Viimeisin päivitys :
27/04/2026
Lihasrelaksantit   Cisatracurium besylate  
Injektioneste
Stabilius liuoksessa Stabilius seoksissa Tekijät, jotka vaikuttavat stabiliuteen Yhteensopivuus Antotapa Viitteet pdf
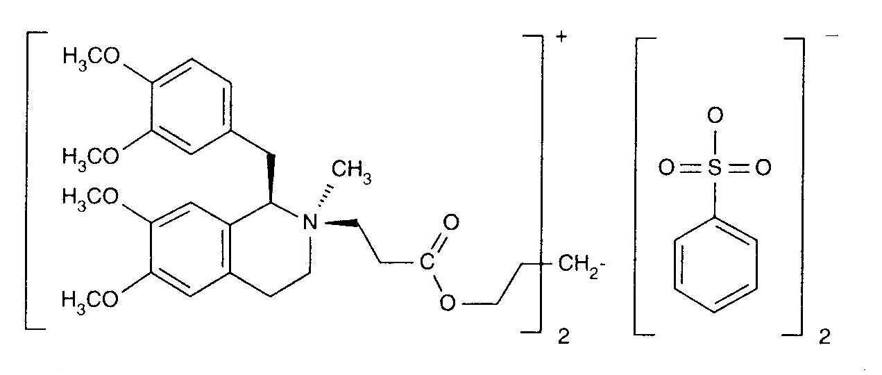
   Kemiallinen rakenne  

Kauppanimi   Kauppanimi     

Trade names are indicative and excipients composition can be different depending on the country and manufacturers

Bensitrak Meksiko
Besilato de cisatracurio
Cicuryl Meksiko
Cirium Kolumbia
Cis Atracure
Cisatracurio Brasilia, Chile, Ecuador, Espanja, Italia, Kolumbia, Marokko
Cisatracurium Belgia, Irlanti, Iso-Britannia, Kanada, Ranska, Saksa, Suomi, Tunisia, Unkari
Nimbex Belgia, Chile, Ecuador, Egypti, Espanja, Hollanti, Iran, Irlanti, Iso-Britannia, Italia, Itävalta, Kanada, Kreikka, Luxemburg, Malesia, Marokko, Meksiko, Norja, Portugali, Puola, Ranska, Ruotsi, Saksa, Saudi-Arabia, Slovenia, Suomi, Tanska, Tunisia, Turkki, Unkari, Venezuela, Yhdistyneet arabiemiirikunnat, Yhdysvallat
Nimbium Brasilia, Kolumbia
Yhteensopivuus   Injektioneste   Yhteensopivuus : Cisatracurium besylate              
Tämä näyttö osoittaa yhteensopivuuden tai yhteensopimattomuuden yhteensopimattomuuden tyypin kanssa (saostuminen, värinmuutos, emulsiomuutos jne.). Tässä esitetty yhteensopivuus on useimmissa tapauksissa vain fysikaalinen, ja kunkin molekyylin kemiallista stabiilisuutta arvioidaan harvoin. Näiden seosten arviointia tutkittiin mahdollisuuden antaa Y-kohta potilaalle. Näitä tietoja ei voida käyttää seosten valmistamiseen etukäteen pusseissa tai ruiskuissa. Tämäntyyppiset tiedot ovat saatavilla "Stabiilisuus seoksessa" -näytössä.
Yhdiste Liuotin Viitteet
Välittömät sateet yhteensopimaton
Injektioneste Cisatracurium besylate 5 mg/ml
Injektioneste Aciclovir sodium 7 mg/ml
Glukoosi 5% 299
Yhteensopiva
Injektioneste Cisatracurium besylate 0.1 & 2 mg/ml
Injektioneste Aciclovir sodium 7 mg/ml
Glukoosi 5% 299
Yhteensopiva
Injektioneste Cisatracurium besylate
Injektioneste Alfentanil hydrochloride
3601
Yhteensopiva
Injektioneste Cisatracurium besylate 0.1 >> 5 mg/ml
Injektioneste Alfentanil hydrochloride 125 µg/ml
Glukoosi 5% 299
Välittömät sateet yhteensopimaton
Injektioneste Cisatracurium besylate 1,2 mg/ml
Injektioneste Alprostadil 20 µg/ml
Glukoosi 5% 4651
Välittömät sateet yhteensopimaton
Injektioneste Cisatracurium besylate 1,2 mg/ml
Injektioneste Alprostadil 20 µg/ml
Glukoosi 5% 4491
Yhteensopiva
Injektioneste Cisatracurium besylate 0.1 >> 5 mg/ml
Injektioneste Amikacin sulfate 5 mg/ml
Glukoosi 5% 299
Yhteensopiva
Injektioneste Cisatracurium besylate 0.1 & 2 mg/ml
Injektioneste Aminophylline 2.5 mg/ml
Glukoosi 5% 299
Sameus tunnissa yhteensopimaton
Injektioneste Cisatracurium besylate 5 mg/ml
Injektioneste Aminophylline 2.5 mg/ml
Glukoosi 5% 299
Yhteensopiva
Injektioneste Cisatracurium besylate
Injektioneste Amiodarone hydrochloride
3464
Yhteensopiva
Injektioneste Cisatracurium besylate 5 mg/ml
Injektioneste Amiodarone hydrochloride 15 mg/ml
Glukoosi 5% 3823
Yhteensopiva
Injektioneste Cisatracurium besylate 0.1 mg/ml
Injektioneste Amphotericin B 0.6 mg/ml
Glukoosi 5% 299
Välittömät sateet yhteensopimaton
Injektioneste Cisatracurium besylate 2 & 5 mg/ml
Injektioneste Amphotericin B 0.6 mg/ml
Glukoosi 5% 299
Välittömät sateet yhteensopimaton
Injektioneste Cisatracurium besylate 2 mg/ml
Injektioneste Amphotericin B cholesteryl sulfate complex 0.83 mg/ml
Glukoosi 5% 921
Sameus tunnissa yhteensopimaton
Injektioneste Cisatracurium besylate 5 mg/ml
Injektioneste Ampicillin sodium 20 mg/ml
Natriumkloridi 0,9% 299
Yhteensopiva
Injektioneste Cisatracurium besylate 0.1 & 2 mg/ml
Injektioneste Ampicillin sodium 20 mg/ml
Glukoosi 5% 299
Sameus tunnissa yhteensopimaton
Injektioneste Cisatracurium besylate 5 mg/ml
Injektioneste Ampicillin sodium 20 mg/ml
Glukoosi 5% 299
Välitön sameus yhteensopimaton
Injektioneste Cisatracurium besylate 5 mg/ml
Injektioneste Ampicillin sodium - sulbactam sodium 20/10 mg/ml
Glukoosi 5% 299
Välitön sameus yhteensopimaton
Injektioneste Cisatracurium besylate 5 mg/ml
Injektioneste Ampicillin sodium - sulbactam sodium 20/10 mg/ml
Natriumkloridi 0,9% 299
Yhteensopiva
Injektioneste Cisatracurium besylate 0.1 & 2 mg/ml
Injektioneste Ampicillin sodium - sulbactam sodium 20/10 mg/ml
Glukoosi 5% 299
Yhteensopiva
Injektioneste Cisatracurium besylate 0.1 >> 5 mg/ml
Injektioneste Aztreonam 40 mg/ml
Glukoosi 5% 299
Yhteensopiva
Injektioneste Cisatracurium besylate 0.1 >> 5 mg/ml
Injektioneste Bumetanide 0.04 mg/ml
Glukoosi 5% 299
Yhteensopiva
Injektioneste Cisatracurium besylate 0.1 >> 5 mg/ml
Injektioneste Buprenorphine hydrochloride 0.04 mg/ml
Glukoosi 5% 299
Yhteensopiva
Injektioneste Cisatracurium besylate 0.1 >> 5 mg/ml
Injektioneste Butorphanol tartrate 0.04 mg/ml
Glukoosi 5% 299
Yhteensopiva
Injektioneste Cisatracurium besylate 0.1 >> 5 mg/ml
Injektioneste Calcium gluconate 40 mg/ml
Glukoosi 5% 299
Yhteensopiva
Injektioneste Cisatracurium besylate 1 mg/ml
Injektioneste Calcium gluconate 20 mg/ml
Natriumkloridi 0,9% 3429
Välitön sameus yhteensopimaton
Injektioneste Cisatracurium besylate 2 & 5 mg/ml
Injektioneste Cefazolin sodium 20 mg/ml
Glukoosi 5% 299
Yhteensopiva
Injektioneste Cisatracurium besylate 0.1 mg/ml
Injektioneste Cefazolin sodium 20 mg/ml
Glukoosi 5% 299
Yhteensopiva
Injektioneste Cisatracurium besylate 0.4 mg/ml
Injektioneste Cefiderocol sulfate tosylate 20 mg/mL
Glukoosi 5% 4528
Yhteensopiva
Injektioneste Cisatracurium besylate 0.4 mg/ml
Injektioneste Cefiderocol sulfate tosylate 20 mg/mL
Natriumkloridi 0,9% 4528
Välittömät sateet yhteensopimaton
Injektioneste Cisatracurium besylate 0.1 >> 5 mg/ml
Injektioneste Cefoperazone sodium 40 mg/ml
Glukoosi 5% 299
Yhteensopiva
Injektioneste Cisatracurium besylate 0.1 >> 5 mg/ml
Injektioneste Cefoperazone sodium 40 mg/ml
Glukoosi 5% 299
Sameus 4 tunnissa yhteensopimaton
Injektioneste Cisatracurium besylate 2 mg/ml
Injektioneste Cefotaxime sodium 20 mg/ml
Glukoosi 5% 299
Välitön sameus yhteensopimaton
Injektioneste Cisatracurium besylate 5 mg/ml
Injektioneste Cefotaxime sodium 20 mg/ml
Glukoosi 5% 299
Yhteensopiva
Injektioneste Cisatracurium besylate 0.1 mg/ml
Injektioneste Cefotaxime sodium 20 mg/ml
Glukoosi 5% 299
Yhteensopiva
Injektioneste Cisatracurium besylate 0.1 mg/ml
Injektioneste Cefoxitin sodium 20 mg/ml
Glukoosi 5% 299
Välitön sameus yhteensopimaton
Injektioneste Cisatracurium besylate 2 & 5 mg/ml
Injektioneste Cefoxitin sodium 20 mg/ml
Glukoosi 5% 299
Yhteensopiva
Injektioneste Cisatracurium besylate 0,5 mg/ml
Injektioneste Ceftaroline fosamil 2,22 mg/ml
Ringerlaktaattiliuos 3249
Yhteensopiva
Injektioneste Cisatracurium besylate 0,5 mg/ml
Injektioneste Ceftaroline fosamil 2,22 mg/ml
Glukoosi 5% 3249
Yhteensopiva
Injektioneste Cisatracurium besylate 0,5 mg/ml
Injektioneste Ceftaroline fosamil 2,22 mg/ml
Natriumkloridi 0,9% 3249
Välitön sameus yhteensopimaton
Injektioneste Cisatracurium besylate 5 mg/ml
Injektioneste Ceftazidime 40 mg/ml
Glukoosi 5% 299
Yhteensopiva
Injektioneste Cisatracurium besylate 0.1 & 2 mg/ml
Injektioneste Ceftazidime 40 mg/ml
Glukoosi 5% 299
Yhteensopiva
Injektioneste Cisatracurium besylate 0.1 & 2 mg/ml
Injektioneste Ceftizoxime sodium 20 mg/ml
Glukoosi 5% 299
Sameus tunnissa yhteensopimaton
Injektioneste Cisatracurium besylate 5 mg/ml
Injektioneste Ceftizoxime sodium 20 mg/ml
Glukoosi 5% 299
Välittömät sateet yhteensopimaton
Injektioneste Cisatracurium besylate 0.5 mg/ml
Injektioneste Ceftobiprole medocaril sodium 2 mg/ml
Natriumkloridi 0,9% 2269
Välittömät sateet yhteensopimaton
Injektioneste Cisatracurium besylate 0.5 mg/ml
Injektioneste Ceftobiprole medocaril sodium 2 mg/ml
Ringerlaktaattiliuos 2269
Välittömät sateet yhteensopimaton
Injektioneste Cisatracurium besylate 0.5 mg/ml
Injektioneste Ceftobiprole medocaril sodium 2 mg/ml
Glukoosi 5% 2269
Määrittelemätön yhteensopimattomuus yhteensopimaton
Injektioneste Cisatracurium besylate
Injektioneste Ceftobiprole medocaril sodium
4650
Yhteensopiva
Injektioneste Cisatracurium besylate 0.4 mg/ml
Injektioneste Ceftolozane / tazobactam 10/5 mg/ml
Glukoosi 5% 3828
Yhteensopiva
Injektioneste Cisatracurium besylate 0.4 mg/ml
Injektioneste Ceftolozane / tazobactam 10/5 mg/ml
Natriumkloridi 0,9% 3828
Yhteensopiva
Injektioneste Cisatracurium besylate 0.1 >> 5 mg/ml
Injektioneste Ceftriaxone disodium 20 mg/ml
Glukoosi 5% 299
Välittömät sateet yhteensopimaton
Injektioneste Cisatracurium besylate 2 & 5 mg/ml
Injektioneste Cefuroxime sodium 30 mg/ml
Glukoosi 5% 299
Yhteensopiva
Injektioneste Cisatracurium besylate 0.1 >> 5 mg/ml
Injektioneste Chlorpromazine hydrochloride 2 mg/ml
Glukoosi 5% 299
Yhteensopiva
Injektioneste Cisatracurium besylate 0.1 >> 5 mg/ml
Injektioneste Cimetidine hydrochloride 12 mg/ml
Glukoosi 5% 299
Yhteensopiva
Injektioneste Cisatracurium besylate 0.1 >> 5 mg/ml
Injektioneste Ciprofloxacin lactate 1 mg/ml
Glukoosi 5% 299
Yhteensopiva
Injektioneste Cisatracurium besylate 0.1 >> 5 mg/ml
Injektioneste Clindamycin phosphate 10 mg/ml
Glukoosi 5% 299
Yhteensopiva
Injektioneste Cisatracurium besylate 5 mg/ml
Injektioneste Clonazepam 0.2 mg/ml
Natriumkloridi 0,9% 3823
Yhteensopiva
Injektioneste Cisatracurium besylate 5 mg/ml
Injektioneste Clonidine hydrochloride 0.012 mg/ml
Natriumkloridi 0,9% 3823
Välitön sameus yhteensopimaton
Injektioneste Cisatracurium besylate 2 & 5 mg/ml
Injektioneste Co-trimoxazole 0,8/4 mg/ml
Glukoosi 5% 299
Yhteensopiva
Injektioneste Cisatracurium besylate 0.1 mg/ml
Injektioneste Co-trimoxazole 0.8/4 mg/ml
Glukoosi 5% 299
Yhteensopiva
Injektioneste Cisatracurium besylate 0.5 mg/ml
Injektioneste Dexmedetomidine 4 µg/ml
Natriumkloridi 0,9% 1712
Yhteensopiva
Injektioneste Cisatracurium besylate 0.1 >> 5 mg/ml
Injektioneste Diazepam 0.25 mg/ml
Glukoosi 5% 299
Välittömät sateet yhteensopimaton
Injektioneste Cisatracurium besylate 0.1 >> 5 mg/ml
Injektioneste Diazepam 5 mg/ml
Glukoosi 5% 299
Määrittelemätön yhteensopimattomuus yhteensopimaton
Injektioneste Cisatracurium besylate 5 mg/ml
Injektioneste Diclofenac 3 mg/ml
Natriumkloridi 0,9% 3823
Yhteensopiva
Injektioneste Cisatracurium besylate 0.1 >> 5 mg/ml
Injektioneste Digoxin 250 µg/ml
Glukoosi 5% 299
Yhteensopiva
Injektioneste Cisatracurium besylate 1 mg/ml
Injektioneste Diltiazem hydrochloride 1 mg/ml
Natriumkloridi 0,9% 3429
Yhteensopiva
Injektioneste Cisatracurium besylate 0.1 >> 5 mg/ml
Injektioneste Diphenhydramine hydrochloride 2 mg/ml
Glukoosi 5% 299
Yhteensopiva
Injektioneste Cisatracurium besylate 0.1 >> 5 mg/ml
Injektioneste Dobutamine hydrochloride 4 mg/ml
Glukoosi 5% 299
Yhteensopiva
Injektioneste Cisatracurium besylate 0.1 >> 5 mg/ml
Injektioneste Dopamine hydrochloride 3.2 mg/ml
Glukoosi 5% 299
Yhteensopiva
Injektioneste Cisatracurium besylate 0.1 >> 5 mg/ml
Injektioneste Doxycycline hyclate 1 mg/ml
Glukoosi 5% 299
Yhteensopiva
Injektioneste Cisatracurium besylate
Injektioneste Droperidol
3601
Yhteensopiva
Injektioneste Cisatracurium besylate 0.1 >> 5 mg/ml
Injektioneste Droperidol 2.5 mg/ml
Glukoosi 5% 299
Yhteensopiva
Injektioneste Cisatracurium besylate 0.1 >> 5 mg/ml
Injektioneste Enalaprilate 0.1 mg/ml
Glukoosi 5% 299
Yhteensopiva
Injektioneste Cisatracurium besylate 0.1 >> 5 mg/ml
Injektioneste Epinephrine hydrochloride 50 µg/ml
Glukoosi 5% 299
Yhteensopiva
Injektioneste Cisatracurium besylate 0,4 mg/ml
Injektioneste Eravacycline 0,6 mg/ml
Natriumkloridi 0,9% 4434
Yhteensopiva
Injektioneste Cisatracurium besylate 0.1 >> 5 mg/ml
Injektioneste Esmolol hydrochloride 10 mg/ml
Glukoosi 5% 299
Yhteensopiva
Injektioneste Cisatracurium besylate 0.4 mg/ml
Injektioneste Fosfomycin 30 mg/ml
Glukoosi 5% 4055
Välitön sameus yhteensopimaton
Injektioneste Cisatracurium besylate 5 mg/ml
NaHCO3 3823
Yhteensopiva
Injektioneste Cisatracurium besylate 5 mg/ml
Injektioneste Esmolol hydrochloride 10 mg/ml
Natriumkloridi 0,9% 3823
Yhteensopiva
Injektioneste Cisatracurium besylate 2 mg/ml
Injektioneste Esmolol hydrochloride 10 mg/ml
Natriumkloridi 0,9% 3879
Yhteensopiva
Injektioneste Cisatracurium besylate 1 mg/ml
Injektioneste Esomeprazole sodium 0,4 mg/ml
Natriumkloridi 0,9% 3429
Yhteensopiva
Injektioneste Cisatracurium besylate 0.1 >> 5 mg/ml
Injektioneste Famotidine 2 mg/ml
Glukoosi 5% 299
Yhteensopiva
Injektioneste Cisatracurium besylate 0.5 mg/ml
Injektioneste Fenoldopam mesylate 80 µg/ml
Natriumkloridi 0,9% 1803
Yhteensopiva
Injektioneste Cisatracurium besylate 0.1 >> 5 mg/ml
Injektioneste Fentanyl citrate 12.5 µg/ml
Glukoosi 5% 299
Yhteensopiva
Injektioneste Cisatracurium besylate
Injektioneste Fentanyl citrate
3601
Yhteensopiva
Injektioneste Cisatracurium besylate 0.1 >> 5 mg/ml
Injektioneste Fluconazole 2 mg/ml
Glukoosi 5% 299
Yhteensopiva
Injektioneste Cisatracurium besylate 0.4 mg/ml
Injektioneste Fosfomycin 30 mg/ml
Natriumkloridi 0,9% 4055
Määrittelemätön yhteensopimattomuus yhteensopimaton
Injektioneste Cisatracurium besylate
Injektioneste Furosemide
3465
Välitön sameus yhteensopimaton
Injektioneste Cisatracurium besylate 2 & 5 mg/ml
NaHCO3 299
Välittömät sateet yhteensopimaton
Injektioneste Cisatracurium besylate 5 mg/ml
Injektioneste Furosemide 10 mg/ml
Natriumkloridi 0,9% 3463
Yhteensopiva
Injektioneste Cisatracurium besylate 0.1 mg/ml
Injektioneste Furosemide 3 mg/ml
Glukoosi 5% 299
Määrittelemätön yhteensopimattomuus yhteensopimaton
Injektioneste Cisatracurium besylate 5 mg/ml
Injektioneste Furosemide 10 mg/ml
Natriumkloridi 0,9% 3823
Välittömät sateet yhteensopimaton
Injektioneste Cisatracurium besylate 5 mg/ml
Injektioneste Ganciclovir sodium 20 mg/ml
Glukoosi 5% 299
Määrittelemätön yhteensopimattomuus yhteensopimaton
Injektioneste Cisatracurium besylate
NaHCO3 3466
Yhteensopiva
Injektioneste Cisatracurium besylate 0.1 & 2 mg/ml
Injektioneste Ganciclovir sodium 20 mg/ml
Glukoosi 5% 299
Määrittelemätön yhteensopimattomuus yhteensopimaton
Injektioneste Cisatracurium besylate
NaHCO3 3601
Välittömät sateet yhteensopimaton
Injektioneste Cisatracurium besylate 2 & 5 mg/ml
Injektioneste Furosemide 3 mg/ml
Glukoosi 5% 299
Määrittelemätön yhteensopimattomuus yhteensopimaton
Injektioneste Cisatracurium besylate 5 mg/ml
Injektioneste Furosemide 10 mg/ml
Ei mikään 3134
Yhteensopiva
Injektioneste Cisatracurium besylate 0.1 >> 5 mg/ml
Injektioneste Gentamicin sulfate 5 mg/ml
Glukoosi 5% 299
Yhteensopiva
Injektioneste Cisatracurium besylate 0.1 >> 5 mg/ml
Injektioneste Haloperidol lactate 0.2 mg/ml
Glukoosi 5% 299
Välittömät sateet yhteensopimaton
Injektioneste Cisatracurium besylate 5 mg/ml
Injektioneste Heparin sodium 100 UI/ml
Glukoosi 5% 299
Emulsion epästabiilisuus 4 tunnin kuluttua yhteensopimaton
Injektioneste Cisatracurium besylate 2 mg/ml
Parenteraalinen (lipidien) 4507
Määrittelemätön yhteensopimattomuus yhteensopimaton
Injektioneste Cisatracurium besylate
Ringerlaktaattiliuos 3601
Värinvaihto yhteensopimaton
Injektioneste Cisatracurium besylate 5 mg/ml
Injektioneste Heparin sodium 500 UI/ml
Natriumkloridi 0,9% 3463
Yhteensopiva
Injektioneste Cisatracurium besylate 0.1 & 2 mg/ml
Injektioneste Heparin sodium 100 UI/ml
Glukoosi 5% 299
Määrittelemätön yhteensopimattomuus yhteensopimaton
Injektioneste Cisatracurium besylate 5 mg/ml
Injektioneste Heparin sodium 500 UI/ml
Natriumkloridi 0,9% 3823
Yhteensopiva
Injektioneste Cisatracurium besylate
Glukoosi 5% 3601
Määrittelemätön yhteensopimattomuus yhteensopimaton
Injektioneste Cisatracurium besylate
Injektioneste Heparin sodium
3540
Yhteensopiva
Injektioneste Cisatracurium besylate 0.5 mg/ml
Injektioneste Hetastarch 60 mg/ml
spesifiseen liuottimeen 1721
Yhteensopiva
Injektioneste Cisatracurium besylate 0.1 >> 5 mg/ml
Injektioneste Hydrocortisone sodium succinate 1 mg/ml
Glukoosi 5% 299
Yhteensopiva
Injektioneste Cisatracurium besylate 2 mg/ml
Injektioneste Hydrocortisone sodium succinate 1 mg/ml
Natriumkloridi 0,9% 4465
Yhteensopiva
Injektioneste Cisatracurium besylate 0.1 >> 5 mg/ml
Injektioneste Hydromorphone hydrochloride 0.5 mg/ml
Glukoosi 5% 299
Yhteensopiva
Injektioneste Cisatracurium besylate 0.1 >> 5 mg/ml
Injektioneste Hydroxyzine dihydrochloride 2 mg/ml
Glukoosi 5% 299
Yhteensopiva
Injektioneste Cisatracurium besylate 0.1 >> 5 mg/ml
Injektioneste Imipenem - cilastatin sodium 10 mg/ml
Glukoosi 5% 299
Yhteensopiva
Injektioneste Cisatracurium besylate 0,4 mg/ml
Injektioneste Imipenem-Cilastatin / Relebactam 5 mg/ml
Natriumkloridi 0,9% 4433
Yhteensopiva
Injektioneste Cisatracurium besylate 0,4 mg/ml
Injektioneste Imipenem-Cilastatin / Relebactam 5 mg/ml
Glukoosi 5% 4433
Yhteensopiva
Injektioneste Cisatracurium besylate 1 mg/ml
Injektioneste Insulin 1 UI/ml
Natriumkloridi 0,9% 3429
Yhteensopiva
Injektioneste Cisatracurium besylate 5 mg/ml
Injektioneste Insulin 2 UI/ml
Natriumkloridi 0,9% 3823
Yhteensopiva
Injektioneste Cisatracurium besylate 0.4 mg/ml
Injektioneste Isavuconazonium sulfate 1.5 mg/ml
Natriumkloridi 0,9% 3829
Yhteensopiva
Injektioneste Cisatracurium besylate 0.4 mg/ml
Injektioneste Isavuconazonium sulfate 1.5 mg/ml
Glukoosi 5% 3829
Yhteensopiva
Injektioneste Cisatracurium besylate 0.1 >> 5 mg/ml
Injektioneste Isoprenaline hydrochloride 0.02 mg/ml
Glukoosi 5% 299
Yhteensopiva
Injektioneste Cisatracurium besylate 0.1 >> 5 mg/ml
Injektioneste Ketorolac tromethamine 15 mg/ml
Glukoosi 5% 299
Määrittelemätön yhteensopimattomuus yhteensopimaton
Injektioneste Cisatracurium besylate
Injektioneste Ketorolac tromethamine
3601
Yhteensopiva
Injektioneste Cisatracurium besylate 0.1 >> 5 mg/ml
Injektioneste Lorazepam 0.5 mg/ml
Glukoosi 5% 299
Yhteensopiva
Injektioneste Cisatracurium besylate 0.1 >> 5 mg/ml
Injektioneste Magnesium sulfate 100 mg/ml
Glukoosi 5% 299
Yhteensopiva
Injektioneste Cisatracurium besylate 0.1 >> 5 mg/ml
Injektioneste Mannitol 150 mg/ml
Glukoosi 5% 299
Yhteensopiva
Injektioneste Cisatracurium besylate
Natriumkloridi 0,9% 3601
Yhteensopiva
Injektioneste Cisatracurium besylate 2 mg/ml
Injektioneste Labetalol hydrochloride 5 mg/ml
Natriumkloridi 0,9% 3879
Yhteensopiva
Injektioneste Cisatracurium besylate 1 mg/ml
Injektioneste Levetiracetam 5 mg/ml
Natriumkloridi 0,9% 4569
Yhteensopiva
Injektioneste Cisatracurium besylate 0.1 >> 5 mg/ml
Injektioneste Lidocaine hydrochloride 8 mg/ml
Glukoosi 5% 299
Yhteensopiva
Injektioneste Cisatracurium besylate 2 mg/ml
Injektioneste Linezolid 2 mg/ml
Ei mikään 1925
Yhteensopiva
Injektioneste Cisatracurium besylate 0.1 mg/ml
Injektioneste Methylprednisolone sodium succinate 5 mg/ml
Glukoosi 5% 299
Välitön sameus yhteensopimaton
Injektioneste Cisatracurium besylate 2 & 5 mg/ml
Injektioneste Methylprednisolone sodium succinate 5 mg/ml
Glukoosi 5% 299
Yhteensopiva
Injektioneste Cisatracurium besylate 0.1 >> 5 mg/ml
Injektioneste Metoclopramide hydrochloride 5 mg/ml
Glukoosi 5% 299
Yhteensopiva
Injektioneste Cisatracurium besylate 2 mg/ml
Injektioneste Metoprolol tartrate 0.4 mg/ml
Natriumkloridi 0,9% 3879
Yhteensopiva
Injektioneste Cisatracurium besylate 0.1 >> 5 mg/ml
Injektioneste Metronidazole 5 mg/ml
Glukoosi 5% 299
Välittömät sateet yhteensopimaton
Injektioneste Cisatracurium besylate 0.5 mg/ml
Injektioneste Micafungin 1.5 mg/ml
Natriumkloridi 0,9% 2108
Yhteensopiva
Injektioneste Cisatracurium besylate
Injektioneste Midazolam hydrochloride
3601
Yhteensopiva
Injektioneste Cisatracurium besylate 5 mg/ml
Injektioneste Midazolam hydrochloride 2.1 mg/ml
Natriumkloridi 0,9% 3823
Yhteensopiva
Injektioneste Cisatracurium besylate 0.1 >> 5 mg/ml
Injektioneste Midazolam hydrochloride 1 mg/ml
Glukoosi 5% 299
Yhteensopiva
Injektioneste Cisatracurium besylate 0.1 >> 5 mg/ml
Injektioneste Minocycline hydrochloride 0.2 mg/ml
Glukoosi 5% 299
Yhteensopiva
Injektioneste Cisatracurium besylate 0.1 >> 5 mg/ml
Injektioneste Morphine sulfate 1 mg/ml
Glukoosi 5% 299
Yhteensopiva
Injektioneste Cisatracurium besylate 0.1 >> 5 mg/ml
Injektioneste Nalbuphine hydrochloride 10 mg/ml
Glukoosi 5% 299
Yhteensopiva
Injektioneste Cisatracurium besylate 0.1 >> 5 mg/ml
Injektioneste Netilmicin sulfate 5 mg/ml
Glukoosi 5% 299
Yhteensopiva
Injektioneste Cisatracurium besylate 1 mg/ml
Injektioneste Nicardipine hydrochloride 0,5 mg/ml
Natriumkloridi 0,9% 3429
Yhteensopiva
Injektioneste Cisatracurium besylate 5 mg/ml
Injektioneste Nimodipine 0.2 mg/ml
Natriumkloridi 0,9% 3823
Yhteensopiva
Injektioneste Cisatracurium besylate 0.1 >> 5 mg/ml
Injektioneste Nitroglycerin 0.4 mg/ml
Glukoosi 5% 299
Yhteensopiva
Injektioneste Cisatracurium besylate 5 mg/ml
Injektioneste Nitroglycerin 0.2 mg/ml
Glukoosi 5% 3823
Välittömät sateet yhteensopimaton
Injektioneste Cisatracurium besylate 2 & 5 mg/ml
Injektioneste Nitroprusside sodium 2 mg/ml
Glukoosi 5% 299
Yhteensopiva
Injektioneste Cisatracurium besylate 0.1 mg/ml
Injektioneste Nitroprusside sodium 2 mg/ml
Glukoosi 5% 299
Yhteensopiva
Injektioneste Cisatracurium besylate 0.1 >> 5 mg/ml
Injektioneste Norepinephrine bitartrate 0.12 mg/ml
Glukoosi 5% 299
Yhteensopiva
Injektioneste Cisatracurium besylate 0.1 >> 5 mg/ml
Injektioneste Ofloxacin 4 mg/ml
Glukoosi 5% 299
Yhteensopiva
Injektioneste Cisatracurium besylate 5 mg/ml
Injektioneste Omeprazole sodium 1.6 mg/ml
Natriumkloridi 0,9% 3823
Yhteensopiva
Injektioneste Cisatracurium besylate 0.1 >> 5 mg/ml
Injektioneste Ondansetron hydrochloride 1 mg/ml
Glukoosi 5% 299
Yhteensopiva
Injektioneste Cisatracurium besylate 0,5 mg/ml
Injektioneste Palonosetron hydrochloride 50 µg/ml
Glukoosi 5% 2227
Sameus tunnissa yhteensopimaton
Injektioneste Cisatracurium besylate 1 mg/ml
Injektioneste Pantoprazole sodium 0,8 mg/ml
Natriumkloridi 0,9% 3429
Yhteensopiva
Injektioneste Cisatracurium besylate 0.1 >> 5 mg/ml
Injektioneste Pethidine hydrochloride 4 mg/ml
Glukoosi 5% 299
Yhteensopiva
Injektioneste Cisatracurium besylate 0.1 >> 5 mg/ml
Injektioneste Phenylephrine hydrochloride 1 mg/ml
Glukoosi 5% 299
Yhteensopiva
Injektioneste Cisatracurium besylate 0.1 mg/ml
Injektioneste Piperacillin sodium 40 mg/ml
Glukoosi 5% 299
Välitön sameus yhteensopimaton
Injektioneste Cisatracurium besylate 2 & 5 mg/ml
Injektioneste Piperacillin sodium 40 mg/ml
Glukoosi 5% 299
Yhteensopiva
Injektioneste Cisatracurium besylate 0.1 & 2 mg/ml
Injektioneste Piperacillin sodium / tazobactam 40/5 mg/ml
Glukoosi 5% 299
Sade 4 tunnin kuluttua yhteensopimaton
Injektioneste Cisatracurium besylate 5 mg/ml
Injektioneste Piperacillin sodium / tazobactam 40/5 mg/ml
Glukoosi 5% 299
Yhteensopiva
Injektioneste Cisatracurium besylate 0.4 mg/ml
Injektioneste Plazomicin sulfate 24 mg/ml
Natriumkloridi 0,9% 4145
Yhteensopiva
Injektioneste Cisatracurium besylate 0.1 >> 5 mg/ml
Injektioneste Potassium chloride 100 mEq/l
Glukoosi 5% 299
Yhteensopiva
Injektioneste Cisatracurium besylate 5 mg/ml
Injektioneste Potassium chloride 10 mEq/l
Natriumkloridi 0,9% 3823
Yhteensopiva
Injektioneste Cisatracurium besylate 0.1 >> 5 mg/ml
Injektioneste Procainamide hydrochloride 10 mg/ml
Glukoosi 5% 299
Yhteensopiva
Injektioneste Cisatracurium besylate 0.1 >> 5 mg/ml
Injektioneste Prochlorperazine edysilate 0.5 mg/ml
Glukoosi 5% 299
Yhteensopiva
Injektioneste Cisatracurium besylate 0.1 >> 5 mg/ml
Injektioneste Promethazine hydrochloride 2 mg/ml
Glukoosi 5% 299
Määrittelemätön yhteensopimattomuus yhteensopimaton
Injektioneste Cisatracurium besylate
Injektioneste Propofol
3601
Yhteensopiva
Injektioneste Cisatracurium besylate 0.1 >> 5 mg/ml
Injektioneste Ranitidine hydrochloride 2 mg/ml
Glukoosi 5% 299
Yhteensopiva
Injektioneste Cisatracurium besylate 5 mg/ml
Injektioneste Remifentanil hydrochloride 100 µg/ml
Natriumkloridi 0,9% 3823
Yhteensopiva
Injektioneste Cisatracurium besylate 2 mg/ml
Injektioneste Remifentanil hydrochloride 25 & 250 µg/ml
Natriumkloridi 0,9% 59
Määrittelemätön yhteensopimattomuus yhteensopimaton
Injektioneste Cisatracurium besylate
Injektioneste Sodium bicarbonate
3466
Sameus tunnissa yhteensopimaton
Injektioneste Cisatracurium besylate 2 mg/ml
Injektioneste Sodium bicarbonate 84 mg/ml
Glukoosi 5% 299
Määrittelemätön yhteensopimattomuus yhteensopimaton
Injektioneste Cisatracurium besylate
Injektioneste Sodium bicarbonate
3601
Yhteensopiva
Injektioneste Cisatracurium besylate 0.1 mg/ml
Injektioneste Sodium bicarbonate 84 mg/ml
Glukoosi 5% 299
Välitön sameus yhteensopimaton
Injektioneste Cisatracurium besylate 5 mg/ml
Injektioneste Sodium bicarbonate 84 mg/ml
Glukoosi 5% 299
Sameus 2 tunnissa yhteensopimaton
Injektioneste Cisatracurium besylate 5 mg/ml
Injektioneste Sodium bicarbonate 84 mg/ml
Ei mikään 3212
Yhteensopiva
Injektioneste Cisatracurium besylate 0.1 >> 5 mg/ml
Injektioneste Sufentanil citrate 0.0125 mg/ml
Glukoosi 5% 299
Yhteensopiva
Injektioneste Cisatracurium besylate
Injektioneste Sufentanil citrate
3601
Yhteensopiva
Injektioneste Cisatracurium besylate 0,4 mg/ml
Injektioneste Sulbactam/durlobactam 15/15 mg/ml
Natriumkloridi 0,9% 4801
Yhteensopiva
Injektioneste Cisatracurium besylate 0.4 mg/ml
Injektioneste Tedizolid phosphate 0.8 mg/ml
Natriumkloridi 0,9% 3827
Yhteensopiva
Injektioneste Cisatracurium besylate 0.1 >> 5 mg/ml
Injektioneste Theophylline 3.2 mg/ml
Glukoosi 5% 299
Määrittelemätön yhteensopimattomuus yhteensopimaton
Injektioneste Cisatracurium besylate
Injektioneste Thiopental sodium
3601
Yhteensopiva
Injektioneste Cisatracurium besylate 0.1 mg/ml
Injektioneste Thiopental sodium 25 mg/ml
Glukoosi 5% 299
Määrittelemätön yhteensopimattomuus yhteensopimaton
Injektioneste Cisatracurium besylate 5 mg/ml
Injektioneste Thiopental sodium 60 mg/ml
Natriumkloridi 0,9% 3823
Välittömät sateet yhteensopimaton
Injektioneste Cisatracurium besylate 2 & 5 mg/ml
Injektioneste Thiopental sodium 25 mg/ml
Glukoosi 5% 299
Yhteensopiva
Injektioneste Cisatracurium besylate 0.1 & 2 mg/ml
Injektioneste Ticarcillin / clavulanic acid 30 mg/ml
Glukoosi 5% 299
Välitön sameus yhteensopimaton
Injektioneste Cisatracurium besylate 5 mg/ml
Injektioneste Ticarcillin / clavulanic acid 30 mg/ml
Glukoosi 5% 299
Yhteensopiva
Injektioneste Cisatracurium besylate 0.1 >> 5 mg/ml
Injektioneste Tobramycin sulfate 5 mg/ml
Glukoosi 5% 299
Yhteensopiva
Injektioneste Cisatracurium besylate 0.1 >> 5 mg/ml
Injektioneste Vancomycin hydrochloride 10 mg/ml
Glukoosi 5% 299
Yhteensopiva
Injektioneste Cisatracurium besylate 1 mg/ml
Injektioneste Vasopressin 1 UI/ml
Natriumkloridi 0,9% 3429
Yhteensopiva
Injektioneste Cisatracurium besylate 0.1 >> 5 mg/ml
Injektioneste Zidovudine 4 mg/ml
Glukoosi 5% 299

  Mentions Légales