viimane versioon :
27/01/2026
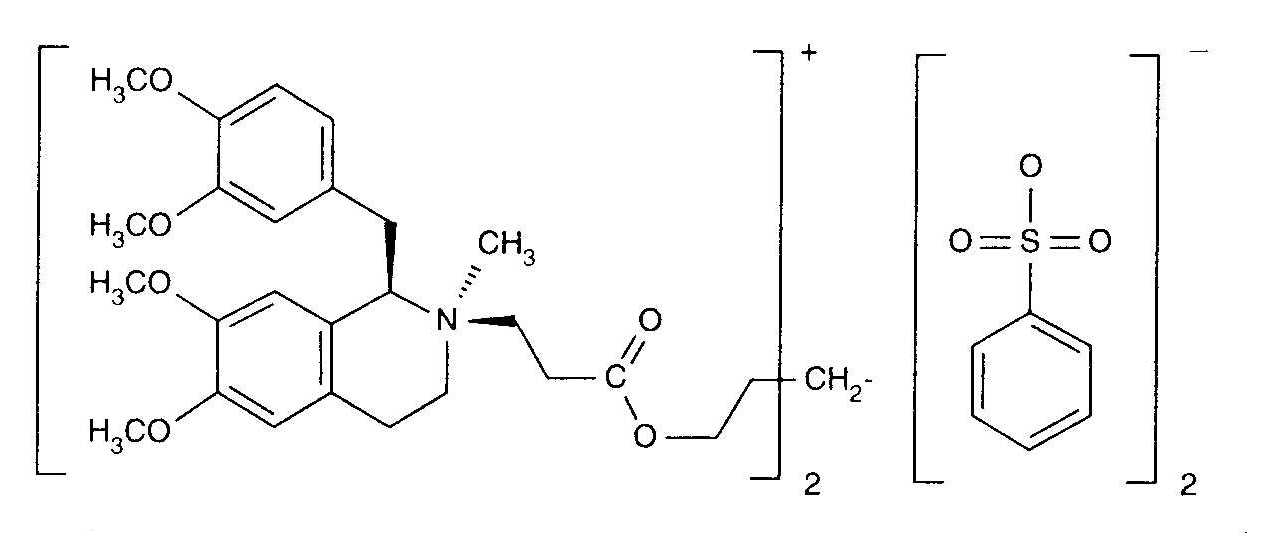
Kuraare-taoline  ravim   Cisatracurium besylate  
Süsteravim
Stabiilsus lahustes Stabiilsust mõjutavad tegurid stabiilsust mõjutavad faktorid Sobimatus Manustamis viis Viited pdf
   keemiline struktuur  

Kaubanduslikud nimed erinevates maades   Kaubanduslikud nimed erinevates maades     

Preparaatide nimed on näitlikud ja abianete sisaldus võib erineda sõltuvalt riigist ja laborist

Bensitrak Mehhiko
Besilato de cisatracurio
Cicuryl Mehhiko
Cirium Kolumbia
Cis Atracure
Cisatracurio Brasiilia, Ecuador, Hispaania, Itaalia, Kolumbia, Maroko, Tšiili
Cisatracurium Belgia, Iirimaa, Kanada, Prantsusmaa, Saksamaa, Soome, Suurbritannia, Tuneesia, Ungari
Nimbex Ameerika ühendriigid, Araabia Ühendemiraadid, Austria, Belgia, Ecuador, Egiptus, Hispaania, Holland, Iirimaa, Iraan, Itaalia, Kanada, Kreeka, Luksemburg, Malaisia, Maroko, Mehhiko, Norra, Poola, Portugal, Prantsusmaa, Rootsi, Saksamaa, Saudi Araabia, Sloveenia, Soome, Suurbritannia, Taani, Tšiili, Tuneesia, Türgi, Ungari, Venetsueela
Nimbium Brasiilia, Kolumbia
Sobimatus   Süsteravim   Sobimatus : Cisatracurium besylate              
Sellel lehel kuvatakse sobimatusi ja sobimatuse tüüpi (sadenemine, värvuse muutus, emulsiooni modifitseerumine jne). Enamasti on siin lehel kuvatud füüsikalised sobimatused, kuna molekulide keemilist stabiilsust hinnatakse harva. Hinnatud on segude sobivust Y-liinis. Antud infot ei saa kasutada ravimite sobivuse hindamiseks juhul, kui ravimid on segatud süstaldes või infusioonikottides. See info on lehel « stabiilsus segudes ».
ingredient lahusti Viited
Kohene sade Sobimatu
Süsteravim Cisatracurium besylate 5 mg/ml
Süsteravim Aciclovir sodium 7 mg/ml
glükoos 5% 299
Ühilduv
Süsteravim Cisatracurium besylate 0.1 & 2 mg/ml
Süsteravim Aciclovir sodium 7 mg/ml
glükoos 5% 299
Ühilduv
Süsteravim Cisatracurium besylate
Süsteravim Alfentanil hydrochloride
3601
Ühilduv
Süsteravim Cisatracurium besylate 0.1 >> 5 mg/ml
Süsteravim Alfentanil hydrochloride 125 µg/ml
glükoos 5% 299
Kohene sade Sobimatu
Süsteravim Cisatracurium besylate 1,2 mg/ml
Süsteravim Alprostadil 20 µg/ml
glükoos 5% 4651
Kohene sade Sobimatu
Süsteravim Cisatracurium besylate 1,2 mg/ml
Süsteravim Alprostadil 20 µg/ml
glükoos 5% 4491
Ühilduv
Süsteravim Cisatracurium besylate 0.1 >> 5 mg/ml
Süsteravim Amikacin sulfate 5 mg/ml
glükoos 5% 299
Ühilduv
Süsteravim Cisatracurium besylate 0.1 & 2 mg/ml
Süsteravim Aminophylline 2.5 mg/ml
glükoos 5% 299
Hägusus ühe tunni jooksul Sobimatu
Süsteravim Cisatracurium besylate 5 mg/ml
Süsteravim Aminophylline 2.5 mg/ml
glükoos 5% 299
Ühilduv
Süsteravim Cisatracurium besylate
Süsteravim Amiodarone hydrochloride
3464
Ühilduv
Süsteravim Cisatracurium besylate 5 mg/ml
Süsteravim Amiodarone hydrochloride 15 mg/ml
glükoos 5% 3823
Ühilduv
Süsteravim Cisatracurium besylate 0.1 mg/ml
Süsteravim Amphotericin B 0.6 mg/ml
glükoos 5% 299
Kohene sade Sobimatu
Süsteravim Cisatracurium besylate 2 & 5 mg/ml
Süsteravim Amphotericin B 0.6 mg/ml
glükoos 5% 299
Kohene sade Sobimatu
Süsteravim Cisatracurium besylate 2 mg/ml
Süsteravim Amphotericin B cholesteryl sulfate complex 0.83 mg/ml
glükoos 5% 921
Hägusus ühe tunni jooksul Sobimatu
Süsteravim Cisatracurium besylate 5 mg/ml
Süsteravim Ampicillin sodium 20 mg/ml
naatriumkloriid 0.9% 299
Ühilduv
Süsteravim Cisatracurium besylate 0.1 & 2 mg/ml
Süsteravim Ampicillin sodium 20 mg/ml
glükoos 5% 299
Hägusus ühe tunni jooksul Sobimatu
Süsteravim Cisatracurium besylate 5 mg/ml
Süsteravim Ampicillin sodium 20 mg/ml
glükoos 5% 299
Kohene hägusus Sobimatu
Süsteravim Cisatracurium besylate 5 mg/ml
Süsteravim Ampicillin sodium - sulbactam sodium 20/10 mg/ml
glükoos 5% 299
Kohene hägusus Sobimatu
Süsteravim Cisatracurium besylate 5 mg/ml
Süsteravim Ampicillin sodium - sulbactam sodium 20/10 mg/ml
naatriumkloriid 0.9% 299
Ühilduv
Süsteravim Cisatracurium besylate 0.1 & 2 mg/ml
Süsteravim Ampicillin sodium - sulbactam sodium 20/10 mg/ml
glükoos 5% 299
Ühilduv
Süsteravim Cisatracurium besylate 0.1 >> 5 mg/ml
Süsteravim Aztreonam 40 mg/ml
glükoos 5% 299
Ühilduv
Süsteravim Cisatracurium besylate 0.1 >> 5 mg/ml
Süsteravim Bumetanide 0.04 mg/ml
glükoos 5% 299
Ühilduv
Süsteravim Cisatracurium besylate 0.1 >> 5 mg/ml
Süsteravim Buprenorphine hydrochloride 0.04 mg/ml
glükoos 5% 299
Ühilduv
Süsteravim Cisatracurium besylate 0.1 >> 5 mg/ml
Süsteravim Butorphanol tartrate 0.04 mg/ml
glükoos 5% 299
Ühilduv
Süsteravim Cisatracurium besylate 0.1 >> 5 mg/ml
Süsteravim Calcium gluconate 40 mg/ml
glükoos 5% 299
Ühilduv
Süsteravim Cisatracurium besylate 1 mg/ml
Süsteravim Calcium gluconate 20 mg/ml
naatriumkloriid 0.9% 3429
Kohene hägusus Sobimatu
Süsteravim Cisatracurium besylate 2 & 5 mg/ml
Süsteravim Cefazolin sodium 20 mg/ml
glükoos 5% 299
Ühilduv
Süsteravim Cisatracurium besylate 0.1 mg/ml
Süsteravim Cefazolin sodium 20 mg/ml
glükoos 5% 299
Ühilduv
Süsteravim Cisatracurium besylate 0.4 mg/ml
Süsteravim Cefiderocol sulfate tosylate 20 mg/mL
glükoos 5% 4528
Ühilduv
Süsteravim Cisatracurium besylate 0.4 mg/ml
Süsteravim Cefiderocol sulfate tosylate 20 mg/mL
naatriumkloriid 0.9% 4528
Kohene sade Sobimatu
Süsteravim Cisatracurium besylate 0.1 >> 5 mg/ml
Süsteravim Cefoperazone sodium 40 mg/ml
glükoos 5% 299
Ühilduv
Süsteravim Cisatracurium besylate 0.1 >> 5 mg/ml
Süsteravim Cefoperazone sodium 40 mg/ml
glükoos 5% 299
Hägusus 4 tunniga Sobimatu
Süsteravim Cisatracurium besylate 2 mg/ml
Süsteravim Cefotaxime sodium 20 mg/ml
glükoos 5% 299
Kohene hägusus Sobimatu
Süsteravim Cisatracurium besylate 5 mg/ml
Süsteravim Cefotaxime sodium 20 mg/ml
glükoos 5% 299
Ühilduv
Süsteravim Cisatracurium besylate 0.1 mg/ml
Süsteravim Cefotaxime sodium 20 mg/ml
glükoos 5% 299
Ühilduv
Süsteravim Cisatracurium besylate 0.1 mg/ml
Süsteravim Cefoxitin sodium 20 mg/ml
glükoos 5% 299
Kohene hägusus Sobimatu
Süsteravim Cisatracurium besylate 2 & 5 mg/ml
Süsteravim Cefoxitin sodium 20 mg/ml
glükoos 5% 299
Ühilduv
Süsteravim Cisatracurium besylate 0,5 mg/ml
Süsteravim Ceftaroline fosamil 2,22 mg/ml
Ringer laktaat 3249
Ühilduv
Süsteravim Cisatracurium besylate 0,5 mg/ml
Süsteravim Ceftaroline fosamil 2,22 mg/ml
glükoos 5% 3249
Ühilduv
Süsteravim Cisatracurium besylate 0,5 mg/ml
Süsteravim Ceftaroline fosamil 2,22 mg/ml
naatriumkloriid 0.9% 3249
Kohene hägusus Sobimatu
Süsteravim Cisatracurium besylate 5 mg/ml
Süsteravim Ceftazidime 40 mg/ml
glükoos 5% 299
Ühilduv
Süsteravim Cisatracurium besylate 0.1 & 2 mg/ml
Süsteravim Ceftazidime 40 mg/ml
glükoos 5% 299
Ühilduv
Süsteravim Cisatracurium besylate 0.1 & 2 mg/ml
Süsteravim Ceftizoxime sodium 20 mg/ml
glükoos 5% 299
Hägusus ühe tunni jooksul Sobimatu
Süsteravim Cisatracurium besylate 5 mg/ml
Süsteravim Ceftizoxime sodium 20 mg/ml
glükoos 5% 299
Kohene sade Sobimatu
Süsteravim Cisatracurium besylate 0.5 mg/ml
Süsteravim Ceftobiprole medocaril sodium 2 mg/ml
naatriumkloriid 0.9% 2269
Kohene sade Sobimatu
Süsteravim Cisatracurium besylate 0.5 mg/ml
Süsteravim Ceftobiprole medocaril sodium 2 mg/ml
Ringer laktaat 2269
Kohene sade Sobimatu
Süsteravim Cisatracurium besylate 0.5 mg/ml
Süsteravim Ceftobiprole medocaril sodium 2 mg/ml
glükoos 5% 2269
Täpsustamata sobimatus Sobimatu
Süsteravim Cisatracurium besylate
Süsteravim Ceftobiprole medocaril sodium
4650
Ühilduv
Süsteravim Cisatracurium besylate 0.4 mg/ml
Süsteravim Ceftolozane / tazobactam 10/5 mg/ml
glükoos 5% 3828
Ühilduv
Süsteravim Cisatracurium besylate 0.4 mg/ml
Süsteravim Ceftolozane / tazobactam 10/5 mg/ml
naatriumkloriid 0.9% 3828
Ühilduv
Süsteravim Cisatracurium besylate 0.1 >> 5 mg/ml
Süsteravim Ceftriaxone disodium 20 mg/ml
glükoos 5% 299
Kohene sade Sobimatu
Süsteravim Cisatracurium besylate 2 & 5 mg/ml
Süsteravim Cefuroxime sodium 30 mg/ml
glükoos 5% 299
Ühilduv
Süsteravim Cisatracurium besylate 0.1 >> 5 mg/ml
Süsteravim Chlorpromazine hydrochloride 2 mg/ml
glükoos 5% 299
Ühilduv
Süsteravim Cisatracurium besylate 0.1 >> 5 mg/ml
Süsteravim Cimetidine hydrochloride 12 mg/ml
glükoos 5% 299
Ühilduv
Süsteravim Cisatracurium besylate 0.1 >> 5 mg/ml
Süsteravim Ciprofloxacin lactate 1 mg/ml
glükoos 5% 299
Ühilduv
Süsteravim Cisatracurium besylate 0.1 >> 5 mg/ml
Süsteravim Clindamycin phosphate 10 mg/ml
glükoos 5% 299
Ühilduv
Süsteravim Cisatracurium besylate 5 mg/ml
Süsteravim Clonazepam 0.2 mg/ml
naatriumkloriid 0.9% 3823
Ühilduv
Süsteravim Cisatracurium besylate 5 mg/ml
Süsteravim Clonidine hydrochloride 0.012 mg/ml
naatriumkloriid 0.9% 3823
Kohene hägusus Sobimatu
Süsteravim Cisatracurium besylate 2 & 5 mg/ml
Süsteravim Co-trimoxazole 0,8/4 mg/ml
glükoos 5% 299
Ühilduv
Süsteravim Cisatracurium besylate 0.1 mg/ml
Süsteravim Co-trimoxazole 0.8/4 mg/ml
glükoos 5% 299
Ühilduv
Süsteravim Cisatracurium besylate 0.5 mg/ml
Süsteravim Dexmedetomidine 4 µg/ml
naatriumkloriid 0.9% 1712
Ühilduv
Süsteravim Cisatracurium besylate 0.1 >> 5 mg/ml
Süsteravim Diazepam 0.25 mg/ml
glükoos 5% 299
Kohene sade Sobimatu
Süsteravim Cisatracurium besylate 0.1 >> 5 mg/ml
Süsteravim Diazepam 5 mg/ml
glükoos 5% 299
Täpsustamata sobimatus Sobimatu
Süsteravim Cisatracurium besylate 5 mg/ml
Süsteravim Diclofenac 3 mg/ml
naatriumkloriid 0.9% 3823
Ühilduv
Süsteravim Cisatracurium besylate 0.1 >> 5 mg/ml
Süsteravim Digoxin 250 µg/ml
glükoos 5% 299
Ühilduv
Süsteravim Cisatracurium besylate 1 mg/ml
Süsteravim Diltiazem hydrochloride 1 mg/ml
naatriumkloriid 0.9% 3429
Ühilduv
Süsteravim Cisatracurium besylate 0.1 >> 5 mg/ml
Süsteravim Diphenhydramine hydrochloride 2 mg/ml
glükoos 5% 299
Ühilduv
Süsteravim Cisatracurium besylate 0.1 >> 5 mg/ml
Süsteravim Dobutamine hydrochloride 4 mg/ml
glükoos 5% 299
Ühilduv
Süsteravim Cisatracurium besylate 0.1 >> 5 mg/ml
Süsteravim Dopamine hydrochloride 3.2 mg/ml
glükoos 5% 299
Ühilduv
Süsteravim Cisatracurium besylate 0.1 >> 5 mg/ml
Süsteravim Doxycycline hyclate 1 mg/ml
glükoos 5% 299
Ühilduv
Süsteravim Cisatracurium besylate
Süsteravim Droperidol
3601
Ühilduv
Süsteravim Cisatracurium besylate 0.1 >> 5 mg/ml
Süsteravim Droperidol 2.5 mg/ml
glükoos 5% 299
Ühilduv
Süsteravim Cisatracurium besylate 0.1 >> 5 mg/ml
Süsteravim Enalaprilate 0.1 mg/ml
glükoos 5% 299
Ühilduv
Süsteravim Cisatracurium besylate 0.1 >> 5 mg/ml
Süsteravim Epinephrine hydrochloride 50 µg/ml
glükoos 5% 299
Ühilduv
Süsteravim Cisatracurium besylate 0,4 mg/ml
Süsteravim Eravacycline 0,6 mg/ml
naatriumkloriid 0.9% 4434
Ühilduv
Süsteravim Cisatracurium besylate 0.1 >> 5 mg/ml
Süsteravim Esmolol hydrochloride 10 mg/ml
glükoos 5% 299
Ühilduv
Süsteravim Cisatracurium besylate 0.4 mg/ml
Süsteravim Fosfomycin 30 mg/ml
glükoos 5% 4055
Kohene hägusus Sobimatu
Süsteravim Cisatracurium besylate 5 mg/ml
NaHCO3 3823
Ühilduv
Süsteravim Cisatracurium besylate 5 mg/ml
Süsteravim Esmolol hydrochloride 10 mg/ml
naatriumkloriid 0.9% 3823
Ühilduv
Süsteravim Cisatracurium besylate 2 mg/ml
Süsteravim Esmolol hydrochloride 10 mg/ml
naatriumkloriid 0.9% 3879
Ühilduv
Süsteravim Cisatracurium besylate 1 mg/ml
Süsteravim Esomeprazole sodium 0,4 mg/ml
naatriumkloriid 0.9% 3429
Ühilduv
Süsteravim Cisatracurium besylate 0.1 >> 5 mg/ml
Süsteravim Famotidine 2 mg/ml
glükoos 5% 299
Ühilduv
Süsteravim Cisatracurium besylate 0.5 mg/ml
Süsteravim Fenoldopam mesylate 80 µg/ml
naatriumkloriid 0.9% 1803
Ühilduv
Süsteravim Cisatracurium besylate 0.1 >> 5 mg/ml
Süsteravim Fentanyl citrate 12.5 µg/ml
glükoos 5% 299
Ühilduv
Süsteravim Cisatracurium besylate
Süsteravim Fentanyl citrate
3601
Ühilduv
Süsteravim Cisatracurium besylate 0.1 >> 5 mg/ml
Süsteravim Fluconazole 2 mg/ml
glükoos 5% 299
Ühilduv
Süsteravim Cisatracurium besylate 0.4 mg/ml
Süsteravim Fosfomycin 30 mg/ml
naatriumkloriid 0.9% 4055
Täpsustamata sobimatus Sobimatu
Süsteravim Cisatracurium besylate
Süsteravim Furosemide
3465
Kohene hägusus Sobimatu
Süsteravim Cisatracurium besylate 2 & 5 mg/ml
NaHCO3 299
Kohene sade Sobimatu
Süsteravim Cisatracurium besylate 5 mg/ml
Süsteravim Furosemide 10 mg/ml
naatriumkloriid 0.9% 3463
Ühilduv
Süsteravim Cisatracurium besylate 0.1 mg/ml
Süsteravim Furosemide 3 mg/ml
glükoos 5% 299
Täpsustamata sobimatus Sobimatu
Süsteravim Cisatracurium besylate 5 mg/ml
Süsteravim Furosemide 10 mg/ml
naatriumkloriid 0.9% 3823
Kohene sade Sobimatu
Süsteravim Cisatracurium besylate 5 mg/ml
Süsteravim Ganciclovir sodium 20 mg/ml
glükoos 5% 299
Täpsustamata sobimatus Sobimatu
Süsteravim Cisatracurium besylate
NaHCO3 3466
Ühilduv
Süsteravim Cisatracurium besylate 0.1 & 2 mg/ml
Süsteravim Ganciclovir sodium 20 mg/ml
glükoos 5% 299
Täpsustamata sobimatus Sobimatu
Süsteravim Cisatracurium besylate
NaHCO3 3601
Kohene sade Sobimatu
Süsteravim Cisatracurium besylate 2 & 5 mg/ml
Süsteravim Furosemide 3 mg/ml
glükoos 5% 299
Täpsustamata sobimatus Sobimatu
Süsteravim Cisatracurium besylate 5 mg/ml
Süsteravim Furosemide 10 mg/ml
mitte ükski 3134
Ühilduv
Süsteravim Cisatracurium besylate 0.1 >> 5 mg/ml
Süsteravim Gentamicin sulfate 5 mg/ml
glükoos 5% 299
Ühilduv
Süsteravim Cisatracurium besylate 0.1 >> 5 mg/ml
Süsteravim Haloperidol lactate 0.2 mg/ml
glükoos 5% 299
Kohene sade Sobimatu
Süsteravim Cisatracurium besylate 5 mg/ml
Süsteravim Heparin sodium 100 UI/ml
glükoos 5% 299
Emulsiooni ebastabiilsus 4 tunni pärast Sobimatu
Süsteravim Cisatracurium besylate 2 mg/ml
Parenteraalse toitmise (lipiidide) 4507
Täpsustamata sobimatus Sobimatu
Süsteravim Cisatracurium besylate
Ringer laktaat 3601
Värvimuutus Sobimatu
Süsteravim Cisatracurium besylate 5 mg/ml
Süsteravim Heparin sodium 500 UI/ml
naatriumkloriid 0.9% 3463
Ühilduv
Süsteravim Cisatracurium besylate 0.1 & 2 mg/ml
Süsteravim Heparin sodium 100 UI/ml
glükoos 5% 299
Täpsustamata sobimatus Sobimatu
Süsteravim Cisatracurium besylate 5 mg/ml
Süsteravim Heparin sodium 500 UI/ml
naatriumkloriid 0.9% 3823
Ühilduv
Süsteravim Cisatracurium besylate
glükoos 5% 3601
Täpsustamata sobimatus Sobimatu
Süsteravim Cisatracurium besylate
Süsteravim Heparin sodium
3540
Ühilduv
Süsteravim Cisatracurium besylate 0.5 mg/ml
Süsteravim Hetastarch 60 mg/ml
konkreetsed lahusti 1721
Ühilduv
Süsteravim Cisatracurium besylate 0.1 >> 5 mg/ml
Süsteravim Hydrocortisone sodium succinate 1 mg/ml
glükoos 5% 299
Ühilduv
Süsteravim Cisatracurium besylate 2 mg/ml
Süsteravim Hydrocortisone sodium succinate 1 mg/ml
naatriumkloriid 0.9% 4465
Ühilduv
Süsteravim Cisatracurium besylate 0.1 >> 5 mg/ml
Süsteravim Hydromorphone hydrochloride 0.5 mg/ml
glükoos 5% 299
Ühilduv
Süsteravim Cisatracurium besylate 0.1 >> 5 mg/ml
Süsteravim Hydroxyzine dihydrochloride 2 mg/ml
glükoos 5% 299
Ühilduv
Süsteravim Cisatracurium besylate 0.1 >> 5 mg/ml
Süsteravim Imipenem - cilastatin sodium 10 mg/ml
glükoos 5% 299
Ühilduv
Süsteravim Cisatracurium besylate 0,4 mg/ml
Süsteravim Imipenem-Cilastatin / Relebactam 5 mg/ml
naatriumkloriid 0.9% 4433
Ühilduv
Süsteravim Cisatracurium besylate 0,4 mg/ml
Süsteravim Imipenem-Cilastatin / Relebactam 5 mg/ml
glükoos 5% 4433
Ühilduv
Süsteravim Cisatracurium besylate 1 mg/ml
Süsteravim Insulin 1 UI/ml
naatriumkloriid 0.9% 3429
Ühilduv
Süsteravim Cisatracurium besylate 5 mg/ml
Süsteravim Insulin 2 UI/ml
naatriumkloriid 0.9% 3823
Ühilduv
Süsteravim Cisatracurium besylate 0.4 mg/ml
Süsteravim Isavuconazonium sulfate 1.5 mg/ml
naatriumkloriid 0.9% 3829
Ühilduv
Süsteravim Cisatracurium besylate 0.4 mg/ml
Süsteravim Isavuconazonium sulfate 1.5 mg/ml
glükoos 5% 3829
Ühilduv
Süsteravim Cisatracurium besylate 0.1 >> 5 mg/ml
Süsteravim Isoprenaline hydrochloride 0.02 mg/ml
glükoos 5% 299
Ühilduv
Süsteravim Cisatracurium besylate 0.1 >> 5 mg/ml
Süsteravim Ketorolac tromethamine 15 mg/ml
glükoos 5% 299
Täpsustamata sobimatus Sobimatu
Süsteravim Cisatracurium besylate
Süsteravim Ketorolac tromethamine
3601
Ühilduv
Süsteravim Cisatracurium besylate 0.1 >> 5 mg/ml
Süsteravim Lorazepam 0.5 mg/ml
glükoos 5% 299
Ühilduv
Süsteravim Cisatracurium besylate 0.1 >> 5 mg/ml
Süsteravim Magnesium sulfate 100 mg/ml
glükoos 5% 299
Ühilduv
Süsteravim Cisatracurium besylate 0.1 >> 5 mg/ml
Süsteravim Mannitol 150 mg/ml
glükoos 5% 299
Ühilduv
Süsteravim Cisatracurium besylate
naatriumkloriid 0.9% 3601
Ühilduv
Süsteravim Cisatracurium besylate 2 mg/ml
Süsteravim Labetalol hydrochloride 5 mg/ml
naatriumkloriid 0.9% 3879
Ühilduv
Süsteravim Cisatracurium besylate 1 mg/ml
Süsteravim Levetiracetam 5 mg/ml
naatriumkloriid 0.9% 4569
Ühilduv
Süsteravim Cisatracurium besylate 0.1 >> 5 mg/ml
Süsteravim Lidocaine hydrochloride 8 mg/ml
glükoos 5% 299
Ühilduv
Süsteravim Cisatracurium besylate 2 mg/ml
Süsteravim Linezolid 2 mg/ml
mitte ükski 1925
Ühilduv
Süsteravim Cisatracurium besylate 0.1 mg/ml
Süsteravim Methylprednisolone sodium succinate 5 mg/ml
glükoos 5% 299
Kohene hägusus Sobimatu
Süsteravim Cisatracurium besylate 2 & 5 mg/ml
Süsteravim Methylprednisolone sodium succinate 5 mg/ml
glükoos 5% 299
Ühilduv
Süsteravim Cisatracurium besylate 0.1 >> 5 mg/ml
Süsteravim Metoclopramide hydrochloride 5 mg/ml
glükoos 5% 299
Ühilduv
Süsteravim Cisatracurium besylate 2 mg/ml
Süsteravim Metoprolol tartrate 0.4 mg/ml
naatriumkloriid 0.9% 3879
Ühilduv
Süsteravim Cisatracurium besylate 0.1 >> 5 mg/ml
Süsteravim Metronidazole 5 mg/ml
glükoos 5% 299
Kohene sade Sobimatu
Süsteravim Cisatracurium besylate 0.5 mg/ml
Süsteravim Micafungin 1.5 mg/ml
naatriumkloriid 0.9% 2108
Ühilduv
Süsteravim Cisatracurium besylate
Süsteravim Midazolam hydrochloride
3601
Ühilduv
Süsteravim Cisatracurium besylate 5 mg/ml
Süsteravim Midazolam hydrochloride 2.1 mg/ml
naatriumkloriid 0.9% 3823
Ühilduv
Süsteravim Cisatracurium besylate 0.1 >> 5 mg/ml
Süsteravim Midazolam hydrochloride 1 mg/ml
glükoos 5% 299
Ühilduv
Süsteravim Cisatracurium besylate 0.1 >> 5 mg/ml
Süsteravim Minocycline hydrochloride 0.2 mg/ml
glükoos 5% 299
Ühilduv
Süsteravim Cisatracurium besylate 0.1 >> 5 mg/ml
Süsteravim Morphine sulfate 1 mg/ml
glükoos 5% 299
Ühilduv
Süsteravim Cisatracurium besylate 0.1 >> 5 mg/ml
Süsteravim Nalbuphine hydrochloride 10 mg/ml
glükoos 5% 299
Ühilduv
Süsteravim Cisatracurium besylate 0.1 >> 5 mg/ml
Süsteravim Netilmicin sulfate 5 mg/ml
glükoos 5% 299
Ühilduv
Süsteravim Cisatracurium besylate 1 mg/ml
Süsteravim Nicardipine hydrochloride 0,5 mg/ml
naatriumkloriid 0.9% 3429
Ühilduv
Süsteravim Cisatracurium besylate 5 mg/ml
Süsteravim Nimodipine 0.2 mg/ml
naatriumkloriid 0.9% 3823
Ühilduv
Süsteravim Cisatracurium besylate 0.1 >> 5 mg/ml
Süsteravim Nitroglycerin 0.4 mg/ml
glükoos 5% 299
Ühilduv
Süsteravim Cisatracurium besylate 5 mg/ml
Süsteravim Nitroglycerin 0.2 mg/ml
glükoos 5% 3823
Kohene sade Sobimatu
Süsteravim Cisatracurium besylate 2 & 5 mg/ml
Süsteravim Nitroprusside sodium 2 mg/ml
glükoos 5% 299
Ühilduv
Süsteravim Cisatracurium besylate 0.1 mg/ml
Süsteravim Nitroprusside sodium 2 mg/ml
glükoos 5% 299
Ühilduv
Süsteravim Cisatracurium besylate 0.1 >> 5 mg/ml
Süsteravim Norepinephrine bitartrate 0.12 mg/ml
glükoos 5% 299
Ühilduv
Süsteravim Cisatracurium besylate 0.1 >> 5 mg/ml
Süsteravim Ofloxacin 4 mg/ml
glükoos 5% 299
Ühilduv
Süsteravim Cisatracurium besylate 5 mg/ml
Süsteravim Omeprazole sodium 1.6 mg/ml
naatriumkloriid 0.9% 3823
Ühilduv
Süsteravim Cisatracurium besylate 0.1 >> 5 mg/ml
Süsteravim Ondansetron hydrochloride 1 mg/ml
glükoos 5% 299
Ühilduv
Süsteravim Cisatracurium besylate 0,5 mg/ml
Süsteravim Palonosetron hydrochloride 50 µg/ml
glükoos 5% 2227
Hägusus ühe tunni jooksul Sobimatu
Süsteravim Cisatracurium besylate 1 mg/ml
Süsteravim Pantoprazole sodium 0,8 mg/ml
naatriumkloriid 0.9% 3429
Ühilduv
Süsteravim Cisatracurium besylate 0.1 >> 5 mg/ml
Süsteravim Pethidine hydrochloride 4 mg/ml
glükoos 5% 299
Ühilduv
Süsteravim Cisatracurium besylate 0.1 >> 5 mg/ml
Süsteravim Phenylephrine hydrochloride 1 mg/ml
glükoos 5% 299
Ühilduv
Süsteravim Cisatracurium besylate 0.1 mg/ml
Süsteravim Piperacillin sodium 40 mg/ml
glükoos 5% 299
Kohene hägusus Sobimatu
Süsteravim Cisatracurium besylate 2 & 5 mg/ml
Süsteravim Piperacillin sodium 40 mg/ml
glükoos 5% 299
Ühilduv
Süsteravim Cisatracurium besylate 0.1 & 2 mg/ml
Süsteravim Piperacillin sodium / tazobactam 40/5 mg/ml
glükoos 5% 299
Sade 4 tunni pärast Sobimatu
Süsteravim Cisatracurium besylate 5 mg/ml
Süsteravim Piperacillin sodium / tazobactam 40/5 mg/ml
glükoos 5% 299
Ühilduv
Süsteravim Cisatracurium besylate 0.4 mg/ml
Süsteravim Plazomicin sulfate 24 mg/ml
naatriumkloriid 0.9% 4145
Ühilduv
Süsteravim Cisatracurium besylate 0.1 >> 5 mg/ml
Süsteravim Potassium chloride 100 mEq/l
glükoos 5% 299
Ühilduv
Süsteravim Cisatracurium besylate 5 mg/ml
Süsteravim Potassium chloride 10 mEq/l
naatriumkloriid 0.9% 3823
Ühilduv
Süsteravim Cisatracurium besylate 0.1 >> 5 mg/ml
Süsteravim Procainamide hydrochloride 10 mg/ml
glükoos 5% 299
Ühilduv
Süsteravim Cisatracurium besylate 0.1 >> 5 mg/ml
Süsteravim Prochlorperazine edysilate 0.5 mg/ml
glükoos 5% 299
Ühilduv
Süsteravim Cisatracurium besylate 0.1 >> 5 mg/ml
Süsteravim Promethazine hydrochloride 2 mg/ml
glükoos 5% 299
Täpsustamata sobimatus Sobimatu
Süsteravim Cisatracurium besylate
Süsteravim Propofol
3601
Ühilduv
Süsteravim Cisatracurium besylate 0.1 >> 5 mg/ml
Süsteravim Ranitidine hydrochloride 2 mg/ml
glükoos 5% 299
Ühilduv
Süsteravim Cisatracurium besylate 5 mg/ml
Süsteravim Remifentanil hydrochloride 100 µg/ml
naatriumkloriid 0.9% 3823
Ühilduv
Süsteravim Cisatracurium besylate 2 mg/ml
Süsteravim Remifentanil hydrochloride 25 & 250 µg/ml
naatriumkloriid 0.9% 59
Täpsustamata sobimatus Sobimatu
Süsteravim Cisatracurium besylate
Süsteravim Sodium bicarbonate
3466
Hägusus ühe tunni jooksul Sobimatu
Süsteravim Cisatracurium besylate 2 mg/ml
Süsteravim Sodium bicarbonate 84 mg/ml
glükoos 5% 299
Täpsustamata sobimatus Sobimatu
Süsteravim Cisatracurium besylate
Süsteravim Sodium bicarbonate
3601
Ühilduv
Süsteravim Cisatracurium besylate 0.1 mg/ml
Süsteravim Sodium bicarbonate 84 mg/ml
glükoos 5% 299
Kohene hägusus Sobimatu
Süsteravim Cisatracurium besylate 5 mg/ml
Süsteravim Sodium bicarbonate 84 mg/ml
glükoos 5% 299
2 tunni jooksul hägusus Sobimatu
Süsteravim Cisatracurium besylate 5 mg/ml
Süsteravim Sodium bicarbonate 84 mg/ml
mitte ükski 3212
Ühilduv
Süsteravim Cisatracurium besylate 0.1 >> 5 mg/ml
Süsteravim Sufentanil citrate 0.0125 mg/ml
glükoos 5% 299
Ühilduv
Süsteravim Cisatracurium besylate
Süsteravim Sufentanil citrate
3601
Ühilduv
Süsteravim Cisatracurium besylate 0,4 mg/ml
Süsteravim Sulbactam/durlobactam 15/15 mg/ml
naatriumkloriid 0.9% 4801
Ühilduv
Süsteravim Cisatracurium besylate 0.4 mg/ml
Süsteravim Tedizolid phosphate 0.8 mg/ml
naatriumkloriid 0.9% 3827
Ühilduv
Süsteravim Cisatracurium besylate 0.1 >> 5 mg/ml
Süsteravim Theophylline 3.2 mg/ml
glükoos 5% 299
Täpsustamata sobimatus Sobimatu
Süsteravim Cisatracurium besylate
Süsteravim Thiopental sodium
3601
Ühilduv
Süsteravim Cisatracurium besylate 0.1 mg/ml
Süsteravim Thiopental sodium 25 mg/ml
glükoos 5% 299
Täpsustamata sobimatus Sobimatu
Süsteravim Cisatracurium besylate 5 mg/ml
Süsteravim Thiopental sodium 60 mg/ml
naatriumkloriid 0.9% 3823
Kohene sade Sobimatu
Süsteravim Cisatracurium besylate 2 & 5 mg/ml
Süsteravim Thiopental sodium 25 mg/ml
glükoos 5% 299
Ühilduv
Süsteravim Cisatracurium besylate 0.1 & 2 mg/ml
Süsteravim Ticarcillin / clavulanic acid 30 mg/ml
glükoos 5% 299
Kohene hägusus Sobimatu
Süsteravim Cisatracurium besylate 5 mg/ml
Süsteravim Ticarcillin / clavulanic acid 30 mg/ml
glükoos 5% 299
Ühilduv
Süsteravim Cisatracurium besylate 0.1 >> 5 mg/ml
Süsteravim Tobramycin sulfate 5 mg/ml
glükoos 5% 299
Ühilduv
Süsteravim Cisatracurium besylate 0.1 >> 5 mg/ml
Süsteravim Vancomycin hydrochloride 10 mg/ml
glükoos 5% 299
Ühilduv
Süsteravim Cisatracurium besylate 1 mg/ml
Süsteravim Vasopressin 1 UI/ml
naatriumkloriid 0.9% 3429
Ühilduv
Süsteravim Cisatracurium besylate 0.1 >> 5 mg/ml
Süsteravim Zidovudine 4 mg/ml
glükoos 5% 299

  Mentions Légales