibilní
injekce Cisatracurium besylate 5 mg/ml
injekce Diclofenac 3 mg/ml
Chlorid sodný 0,9% 3823
Kompatibilní
injekce Cisatracurium besylate 0.1 >> 5 mg/ml
injekce Digoxin 250 µg/ml
GlukÛza 5% 299
Kompatibilní
injekce Cisatracurium besylate 1 mg/ml
injekce Diltiazem hydrochloride 1 mg/ml
Chlorid sodný 0,9% 3429
Kompatibilní
injekce Cisatracurium besylate 0.1 >> 5 mg/ml
injekce Diphenhydramine hydrochloride 2 mg/ml
GlukÛza 5% 299
Kompatibilní
injekce Cisatracurium besylate 0.1 >> 5 mg/ml
injekce Dobutamine hydrochloride 4 mg/ml
GlukÛza 5% 299
Kompatibilní
injekce Cisatracurium besylate 0.1 >> 5 mg/ml
injekce Dopamine hydrochloride 3.2 mg/ml
GlukÛza 5% 299
Kompatibilní
injekce Cisatracurium besylate 0.1 >> 5 mg/ml
injekce Doxycycline hyclate 1 mg/ml
GlukÛza 5% 299
Kompatibilní
injekce Cisatracurium besylate
injekce Droperidol
3601
Kompatibilní
injekce Cisatracurium besylate 0.1 >> 5 mg/ml
injekce Droperidol 2.5 mg/ml
GlukÛza 5% 299
Kompatibilní
injekce Cisatracurium besylate 0.1 >> 5 mg/ml
injekce Enalaprilate 0.1 mg/ml
GlukÛza 5% 299
Kompatibilní
injekce Cisatracurium besylate 0.1 >> 5 mg/ml
injekce Epinephrine hydrochloride 50 µg/ml
GlukÛza 5% 299
Kompatibilní
injekce Cisatracurium besylate 0,4 mg/ml
injekce Eravacycline 0,6 mg/ml
Chlorid sodný 0,9% 4434
Kompatibilní
injekce Cisatracurium besylate 0.1 >> 5 mg/ml
injekce Esmolol hydrochloride 10 mg/ml
GlukÛza 5% 299
Kompatibilní
injekce Cisatracurium besylate 0.4 mg/ml
injekce Fosfomycin 30 mg/ml
GlukÛza 5% 4055
Okamžitá zákal Nekompatibilní
injekce Cisatracurium besylate 5 mg/ml
NaHCO3 3823
Kompatibilní
injekce Cisatracurium besylate 5 mg/ml
injekce Esmolol hydrochloride 10 mg/ml
Chlorid sodný 0,9% 3823
Kompatibilní
injekce Cisatracurium besylate 2 mg/ml
injekce Esmolol hydrochloride 10 mg/ml
Chlorid sodný 0,9% 3879
Kompatibilní
injekce Cisatracurium besylate 1 mg/ml
injekce Esomeprazole sodium 0,4 mg/ml
Chlorid sodný 0,9% 3429
Kompatibilní
injekce Cisatracurium besylate 0.1 >> 5 mg/ml
injekce Famotidine 2 mg/ml
GlukÛza 5% 299
Kompatibilní
injekce Cisatracurium besylate 0.5 mg/ml
injekce Fenoldopam mesylate 80 µg/ml
Chlorid sodný 0,9% 1803
Kompatibilní
injekce Cisatracurium besylate 0.1 >> 5 mg/ml
injekce Fentanyl citrate 12.5 µg/ml
GlukÛza 5% 299
Kompatibilní
injekce Cisatracurium besylate
injekce Fentanyl citrate
3601
Kompatibilní
injekce Cisatracurium besylate 0.1 >> 5 mg/ml
injekce Fluconazole 2 mg/ml
GlukÛza 5% 299
Kompatibilní
injekce Cisatracurium besylate 0.4 mg/ml
injekce Fosfomycin 30 mg/ml
Chlorid sodný 0,9% 4055
Nespecifikovaná nekompatibilita Nekompatibilní
injekce Cisatracurium besylate
injekce Furosemide
3465
Okamžitá zákal Nekompatibilní
injekce Cisatracurium besylate 2 & 5 mg/ml
NaHCO3 299
Okamžité srážení Nekompatibilní
injekce Cisatracurium besylate 5 mg/ml
injekce Furosemide 10 mg/ml
Chlorid sodný 0,9% 3463
Kompatibilní
injekce Cisatracurium besylate 0.1 mg/ml
injekce Furosemide 3 mg/ml
GlukÛza 5% 299
Nespecifikovaná nekompatibilita Nekompatibilní
injekce Cisatracurium besylate 5 mg/ml
injekce Furosemide 10 mg/ml
Chlorid sodný 0,9% 3823
Okamžité srážení Nekompatibilní
injekce Cisatracurium besylate 5 mg/ml
injekce Ganciclovir sodium 20 mg/ml
GlukÛza 5% 299
Nespecifikovaná nekompatibilita Nekompatibilní
injekce Cisatracurium besylate
NaHCO3 3466
Kompatibilní
injekce Cisatracurium besylate 0.1 & 2 mg/ml
injekce Ganciclovir sodium 20 mg/ml
GlukÛza 5% 299
Nespecifikovaná nekompatibilita Nekompatibilní
injekce Cisatracurium besylate
NaHCO3 3601
Okamžité srážení Nekompatibilní
injekce Cisatracurium besylate 2 & 5 mg/ml
injekce Furosemide 3 mg/ml
GlukÛza 5% 299
Nespecifikovaná nekompatibilita Nekompatibilní
injekce Cisatracurium besylate 5 mg/ml
injekce Furosemide 10 mg/ml
Žádné 3134
Kompatibilní
injekce Cisatracurium besylate 0.1 >> 5 mg/ml
injekce Gentamicin sulfate 5 mg/ml
GlukÛza 5% 299
Kompatibilní
injekce Cisatracurium besylate 0.1 >> 5 mg/ml
injekce Haloperidol lactate 0.2 mg/ml
GlukÛza 5% 299
Okamžité srážení Nekompatibilní
injekce Cisatracurium besylate 5 mg/ml
injekce Heparin sodium 100 UI/ml
GlukÛza 5% 299
Nestabilita emulze po 4 hodinách Nekompatibilní
injekce Cisatracurium besylate 2 mg/ml
Parenterální výživa (lipidy) 4507
Nespecifikovaná nekompatibilita Nekompatibilní
injekce Cisatracurium besylate
RingerŐs laktátový roztok 3601
Změna barvy Nekompatibilní
injekce Cisatracurium besylate 5 mg/ml
injekce Heparin sodium 500 UI/ml
Chlorid sodný 0,9% 3463
Kompatibilní
injekce Cisatracurium besylate 0.1 & 2 mg/ml
injekce Heparin sodium 100 UI/ml
GlukÛza 5% 299
Nespecifikovaná nekompatibilita Nekompatibilní
injekce Cisatracurium besylate 5 mg/ml
injekce Heparin sodium 500 UI/ml
Chlorid sodný 0,9% 3823
Kompatibilní
injekce Cisatracurium besylate
GlukÛza 5% 3601
Nespecifikovaná nekompatibilita Nekompatibilní
injekce Cisatracurium besylate
injekce Heparin sodium
3540
Kompatibilní
injekce Cisatracurium besylate 0.5 mg/ml
injekce Hetastarch 60 mg/ml
Zvláštní rozpouštědla 1721
Kompatibilní
injekce Cisatracurium besylate 0.1 >> 5 mg/ml
injekce Hydrocortisone sodium succinate 1 mg/ml
GlukÛza 5% 299
Kompatibilní
injekce Cisatracurium besylate 2 mg/ml
injekce Hydrocortisone sodium succinate 1 mg/ml
Chlorid sodný 0,9% 4465
Kompatibilní
injekce Cisatracurium besylate 0.1 >> 5 mg/ml
injekce Hydromorphone hydrochloride 0.5 mg/ml
GlukÛza 5% 299
Kompatibilní
injekce Cisatracurium besylate 0.1 >> 5 mg/ml
injekce Hydroxyzine dihydrochloride 2 mg/ml
GlukÛza 5% 299
Kompatibilní
injekce Cisatracurium besylate 0.1 >> 5 mg/ml
injekce Imipenem - cilastatin sodium 10 mg/ml
GlukÛza 5% 299
Kompatibilní
injekce Cisatracurium besylate 0,4 mg/ml
injekce Imipenem-Cilastatin / Relebactam 5 mg/ml
Chlorid sodný 0,9% 4433
Kompatibilní
injekce Cisatracurium besylate 0,4 mg/ml
injekce Imipenem-Cilastatin / Relebactam 5 mg/ml
GlukÛza 5% 4433
Kompatibilní
injekce Cisatracurium besylate 1 mg/ml
injekce Insulin 1 UI/ml
Chlorid sodný 0,9% 3429
Kompatibilní
injekce Cisatracurium besylate 5 mg/ml
injekce Insulin 2 UI/ml
Chlorid sodný 0,9% 3823
Kompatibilní
injekce Cisatracurium besylate 0.4 mg/ml
injekce Isavuconazonium sulfate 1.5 mg/ml
Chlorid sodný 0,9% 3829
Kompatibilní
injekce Cisatracurium besylate 0.4 mg/ml
injekce Isavuconazonium sulfate 1.5 mg/ml
GlukÛza 5% 3829
Kompatibilní
injekce Cisatracurium besylate 0.1 >> 5 mg/ml
injekce Isoprenaline hydrochloride 0.02 mg/ml
GlukÛza 5% 299
Kompatibilní
injekce Cisatracurium besylate 0.1 >> 5 mg/ml
injekce Ketorolac tromethamine 15 mg/ml
GlukÛza 5% 299
Nespecifikovaná nekompatibilita Nekompatibilní
injekce Cisatracurium besylate
injekce Ketorolac tromethamine
3601
Kompatibilní
injekce Cisatracurium besylate 0.1 >> 5 mg/ml
injekce Lorazepam 0.5 mg/ml
GlukÛza 5% 299
Kompatibilní
injekce Cisatracurium besylate 0.1 >> 5 mg/ml
injekce Magnesium sulfate 100 mg/ml
GlukÛza 5% 299
Kompatibilní
injekce Cisatracurium besylate 0.1 >> 5 mg/ml
injekce Mannitol 150 mg/ml
GlukÛza 5% 299
Kompatibilní
injekce Cisatracurium besylate
Chlorid sodný 0,9% 3601
Kompatibilní
injekce Cisatracurium besylate 2 mg/ml
injekce Labetalol hydrochloride 5 mg/ml
Chlorid sodný 0,9% 3879
Kompatibilní
injekce Cisatracurium besylate 1 mg/ml
injekce Levetiracetam 5 mg/ml
Chlorid sodný 0,9% 4569
Kompatibilní
injekce Cisatracurium besylate 0.1 >> 5 mg/ml
injekce Lidocaine hydrochloride 8 mg/ml
GlukÛza 5% 299
Kompatibilní
injekce Cisatracurium besylate 2 mg/ml
injekce Linezolid 2 mg/ml
Žádné 1925
Kompatibilní
injekce Cisatracurium besylate 0.1 mg/ml
injekce Methylprednisolone sodium succinate 5 mg/ml
GlukÛza 5% 299
Okamžitá zákal Nekompatibilní
injekce Cisatracurium besylate 2 & 5 mg/ml
injekce Methylprednisolone sodium succinate 5 mg/ml
GlukÛza 5% 299
Kompatibilní
injekce Cisatracurium besylate 0.1 >> 5 mg/ml
injekce Metoclopramide hydrochloride 5 mg/ml
GlukÛza 5% 299
Kompatibilní
injekce Cisatracurium besylate 2 mg/ml
injekce Metoprolol tartrate 0.4 mg/ml
Chlorid sodný 0,9% 3879
Kompatibilní
injekce Cisatracurium besylate 0.1 >> 5 mg/ml
injekce Metronidazole 5 mg/ml
GlukÛza 5% 299
Okamžité srážení Nekompatibilní
injekce Cisatracurium besylate 0.5 mg/ml
injekce Micafungin 1.5 mg/ml
Chlorid sodný 0,9% 2108
Kompatibilní
injekce Cisatracurium besylate
injekce Midazolam hydrochloride
3601
Kompatibilní
injekce Cisatracurium besylate 5 mg/ml
injekce Midazolam hydrochloride 2.1 mg/ml
Chlorid sodný 0,9% 3823
Kompatibilní
injekce Cisatracurium besylate 0.1 >> 5 mg/ml
injekce Midazolam hydrochloride 1 mg/ml
GlukÛza 5% 299
Kompatibilní
injekce Cisatracurium besylate 0.1 >> 5 mg/ml
injekce Minocycline hydrochloride 0.2 mg/ml
GlukÛza 5% 299
Kompatibilní
injekce Cisatracurium besylate 0.1 >> 5 mg/ml
injekce Morphine sulfate 1 mg/ml
GlukÛza 5% 299
Kompatibilní
injekce Cisatracurium besylate 0.1 >> 5 mg/ml
injekce Nalbuphine hydrochloride 10 mg/ml
GlukÛza 5% 299
Kompatibilní
injekce Cisatracurium besylate 0.1 >> 5 mg/ml
injekce Netilmicin sulfate 5 mg/ml
GlukÛza 5% 299
Kompatibilní
injekce Cisatracurium besylate 1 mg/ml
injekce Nicardipine hydrochloride 0,5 mg/ml
Chlorid sodný 0,9% 3429
Kompatibilní
injekce Cisatracurium besylate 5 mg/ml
injekce Nimodipine 0.2 mg/ml
Chlorid sodný 0,9% 3823
Kompatibilní
injekce Cisatracurium besylate 0.1 >> 5 mg/ml
injekce Nitroglycerin 0.4 mg/ml
GlukÛza 5% 299
Kompatibilní
injekce Cisatracurium besylate 5 mg/ml
injekce Nitroglycerin 0.2 mg/ml
GlukÛza 5% 3823
Okamžité srážení Nekompatibilní
injekce Cisatracurium besylate 2 & 5 mg/ml
injekce Nitroprusside sodium 2 mg/ml
GlukÛza 5% 299
Kompatibilní
injekce Cisatracurium besylate 0.1 mg/ml
injekce Nitroprusside sodium 2 mg/ml
GlukÛza 5% 299
Kompatibilní
injekce Cisatracurium besylate 0.1 >> 5 mg/ml
injekce Norepinephrine bitartrate 0.12 mg/ml
GlukÛza 5% 299
Kompatibilní
injekce Cisatracurium besylate 0.1 >> 5 mg/ml
injekce Ofloxacin 4 mg/ml
GlukÛza 5% 299
Kompatibilní
injekce Cisatracurium besylate 5 mg/ml
injekce Omeprazole sodium 1.6 mg/ml
Chlorid sodný 0,9% 3823
Kompatibilní
injekce Cisatracurium besylate 0.1 >> 5 mg/ml
injekce Ondansetron hydrochloride 1 mg/ml
GlukÛza 5% 299
Kompatibilní
injekce Cisatracurium besylate 0,5 mg/ml
injekce Palonosetron hydrochloride 50 µg/ml
GlukÛza 5% 2227
Zákal za hodinu Nekompatibilní
injekce Cisatracurium besylate 1 mg/ml
injekce Pantoprazole sodium 0,8 mg/ml
Chlorid sodný 0,9% 3429
Kompatibilní
injekce Cisatracurium besylate 0.1 >> 5 mg/ml
injekce Pethidine hydrochloride 4 mg/ml
GlukÛza 5% 299
Kompatibilní
injekce Cisatracurium besylate 0.1 >> 5 mg/ml
injekce Phenylephrine hydrochloride 1 mg/ml
GlukÛza 5% 299
Kompatibilní
injekce Cisatracurium besylate 0.1 mg/ml
injekce Piperacillin sodium 40 mg/ml
GlukÛza 5% 299
Okamžitá zákal Nekompatibilní
injekce Cisatracurium besylate 2 & 5 mg/ml
injekce Piperacillin sodium 40 mg/ml
GlukÛza 5% 299
Kompatibilní
injekce Cisatracurium besylate 0.1 & 2 mg/ml
injekce Piperacillin sodium / tazobactam 40/5 mg/ml
GlukÛza 5% 299
Srážky po 4 hodinách Nekompatibilní
injekce Cisatracurium besylate 5 mg/ml
injekce Piperacillin sodium / tazobactam 40/5 mg/ml
GlukÛza 5% 299
Kompatibilní
injekce Cisatracurium besylate 0.4 mg/ml
injekce Plazomicin sulfate 24 mg/ml
Chlorid sodný 0,9% 4145
Kompatibilní
injekce Cisatracurium besylate 0.1 >> 5 mg/ml
injekce Potassium chloride 100 mEq/l
GlukÛza 5% 299
Kompatibilní
injekce Cisatracurium besylate 5 mg/ml
injekce Potassium chloride 10 mEq/l
Chlorid sodný 0,9% 3823
Kompatibilní
injekce Cisatracurium besylate 0.1 >> 5 mg/ml
injekce Procainamide hydrochloride 10 mg/ml
GlukÛza 5% 299
Kompatibilní
injekce Cisatracurium besylate 0.1 >> 5 mg/ml
injekce Prochlorperazine edysilate 0.5 mg/ml
GlukÛza 5% 299
Kompatibilní
injekce Cisatracurium besylate 0.1 >> 5 mg/ml
injekce Promethazine hydrochloride 2 mg/ml
GlukÛza 5% 299
Nespecifikovaná nekompatibilita Nekompatibilní
injekce Cisatracurium besylate
injekce Propofol
3601
Kompatibilní
injekce Cisatracurium besylate 0.1 >> 5 mg/ml
injekce Ranitidine hydrochloride 2 mg/ml
GlukÛza 5% 299
Kompatibilní
injekce Cisatracurium besylate 5 mg/ml
injekce Remifentanil hydrochloride 100 µg/ml
Chlorid sodný 0,9% 3823
Kompatibilní
injekce Cisatracurium besylate 2 mg/ml
injekce Remifentanil hydrochloride 25 & 250 µg/ml
Chlorid sodný 0,9% 59
Nespecifikovaná nekompatibilita Nekompatibilní
injekce Cisatracurium besylate
injekce Sodium bicarbonate
3466
Zákal za hodinu Nekompatibilní
injekce Cisatracurium besylate 2 mg/ml
injekce Sodium bicarbonate 84 mg/ml
GlukÛza 5% 299
Nespecifikovaná nekompatibilita Nekompatibilní
injekce Cisatracurium besylate
injekce Sodium bicarbonate
3601
Kompatibilní
injekce Cisatracurium besylate 0.1 mg/ml
injekce Sodium bicarbonate 84 mg/ml
GlukÛza 5% 299
Okamžitá zákal Nekompatibilní
injekce Cisatracurium besylate 5 mg/ml
injekce Sodium bicarbonate 84 mg/ml
GlukÛza 5% 299
Zákal za 2 hodiny Nekompatibilní
injekce Cisatracurium besylate 5 mg/ml
injekce Sodium bicarbonate 84 mg/ml
Žádné 3212
Kompatibilní
injekce Cisatracurium besylate 0.1 >> 5 mg/ml
injekce Sufentanil citrate 0.0125 mg/ml
GlukÛza 5% 299
Kompatibilní
injekce Cisatracurium besylate
injekce Sufentanil citrate
3601
Kompatibilní
injekce Cisatracurium besylate 0,4 mg/ml
injekce Sulbactam/durlobactam 15/15 mg/ml
Chlorid sodný 0,9% 4801
Kompatibilní
injekce Cisatracurium besylate 0.4 mg/ml
injekce Tedizolid phosphate 0.8 mg/ml
Chlorid sodný 0,9% 3827
Kompatibilní
injekce Cisatracurium besylate 0.1 >> 5 mg/ml
injekce Theophylline 3.2 mg/ml
GlukÛza 5% 299
Nespecifikovaná nekompatibilita Nekompatibilní
injekce Cisatracurium besylate
injekce Thiopental sodium
3601
Kompatibilní
injekce Cisatracurium besylate 0.1 mg/ml
injekce Thiopental sodium 25 mg/ml
GlukÛza 5% 299
Nespecifikovaná nekompatibilita Nekompatibilní
injekce Cisatracurium besylate 5 mg/ml
injekce Thiopental sodium 60 mg/ml
Chlorid sodný 0,9% 3823
Okamžité srážení Nekompatibilní
injekce Cisatracurium besylate 2 & 5 mg/ml
injekce Thiopental sodium 25 mg/ml
GlukÛza 5% 299
Kompatibilní
injekce Cisatracurium besylate 0.1 & 2 mg/ml
injekce Ticarcillin / clavulanic acid 30 mg/ml
GlukÛza 5% 299
Okamžitá zákal Nekompatibilní
injekce Cisatracurium besylate 5 mg/ml
injekce Ticarcillin / clavulanic acid 30 mg/ml
GlukÛza 5% 299
Kompatibilní
injekce Cisatracurium besylate 0.1 >> 5 mg/ml
injekce Tobramycin sulfate 5 mg/ml
GlukÛza 5% 299
Kompatibilní
injekce Cisatracurium besylate 0.1 >> 5 mg/ml
injekce Vancomycin hydrochloride 10 mg/ml
GlukÛza 5% 299
Kompatibilní
injekce Cisatracurium besylate 1 mg/ml
injekce Vasopressin 1 UI/ml
Chlorid sodný 0,9% 3429
Kompatibilní
injekce Cisatracurium besylate 0.1 >> 5 mg/ml
injekce Zidovudine 4 mg/ml
GlukÛza 5% 299

  Mentions Légales