Utolsó frissítés :
05/12/2025
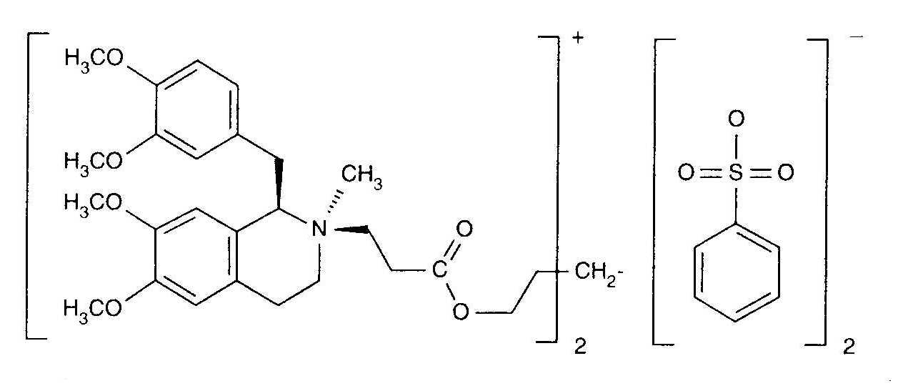
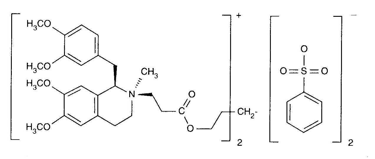
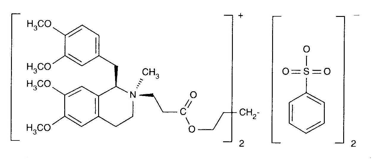
Izombénító   Cisatracurium besylate  
Injekció
Az oldatok stabilitása A keverékek stabilitása Stabilitást befolyásoló tényezők Kompatibilitás Az alkalmazás módja Irodalom pdf
   Kémiai szerkezet   

Kereskedelmi név   Kereskedelmi név     

A kereskedelmi név meghatározó jelentőségű: a készítmények összetétele országonként, előállítóként eltérő lehet

Bensitrak Mexikó
Besilato de cisatracurio
Cicuryl Mexikó
Cirium Colombia
Cis Atracure
Cisatracurio Brazília, Chile, Colombia, Ecuador, Olaszország, Peru, Spanyolország
Cisatracurium Belgium, Finnország, Franciaország, Írország, Kanada, Magyarország, Nagy-Britannia, Németország, Tunézia
Nimbex Amerikai Egyesült Államok, Ausztria, Belgium, Chile, Dánia, Ecuador, Egyesült Arab Emírségek, Egyiptom, Finnország, Franciaország, Görögország, Hollandia, Irán, Írország, Kanada, Lengyelország, Luxemburg, Magyarország, Malaysia, Mexikó, Nagy-Britannia, Németország, Norvégia, Olaszország, Peru, Portugália, Spanyolország, Svédország, Szaúd-Arábiában, Szlovénia, Törökország, Tunézia, Venezuela
Nimbium Brazília, Colombia
Az alkalmazás módja   Az alkalmazás módja :Cisatracurium besylate     
Voie
Intravénás
Folyamatos infúzió

  Mentions Légales