最新更新 :
27/04/2026
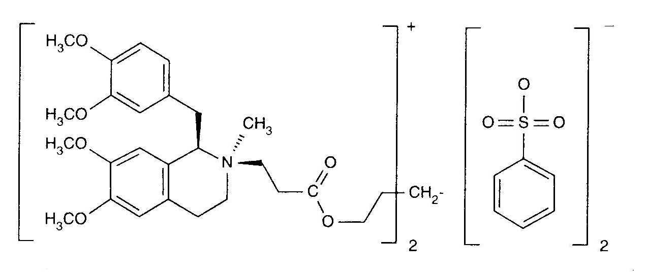
仿箭毒药   Cisatracurium besylate  
注射液
溶液稳定性 混合物稳定性 影响稳定性的因素 兼容性 用药途径 引用文献 PDF
   化学式  

商品名   商品名     

商品名仅供参考, 药品所用的辅料可能依国家或厂商不同有所不同。

Bensitrak 墨西哥
Besilato de cisatracurio
Cicuryl 墨西哥
Cirium 哥伦比亚
Cis Atracure
Cisatracurio 厄瓜多尔, 哥伦比亚, 巴西, 意大利, 智利, 秘鲁, 西班牙
Cisatracurium 加拿大, 匈牙利, 德国, 比利时, 法国, 爱尔兰, 突尼斯, 芬兰, 英国
Nimbex 丹麦, 伊朗, 加拿大, 匈牙利, 卢森堡, 厄瓜多尔, 土耳其, 埃及, 墨西哥, 奥地利, 委内瑞拉, 希腊, 德国, 意大利, 挪威, 斯洛文尼亚, 智利, 比利时, 沙特阿拉伯, 法国, 波兰, 爱尔兰, 瑞典, 秘鲁, 突尼斯, 美国, 芬兰, 英国, 荷兰, 葡萄牙, 西班牙, 阿联酋, 马来西亚
Nimbium 哥伦比亚, 巴西
兼容性   注射液   兼容性 : Cisatracurium besylate              
This screen indicates the compatibilities or incompatibilities with, in this case, the type of incompatibility (precipitation, color change, modification of an emulsion, etc.). The compatibilities shown here are mostly physical only, with the chemical stability of each molecule rarely being assessed. The evaluation of these mixtures was studied to consider the possibility of Y-site administration to the patient. These data cannot be used for making mixtures in advance in bags or syringes. This type of information is available in the screen "Stability in mixture ».
分子 溶剂 引用文献
立即沉澱 不相容
注射液 Cisatracurium besylate 5 mg/ml
注射液 Aciclovir sodium 7 mg/ml
葡萄糖5% 299
兼容
注射液 Cisatracurium besylate 0.1 & 2 mg/ml
注射液 Aciclovir sodium 7 mg/ml
葡萄糖5% 299
兼容
注射液 Cisatracurium besylate
注射液 Alfentanil hydrochloride
3601
兼容
注射液 Cisatracurium besylate 0.1 >> 5 mg/ml
注射液 Alfentanil hydrochloride 125 µg/ml
葡萄糖5% 299
立即沉澱 不相容
注射液 Cisatracurium besylate 1,2 mg/ml
注射液 Alprostadil 20 µg/ml
葡萄糖5% 4651
立即沉澱 不相容
注射液 Cisatracurium besylate 1,2 mg/ml
注射液 Alprostadil 20 µg/ml
葡萄糖5% 4491
兼容
注射液 Cisatracurium besylate 0.1 >> 5 mg/ml
注射液 Amikacin sulfate 5 mg/ml
葡萄糖5% 299
兼容
注射液 Cisatracurium besylate 0.1 & 2 mg/ml
注射液 Aminophylline 2.5 mg/ml
葡萄糖5% 299
一小時渾濁 不相容
注射液 Cisatracurium besylate 5 mg/ml
注射液 Aminophylline 2.5 mg/ml
葡萄糖5% 299
兼容
注射液 Cisatracurium besylate
注射液 Amiodarone hydrochloride
3464
兼容
注射液 Cisatracurium besylate 5 mg/ml
注射液 Amiodarone hydrochloride 15 mg/ml
葡萄糖5% 3823
兼容
注射液 Cisatracurium besylate 0.1 mg/ml
注射液 Amphotericin B 0.6 mg/ml
葡萄糖5% 299
立即沉澱 不相容
注射液 Cisatracurium besylate 2 & 5 mg/ml
注射液 Amphotericin B 0.6 mg/ml
葡萄糖5% 299
立即沉澱 不相容
注射液 Cisatracurium besylate 2 mg/ml
注射液 Amphotericin B cholesteryl sulfate complex 0.83 mg/ml
葡萄糖5% 921
一小時渾濁 不相容
注射液 Cisatracurium besylate 5 mg/ml
注射液 Ampicillin sodium 20 mg/ml
NaCl 0,9% 299
兼容
注射液 Cisatracurium besylate 0.1 & 2 mg/ml
注射液 Ampicillin sodium 20 mg/ml
葡萄糖5% 299
一小時渾濁 不相容
注射液 Cisatracurium besylate 5 mg/ml
注射液 Ampicillin sodium 20 mg/ml
葡萄糖5% 299
立即渾濁 不相容
注射液 Cisatracurium besylate 5 mg/ml
注射液 Ampicillin sodium - sulbactam sodium 20/10 mg/ml
葡萄糖5% 299
立即渾濁 不相容
注射液 Cisatracurium besylate 5 mg/ml
注射液 Ampicillin sodium - sulbactam sodium 20/10 mg/ml
NaCl 0,9% 299
兼容
注射液 Cisatracurium besylate 0.1 & 2 mg/ml
注射液 Ampicillin sodium - sulbactam sodium 20/10 mg/ml
葡萄糖5% 299
兼容
注射液 Cisatracurium besylate 0.1 >> 5 mg/ml
注射液 Aztreonam 40 mg/ml
葡萄糖5% 299
兼容
注射液 Cisatracurium besylate 0.1 >> 5 mg/ml
注射液 Bumetanide 0.04 mg/ml
葡萄糖5% 299
兼容
注射液 Cisatracurium besylate 0.1 >> 5 mg/ml
注射液 Buprenorphine hydrochloride 0.04 mg/ml
葡萄糖5% 299
兼容
注射液 Cisatracurium besylate 0.1 >> 5 mg/ml
注射液 Butorphanol tartrate 0.04 mg/ml
葡萄糖5% 299
兼容
注射液 Cisatracurium besylate 0.1 >> 5 mg/ml
注射液 Calcium gluconate 40 mg/ml
葡萄糖5% 299
兼容
注射液 Cisatracurium besylate 1 mg/ml
注射液 Calcium gluconate 20 mg/ml
NaCl 0,9% 3429
立即渾濁 不相容
注射液 Cisatracurium besylate 2 & 5 mg/ml
注射液 Cefazolin sodium 20 mg/ml
葡萄糖5% 299
兼容
注射液 Cisatracurium besylate 0.1 mg/ml
注射液 Cefazolin sodium 20 mg/ml
葡萄糖5% 299
兼容
注射液 Cisatracurium besylate 0.4 mg/ml
注射液 Cefiderocol sulfate tosylate 20 mg/mL
葡萄糖5% 4528
兼容
注射液 Cisatracurium besylate 0.4 mg/ml
注射液 Cefiderocol sulfate tosylate 20 mg/mL
NaCl 0,9% 4528
立即沉澱 不相容
注射液 Cisatracurium besylate 0.1 >> 5 mg/ml
注射液 Cefoperazone sodium 40 mg/ml
葡萄糖5% 299
兼容
注射液 Cisatracurium besylate 0.1 >> 5 mg/ml
注射液 Cefoperazone sodium 40 mg/ml
葡萄糖5% 299
4小時內渾濁 不相容
注射液 Cisatracurium besylate 2 mg/ml
注射液 Cefotaxime sodium 20 mg/ml
葡萄糖5% 299
立即渾濁 不相容
注射液 Cisatracurium besylate 5 mg/ml
注射液 Cefotaxime sodium 20 mg/ml
葡萄糖5% 299
兼容
注射液 Cisatracurium besylate 0.1 mg/ml
注射液 Cefotaxime sodium 20 mg/ml
葡萄糖5% 299
兼容
注射液 Cisatracurium besylate 0.1 mg/ml
注射液 Cefoxitin sodium 20 mg/ml
葡萄糖5% 299
立即渾濁 不相容
注射液 Cisatracurium besylate 2 & 5 mg/ml
注射液 Cefoxitin sodium 20 mg/ml
葡萄糖5% 299
兼容
注射液 Cisatracurium besylate 0,5 mg/ml
注射液 Ceftaroline fosamil 2,22 mg/ml
Ringer乳酸溶液 3249
兼容
注射液 Cisatracurium besylate 0,5 mg/ml
注射液 Ceftaroline fosamil 2,22 mg/ml
葡萄糖5% 3249
兼容
注射液 Cisatracurium besylate 0,5 mg/ml
注射液 Ceftaroline fosamil 2,22 mg/ml
NaCl 0,9% 3249
立即渾濁 不相容
注射液 Cisatracurium besylate 5 mg/ml
注射液 Ceftazidime 40 mg/ml
葡萄糖5% 299
兼容
注射液 Cisatracurium besylate 0.1 & 2 mg/ml
注射液 Ceftazidime 40 mg/ml
葡萄糖5% 299
兼容
注射液 Cisatracurium besylate 0.1 & 2 mg/ml
注射液 Ceftizoxime sodium 20 mg/ml
葡萄糖5% 299
一小時渾濁 不相容
注射液 Cisatracurium besylate 5 mg/ml
注射液 Ceftizoxime sodium 20 mg/ml
葡萄糖5% 299
立即沉澱 不相容
注射液 Cisatracurium besylate 0.5 mg/ml
注射液 Ceftobiprole medocaril sodium 2 mg/ml
NaCl 0,9% 2269
立即沉澱 不相容
注射液 Cisatracurium besylate 0.5 mg/ml
注射液 Ceftobiprole medocaril sodium 2 mg/ml
Ringer乳酸溶液 2269
立即沉澱 不相容
注射液 Cisatracurium besylate 0.5 mg/ml
注射液 Ceftobiprole medocaril sodium 2 mg/ml
葡萄糖5% 2269
未指定的不兼容性 不相容
注射液 Cisatracurium besylate
注射液 Ceftobiprole medocaril sodium
4650
兼容
注射液 Cisatracurium besylate 0.4 mg/ml
注射液 Ceftolozane / tazobactam 10/5 mg/ml
葡萄糖5% 3828
兼容
注射液 Cisatracurium besylate 0.4 mg/ml
注射液 Ceftolozane / tazobactam 10/5 mg/ml
NaCl 0,9% 3828
兼容
注射液 Cisatracurium besylate 0.1 >> 5 mg/ml
注射液 Ceftriaxone disodium 20 mg/ml
葡萄糖5% 299
立即沉澱 不相容
注射液 Cisatracurium besylate 2 & 5 mg/ml
注射液 Cefuroxime sodium 30 mg/ml
葡萄糖5% 299
兼容
注射液 Cisatracurium besylate 0.1 >> 5 mg/ml
注射液 Chlorpromazine hydrochloride 2 mg/ml
葡萄糖5% 299
兼容
注射液 Cisatracurium besylate 0.1 >> 5 mg/ml
注射液 Cimetidine hydrochloride 12 mg/ml
葡萄糖5% 299
兼容
注射液 Cisatracurium besylate 0.1 >> 5 mg/ml
注射液 Ciprofloxacin lactate 1 mg/ml
葡萄糖5% 299
兼容
注射液 Cisatracurium besylate 0.1 >> 5 mg/ml
注射液 Clindamycin phosphate 10 mg/ml
葡萄糖5% 299
兼容
注射液 Cisatracurium besylate 5 mg/ml
注射液 Clonazepam 0.2 mg/ml
NaCl 0,9% 3823
兼容
注射液 Cisatracurium besylate 5 mg/ml
注射液 Clonidine hydrochloride 0.012 mg/ml
NaCl 0,9% 3823
立即渾濁 不相容
注射液 Cisatracurium besylate 2 & 5 mg/ml
注射液 Co-trimoxazole 0,8/4 mg/ml
葡萄糖5% 299
兼容
注射液 Cisatracurium besylate 0.1 mg/ml
注射液 Co-trimoxazole 0.8/4 mg/ml
葡萄糖5% 299
兼容
注射液 Cisatracurium besylate 0.5 mg/ml
注射液 Dexmedetomidine 4 µg/ml
NaCl 0,9% 1712
兼容
注射液 Cisatracurium besylate 0.1 >> 5 mg/ml
注射液 Diazepam 0.25 mg/ml
葡萄糖5% 299
立即沉澱 不相容
注射液 Cisatracurium besylate 0.1 >> 5 mg/ml
注射液 Diazepam 5 mg/ml
葡萄糖5% 299
未指定的不兼容性 不相容
注射液 Cisatracurium besylate 5 mg/ml
注射液 Diclofenac 3 mg/ml
NaCl 0,9% 3823
兼容
注射液 Cisatracurium besylate 0.1 >> 5 mg/ml
注射液 Digoxin 250 µg/ml
葡萄糖5% 299
兼容
注射液 Cisatracurium besylate 1 mg/ml
注射液 Diltiazem hydrochloride 1 mg/ml
NaCl 0,9% 3429
兼容
注射液 Cisatracurium besylate 0.1 >> 5 mg/ml
注射液 Diphenhydramine hydrochloride 2 mg/ml
葡萄糖5% 299
兼容
注射液 Cisatracurium besylate 0.1 >> 5 mg/ml
注射液 Dobutamine hydrochloride 4 mg/ml
葡萄糖5% 299
兼容
注射液 Cisatracurium besylate 0.1 >> 5 mg/ml
注射液 Dopamine hydrochloride 3.2 mg/ml
葡萄糖5% 299
兼容
注射液 Cisatracurium besylate 0.1 >> 5 mg/ml
注射液 Doxycycline hyclate 1 mg/ml
葡萄糖5% 299
兼容
注射液 Cisatracurium besylate
注射液 Droperidol
3601
兼容
注射液 Cisatracurium besylate 0.1 >> 5 mg/ml
注射液 Droperidol 2.5 mg/ml
葡萄糖5% 299
兼容
注射液 Cisatracurium besylate 0.1 >> 5 mg/ml
注射液 Enalaprilate 0.1 mg/ml
葡萄糖5% 299
兼容
注射液 Cisatracurium besylate 0.1 >> 5 mg/ml
注射液 Epinephrine hydrochloride 50 µg/ml
葡萄糖5% 299
兼容
注射液 Cisatracurium besylate 0,4 mg/ml
注射液 Eravacycline 0,6 mg/ml
NaCl 0,9% 4434
兼容
注射液 Cisatracurium besylate 0.1 >> 5 mg/ml
注射液 Esmolol hydrochloride 10 mg/ml
葡萄糖5% 299
兼容
注射液 Cisatracurium besylate 0.4 mg/ml
注射液 Fosfomycin 30 mg/ml
葡萄糖5% 4055
立即渾濁 不相容
注射液 Cisatracurium besylate 5 mg/ml
NaHCO3 3823
兼容
注射液 Cisatracurium besylate 5 mg/ml
注射液 Esmolol hydrochloride 10 mg/ml
NaCl 0,9% 3823
兼容
注射液 Cisatracurium besylate 2 mg/ml
注射液 Esmolol hydrochloride 10 mg/ml
NaCl 0,9% 3879
兼容
注射液 Cisatracurium besylate 1 mg/ml
注射液 Esomeprazole sodium 0,4 mg/ml
NaCl 0,9% 3429
兼容
注射液 Cisatracurium besylate 0.1 >> 5 mg/ml
注射液 Famotidine 2 mg/ml
葡萄糖5% 299
兼容
注射液 Cisatracurium besylate 0.5 mg/ml
注射液 Fenoldopam mesylate 80 µg/ml
NaCl 0,9% 1803
兼容
注射液 Cisatracurium besylate 0.1 >> 5 mg/ml
注射液 Fentanyl citrate 12.5 µg/ml
葡萄糖5% 299
兼容
注射液 Cisatracurium besylate
注射液 Fentanyl citrate
3601
兼容
注射液 Cisatracurium besylate 0.1 >> 5 mg/ml
注射液 Fluconazole 2 mg/ml
葡萄糖5% 299
兼容
注射液 Cisatracurium besylate 0.4 mg/ml
注射液 Fosfomycin 30 mg/ml
NaCl 0,9% 4055
未指定的不兼容性 不相容
注射液 Cisatracurium besylate
注射液 Furosemide
3465
立即渾濁 不相容
注射液 Cisatracurium besylate 2 & 5 mg/ml
NaHCO3 299
立即沉澱 不相容
注射液 Cisatracurium besylate 5 mg/ml
注射液 Furosemide 10 mg/ml
NaCl 0,9% 3463
兼容
注射液 Cisatracurium besylate 0.1 mg/ml
注射液 Furosemide 3 mg/ml
葡萄糖5% 299
未指定的不兼容性 不相容
注射液 Cisatracurium besylate 5 mg/ml
注射液 Furosemide 10 mg/ml
NaCl 0,9% 3823
立即沉澱 不相容
注射液 Cisatracurium besylate 5 mg/ml
注射液 Ganciclovir sodium 20 mg/ml
葡萄糖5% 299
未指定的不兼容性 不相容
注射液 Cisatracurium besylate
NaHCO3 3466
兼容
注射液 Cisatracurium besylate 0.1 & 2 mg/ml
注射液 Ganciclovir sodium 20 mg/ml
葡萄糖5% 299
未指定的不兼容性 不相容
注射液 Cisatracurium besylate
NaHCO3 3601
立即沉澱 不相容
注射液 Cisatracurium besylate 2 & 5 mg/ml
注射液 Furosemide 3 mg/ml
葡萄糖5% 299
未指定的不兼容性 不相容
注射液 Cisatracurium besylate 5 mg/ml
注射液 Furosemide 10 mg/ml
无 3134
兼容
注射液 Cisatracurium besylate 0.1 >> 5 mg/ml
注射液 Gentamicin sulfate 5 mg/ml
葡萄糖5% 299
兼容
注射液 Cisatracurium besylate 0.1 >> 5 mg/ml
注射液 Haloperidol lactate 0.2 mg/ml
葡萄糖5% 299
立即沉澱 不相容
注射液 Cisatracurium besylate 5 mg/ml
注射液 Heparin sodium 100 UI/ml
葡萄糖5% 299
4小時後乳液的不穩定性 不相容
注射液 Cisatracurium besylate 2 mg/ml
肠外营养(含脂肪) 4507
未指定的不兼容性 不相容
注射液 Cisatracurium besylate
Ringer乳酸溶液 3601
顏色變化 不相容
注射液 Cisatracurium besylate 5 mg/ml
注射液 Heparin sodium 500 UI/ml
NaCl 0,9% 3463
兼容
注射液 Cisatracurium besylate 0.1 & 2 mg/ml
注射液 Heparin sodium 100 UI/ml
葡萄糖5% 299
未指定的不兼容性 不相容
注射液 Cisatracurium besylate 5 mg/ml
注射液 Heparin sodium 500 UI/ml
NaCl 0,9% 3823
兼容
注射液 Cisatracurium besylate
葡萄糖5% 3601
未指定的不兼容性 不相容
注射液 Cisatracurium besylate
注射液 Heparin sodium
3540
兼容
注射液 Cisatracurium besylate 0.5 mg/ml
注射液 Hetastarch 60 mg/ml
特定溶液 1721
兼容
注射液 Cisatracurium besylate 0.1 >> 5 mg/ml
注射液 Hydrocortisone sodium succinate 1 mg/ml
葡萄糖5% 299
兼容
注射液 Cisatracurium besylate 2 mg/ml
注射液 Hydrocortisone sodium succinate 1 mg/ml
NaCl 0,9% 4465
兼容
注射液 Cisatracurium besylate 0.1 >> 5 mg/ml
注射液 Hydromorphone hydrochloride 0.5 mg/ml
葡萄糖5% 299
兼容
注射液 Cisatracurium besylate 0.1 >> 5 mg/ml
注射液 Hydroxyzine dihydrochloride 2 mg/ml
葡萄糖5% 299
兼容
注射液 Cisatracurium besylate 0.1 >> 5 mg/ml
注射液 Imipenem - cilastatin sodium 10 mg/ml
葡萄糖5% 299
兼容
注射液 Cisatracurium besylate 0,4 mg/ml
注射液 Imipenem-Cilastatin / Relebactam 5 mg/ml
NaCl 0,9% 4433
兼容
注射液 Cisatracurium besylate 0,4 mg/ml
注射液 Imipenem-Cilastatin / Relebactam 5 mg/ml
葡萄糖5% 4433
兼容
注射液 Cisatracurium besylate 1 mg/ml
注射液 Insulin 1 UI/ml
NaCl 0,9% 3429
兼容
注射液 Cisatracurium besylate 5 mg/ml
注射液 Insulin 2 UI/ml
NaCl 0,9% 3823
兼容
注射液 Cisatracurium besylate 0.4 mg/ml
注射液 Isavuconazonium sulfate 1.5 mg/ml
NaCl 0,9% 3829
兼容
注射液 Cisatracurium besylate 0.4 mg/ml
注射液 Isavuconazonium sulfate 1.5 mg/ml
葡萄糖5% 3829
兼容
注射液 Cisatracurium besylate 0.1 >> 5 mg/ml
注射液 Isoprenaline hydrochloride 0.02 mg/ml
葡萄糖5% 299
兼容
注射液 Cisatracurium besylate 0.1 >> 5 mg/ml
注射液 Ketorolac tromethamine 15 mg/ml
葡萄糖5% 299
未指定的不兼容性 不相容
注射液 Cisatracurium besylate
注射液 Ketorolac tromethamine
3601
兼容
注射液 Cisatracurium besylate 0.1 >> 5 mg/ml
注射液 Lorazepam 0.5 mg/ml
葡萄糖5% 299
兼容
注射液 Cisatracurium besylate 0.1 >> 5 mg/ml
注射液 Magnesium sulfate 100 mg/ml
葡萄糖5% 299
兼容
注射液 Cisatracurium besylate 0.1 >> 5 mg/ml
注射液 Mannitol 150 mg/ml
葡萄糖5% 299
兼容
注射液 Cisatracurium besylate
NaCl 0,9% 3601
兼容
注射液 Cisatracurium besylate 2 mg/ml
注射液 Labetalol hydrochloride 5 mg/ml
NaCl 0,9% 3879
兼容
注射液 Cisatracurium besylate 1 mg/ml
注射液 Levetiracetam 5 mg/ml
NaCl 0,9% 4569
兼容
注射液 Cisatracurium besylate 0.1 >> 5 mg/ml
注射液 Lidocaine hydrochloride 8 mg/ml
葡萄糖5% 299
兼容
注射液 Cisatracurium besylate 2 mg/ml
注射液 Linezolid 2 mg/ml
无 1925
兼容
注射液 Cisatracurium besylate 0.1 mg/ml
注射液 Methylprednisolone sodium succinate 5 mg/ml
葡萄糖5% 299
立即渾濁 不相容
注射液 Cisatracurium besylate 2 & 5 mg/ml
注射液 Methylprednisolone sodium succinate 5 mg/ml
葡萄糖5% 299
兼容
注射液 Cisatracurium besylate 0.1 >> 5 mg/ml
注射液 Metoclopramide hydrochloride 5 mg/ml
葡萄糖5% 299
兼容
注射液 Cisatracurium besylate 2 mg/ml
注射液 Metoprolol tartrate 0.4 mg/ml
NaCl 0,9% 3879
兼容
注射液 Cisatracurium besylate 0.1 >> 5 mg/ml
注射液 Metronidazole 5 mg/ml
葡萄糖5% 299
立即沉澱 不相容
注射液 Cisatracurium besylate 0.5 mg/ml
注射液 Micafungin 1.5 mg/ml
NaCl 0,9% 2108
兼容
注射液 Cisatracurium besylate
注射液 Midazolam hydrochloride
3601
兼容
注射液 Cisatracurium besylate 5 mg/ml
注射液 Midazolam hydrochloride 2.1 mg/ml
NaCl 0,9% 3823
兼容
注射液 Cisatracurium besylate 0.1 >> 5 mg/ml
注射液 Midazolam hydrochloride 1 mg/ml
葡萄糖5% 299
兼容
注射液 Cisatracurium besylate 0.1 >> 5 mg/ml
注射液 Minocycline hydrochloride 0.2 mg/ml
葡萄糖5% 299
兼容
注射液 Cisatracurium besylate 0.1 >> 5 mg/ml
注射液 Morphine sulfate 1 mg/ml
葡萄糖5% 299
兼容
注射液 Cisatracurium besylate 0.1 >> 5 mg/ml
注射液 Nalbuphine hydrochloride 10 mg/ml
葡萄糖5% 299
兼容
注射液 Cisatracurium besylate 0.1 >> 5 mg/ml
注射液 Netilmicin sulfate 5 mg/ml
葡萄糖5% 299
兼容
注射液 Cisatracurium besylate 1 mg/ml
注射液 Nicardipine hydrochloride 0,5 mg/ml
NaCl 0,9% 3429
兼容
注射液 Cisatracurium besylate 5 mg/ml
注射液 Nimodipine 0.2 mg/ml
NaCl 0,9% 3823
兼容
注射液 Cisatracurium besylate 0.1 >> 5 mg/ml
注射液 Nitroglycerin 0.4 mg/ml
葡萄糖5% 299
兼容
注射液 Cisatracurium besylate 5 mg/ml
注射液 Nitroglycerin 0.2 mg/ml
葡萄糖5% 3823
立即沉澱 不相容
注射液 Cisatracurium besylate 2 & 5 mg/ml
注射液 Nitroprusside sodium 2 mg/ml
葡萄糖5% 299
兼容
注射液 Cisatracurium besylate 0.1 mg/ml
注射液 Nitroprusside sodium 2 mg/ml
葡萄糖5% 299
兼容
注射液 Cisatracurium besylate 0.1 >> 5 mg/ml
注射液 Norepinephrine bitartrate 0.12 mg/ml
葡萄糖5% 299
兼容
注射液 Cisatracurium besylate 0.1 >> 5 mg/ml
注射液 Ofloxacin 4 mg/ml
葡萄糖5% 299
兼容
注射液 Cisatracurium besylate 5 mg/ml
注射液 Omeprazole sodium 1.6 mg/ml
NaCl 0,9% 3823
兼容
注射液 Cisatracurium besylate 0.1 >> 5 mg/ml
注射液 Ondansetron hydrochloride 1 mg/ml
葡萄糖5% 299
兼容
注射液 Cisatracurium besylate 0,5 mg/ml
注射液 Palonosetron hydrochloride 50 µg/ml
葡萄糖5% 2227
一小時渾濁 不相容
注射液 Cisatracurium besylate 1 mg/ml
注射液 Pantoprazole sodium 0,8 mg/ml
NaCl 0,9% 3429
兼容
注射液 Cisatracurium besylate 0.1 >> 5 mg/ml
注射液 Pethidine hydrochloride 4 mg/ml
葡萄糖5% 299
兼容
注射液 Cisatracurium besylate 0.1 >> 5 mg/ml
注射液 Phenylephrine hydrochloride 1 mg/ml
葡萄糖5% 299
兼容
注射液 Cisatracurium besylate 0.1 mg/ml
注射液 Piperacillin sodium 40 mg/ml
葡萄糖5% 299
立即渾濁 不相容
注射液 Cisatracurium besylate 2 & 5 mg/ml
注射液 Piperacillin sodium 40 mg/ml
葡萄糖5% 299
兼容
注射液 Cisatracurium besylate 0.1 & 2 mg/ml
注射液 Piperacillin sodium / tazobactam 40/5 mg/ml
葡萄糖5% 299
4小時後出現沉澱 不相容
注射液 Cisatracurium besylate 5 mg/ml
注射液 Piperacillin sodium / tazobactam 40/5 mg/ml
葡萄糖5% 299
兼容
注射液 Cisatracurium besylate 0.4 mg/ml
注射液 Plazomicin sulfate 24 mg/ml
NaCl 0,9% 4145
兼容
注射液 Cisatracurium besylate 0.1 >> 5 mg/ml
注射液 Potassium chloride 100 mEq/l
葡萄糖5% 299
兼容
注射液 Cisatracurium besylate 5 mg/ml
注射液 Potassium chloride 10 mEq/l
NaCl 0,9% 3823
兼容
注射液 Cisatracurium besylate 0.1 >> 5 mg/ml
注射液 Procainamide hydrochloride 10 mg/ml
葡萄糖5% 299
兼容
注射液 Cisatracurium besylate 0.1 >> 5 mg/ml
注射液 Prochlorperazine edysilate 0.5 mg/ml
葡萄糖5% 299
兼容
注射液 Cisatracurium besylate 0.1 >> 5 mg/ml
注射液 Promethazine hydrochloride 2 mg/ml
葡萄糖5% 299
未指定的不兼容性 不相容
注射液 Cisatracurium besylate
注射液 Propofol
3601
兼容
注射液 Cisatracurium besylate 0.1 >> 5 mg/ml
注射液 Ranitidine hydrochloride 2 mg/ml
葡萄糖5% 299
兼容
注射液 Cisatracurium besylate 5 mg/ml
注射液 Remifentanil hydrochloride 100 µg/ml
NaCl 0,9% 3823
兼容
注射液 Cisatracurium besylate 2 mg/ml
注射液 Remifentanil hydrochloride 25 & 250 µg/ml
NaCl 0,9% 59
未指定的不兼容性 不相容
注射液 Cisatracurium besylate
注射液 Sodium bicarbonate
3466
一小時渾濁 不相容
注射液 Cisatracurium besylate 2 mg/ml
注射液 Sodium bicarbonate 84 mg/ml
葡萄糖5% 299
未指定的不兼容性 不相容
注射液 Cisatracurium besylate
注射液 Sodium bicarbonate
3601
兼容
注射液 Cisatracurium besylate 0.1 mg/ml
注射液 Sodium bicarbonate 84 mg/ml
葡萄糖5% 299
立即渾濁 不相容
注射液 Cisatracurium besylate 5 mg/ml
注射液 Sodium bicarbonate 84 mg/ml
葡萄糖5% 299
2小時內渾濁 不相容
注射液 Cisatracurium besylate 5 mg/ml
注射液 Sodium bicarbonate 84 mg/ml
无 3212
兼容
注射液 Cisatracurium besylate 0.1 >> 5 mg/ml
注射液 Sufentanil citrate 0.0125 mg/ml
葡萄糖5% 299
兼容
注射液 Cisatracurium besylate
注射液 Sufentanil citrate
3601
兼容
注射液 Cisatracurium besylate 0,4 mg/ml
注射液 Sulbactam/durlobactam 15/15 mg/ml
NaCl 0,9% 4801
兼容
注射液 Cisatracurium besylate 0.4 mg/ml
注射液 Tedizolid phosphate 0.8 mg/ml
NaCl 0,9% 3827
兼容
注射液 Cisatracurium besylate 0.1 >> 5 mg/ml
注射液 Theophylline 3.2 mg/ml
葡萄糖5% 299
未指定的不兼容性 不相容
注射液 Cisatracurium besylate
注射液 Thiopental sodium
3601
兼容
注射液 Cisatracurium besylate 0.1 mg/ml
注射液 Thiopental sodium 25 mg/ml
葡萄糖5% 299
未指定的不兼容性 不相容
注射液 Cisatracurium besylate 5 mg/ml
注射液 Thiopental sodium 60 mg/ml
NaCl 0,9% 3823
立即沉澱 不相容
注射液 Cisatracurium besylate 2 & 5 mg/ml
注射液 Thiopental sodium 25 mg/ml
葡萄糖5% 299
兼容
注射液 Cisatracurium besylate 0.1 & 2 mg/ml
注射液 Ticarcillin / clavulanic acid 30 mg/ml
葡萄糖5% 299
立即渾濁 不相容
注射液 Cisatracurium besylate 5 mg/ml
注射液 Ticarcillin / clavulanic acid 30 mg/ml
葡萄糖5% 299
兼容
注射液 Cisatracurium besylate 0.1 >> 5 mg/ml
注射液 Tobramycin sulfate 5 mg/ml
葡萄糖5% 299
兼容
注射液 Cisatracurium besylate 0.1 >> 5 mg/ml
注射液 Vancomycin hydrochloride 10 mg/ml
葡萄糖5% 299
兼容
注射液 Cisatracurium besylate 1 mg/ml
注射液 Vasopressin 1 UI/ml
NaCl 0,9% 3429
兼容
注射液 Cisatracurium besylate 0.1 >> 5 mg/ml
注射液 Zidovudine 4 mg/ml
葡萄糖5% 299

  Mentions Légales