Zadnji put ažurirano :
27/01/2026
narkotizirajuće djelovanje pomoću kurarina   Cisatracurium besylate  
injekcija
Stabilizacija rješenja Stabilnost mješavine Stabilizacijski faktor Kompatibilnosti način davanja lijeka Bibliografija pdf
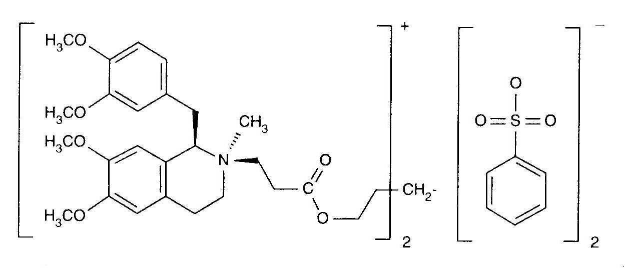
   Kemijska struktura  

Nekomercijalni   Nekomercijalni     

Zaštićeni nazivi su indikativni i sastav ekscipijensa može biti različit ovisno o državi i laboratorijima

Bensitrak Meksiko
Besilato de cisatracurio
Cicuryl Meksiko
Cirium Kolumbija
Cis Atracure
Cisatracurio Brazil, Čile, Ekvador, Italija, Kolumbija, Peru, Španjolska
Cisatracurium Belgija, Finska, Francuska, Irska, Kanada, Madžarska, Njemačka, Tunis, Velika Britanija
Nimbex Austrija, Belgija, Čile, Danska, Egipat, Ekvador, Finska, Francuska, Grčka, Iran, Irska, Italija, Kanada, Luksemburg, Madžarska, Malezija, Meksiko, Nizozemska, Njemačka, Norveška, Peru, Poljska, Portugal, S A D, Saudijska Arabija, Slovenija, Španjolska, Švedska, Tunis, Turska, Ujedinjeni Arapski Emirati, Velika Britanija, Venecuela
Nimbium Brazil, Kolumbija
Kompatibilnosti   injekcija   Kompatibilnosti : Cisatracurium besylate              
Ovdje su prikazane kompatibilnosti ili nekompatibilnosti s tipom nekompatibilnosti (taloženje, promjena boje, modifikacija emulzije itd.) u ovom slučaju. Kompatibilnosti prikazane ovdje najčešće su fizikalne dok se kemijska stabilnost molekule rijetko procjenjuje. Procjena ovih mikstura je proučavana kako bi se razmotrila mogućnost primjene lijeka putem Y-mjesta. Ovi se podaci ne smiju koristiti za pripremu mikstura unaprijed u vrećicama ili štrcaljkama. Ova vrsta informacije se može pronaći u odjeljku « stabilnost u miksturama ».
molekula sredstvo za rastapanje Bibliografija
Neposredne oborine inkompatibilan
injekcija Cisatracurium besylate 5 mg/ml
injekcija Aciclovir sodium 7 mg/ml
glukoza 5% 299
Kompatibilan
injekcija Cisatracurium besylate 0.1 & 2 mg/ml
injekcija Aciclovir sodium 7 mg/ml
glukoza 5% 299
Kompatibilan
injekcija Cisatracurium besylate
injekcija Alfentanil hydrochloride
3601
Kompatibilan
injekcija Cisatracurium besylate 0.1 >> 5 mg/ml
injekcija Alfentanil hydrochloride 125 µg/ml
glukoza 5% 299
Neposredne oborine inkompatibilan
injekcija Cisatracurium besylate 1,2 mg/ml
injekcija Alprostadil 20 µg/ml
glukoza 5% 4651
Neposredne oborine inkompatibilan
injekcija Cisatracurium besylate 1,2 mg/ml
injekcija Alprostadil 20 µg/ml
glukoza 5% 4491
Kompatibilan
injekcija Cisatracurium besylate 0.1 >> 5 mg/ml
injekcija Amikacin sulfate 5 mg/ml
glukoza 5% 299
Kompatibilan
injekcija Cisatracurium besylate 0.1 & 2 mg/ml
injekcija Aminophylline 2.5 mg/ml
glukoza 5% 299
Zamućenost u jednom satu inkompatibilan
injekcija Cisatracurium besylate 5 mg/ml
injekcija Aminophylline 2.5 mg/ml
glukoza 5% 299
Kompatibilan
injekcija Cisatracurium besylate
injekcija Amiodarone hydrochloride
3464
Kompatibilan
injekcija Cisatracurium besylate 5 mg/ml
injekcija Amiodarone hydrochloride 15 mg/ml
glukoza 5% 3823
Kompatibilan
injekcija Cisatracurium besylate 0.1 mg/ml
injekcija Amphotericin B 0.6 mg/ml
glukoza 5% 299
Neposredne oborine inkompatibilan
injekcija Cisatracurium besylate 2 & 5 mg/ml
injekcija Amphotericin B 0.6 mg/ml
glukoza 5% 299
Neposredne oborine inkompatibilan
injekcija Cisatracurium besylate 2 mg/ml
injekcija Amphotericin B cholesteryl sulfate complex 0.83 mg/ml
glukoza 5% 921
Zamućenost u jednom satu inkompatibilan
injekcija Cisatracurium besylate 5 mg/ml
injekcija Ampicillin sodium 20 mg/ml
natrijumkorid 0,9% 299
Kompatibilan
injekcija Cisatracurium besylate 0.1 & 2 mg/ml
injekcija Ampicillin sodium 20 mg/ml
glukoza 5% 299
Zamućenost u jednom satu inkompatibilan
injekcija Cisatracurium besylate 5 mg/ml
injekcija Ampicillin sodium 20 mg/ml
glukoza 5% 299
Neposredna zamućenost inkompatibilan
injekcija Cisatracurium besylate 5 mg/ml
injekcija Ampicillin sodium - sulbactam sodium 20/10 mg/ml
glukoza 5% 299
Neposredna zamućenost inkompatibilan
injekcija Cisatracurium besylate 5 mg/ml
injekcija Ampicillin sodium - sulbactam sodium 20/10 mg/ml
natrijumkorid 0,9% 299
Kompatibilan
injekcija Cisatracurium besylate 0.1 & 2 mg/ml
injekcija Ampicillin sodium - sulbactam sodium 20/10 mg/ml
glukoza 5% 299
Kompatibilan
injekcija Cisatracurium besylate 0.1 >> 5 mg/ml
injekcija Aztreonam 40 mg/ml
glukoza 5% 299
Kompatibilan
injekcija Cisatracurium besylate 0.1 >> 5 mg/ml
injekcija Bumetanide 0.04 mg/ml
glukoza 5% 299
Kompatibilan
injekcija Cisatracurium besylate 0.1 >> 5 mg/ml
injekcija Buprenorphine hydrochloride 0.04 mg/ml
glukoza 5% 299
Kompatibilan
injekcija Cisatracurium besylate 0.1 >> 5 mg/ml
injekcija Butorphanol tartrate 0.04 mg/ml
glukoza 5% 299
Kompatibilan
injekcija Cisatracurium besylate 0.1 >> 5 mg/ml
injekcija Calcium gluconate 40 mg/ml
glukoza 5% 299
Kompatibilan
injekcija Cisatracurium besylate 1 mg/ml
injekcija Calcium gluconate 20 mg/ml
natrijumkorid 0,9% 3429
Neposredna zamućenost inkompatibilan
injekcija Cisatracurium besylate 2 & 5 mg/ml
injekcija Cefazolin sodium 20 mg/ml
glukoza 5% 299
Kompatibilan
injekcija Cisatracurium besylate 0.1 mg/ml
injekcija Cefazolin sodium 20 mg/ml
glukoza 5% 299
Kompatibilan
injekcija Cisatracurium besylate 0.4 mg/ml
injekcija Cefiderocol sulfate tosylate 20 mg/mL
glukoza 5% 4528
Kompatibilan
injekcija Cisatracurium besylate 0.4 mg/ml
injekcija Cefiderocol sulfate tosylate 20 mg/mL
natrijumkorid 0,9% 4528
Neposredne oborine inkompatibilan
injekcija Cisatracurium besylate 0.1 >> 5 mg/ml
injekcija Cefoperazone sodium 40 mg/ml
glukoza 5% 299
Kompatibilan
injekcija Cisatracurium besylate 0.1 >> 5 mg/ml
injekcija Cefoperazone sodium 40 mg/ml
glukoza 5% 299
Zamućenost u 4 sata inkompatibilan
injekcija Cisatracurium besylate 2 mg/ml
injekcija Cefotaxime sodium 20 mg/ml
glukoza 5% 299
Neposredna zamućenost inkompatibilan
injekcija Cisatracurium besylate 5 mg/ml
injekcija Cefotaxime sodium 20 mg/ml
glukoza 5% 299
Kompatibilan
injekcija Cisatracurium besylate 0.1 mg/ml
injekcija Cefotaxime sodium 20 mg/ml
glukoza 5% 299
Kompatibilan
injekcija Cisatracurium besylate 0.1 mg/ml
injekcija Cefoxitin sodium 20 mg/ml
glukoza 5% 299
Neposredna zamućenost inkompatibilan
injekcija Cisatracurium besylate 2 & 5 mg/ml
injekcija Cefoxitin sodium 20 mg/ml
glukoza 5% 299
Kompatibilan
injekcija Cisatracurium besylate 0,5 mg/ml
injekcija Ceftaroline fosamil 2,22 mg/ml
Ringer laktat 3249
Kompatibilan
injekcija Cisatracurium besylate 0,5 mg/ml
injekcija Ceftaroline fosamil 2,22 mg/ml
glukoza 5% 3249
Kompatibilan
injekcija Cisatracurium besylate 0,5 mg/ml
injekcija Ceftaroline fosamil 2,22 mg/ml
natrijumkorid 0,9% 3249
Neposredna zamućenost inkompatibilan
injekcija Cisatracurium besylate 5 mg/ml
injekcija Ceftazidime 40 mg/ml
glukoza 5% 299
Kompatibilan
injekcija Cisatracurium besylate 0.1 & 2 mg/ml
injekcija Ceftazidime 40 mg/ml
glukoza 5% 299
Kompatibilan
injekcija Cisatracurium besylate 0.1 & 2 mg/ml
injekcija Ceftizoxime sodium 20 mg/ml
glukoza 5% 299
Zamućenost u jednom satu inkompatibilan
injekcija Cisatracurium besylate 5 mg/ml
injekcija Ceftizoxime sodium 20 mg/ml
glukoza 5% 299
Neposredne oborine inkompatibilan
injekcija Cisatracurium besylate 0.5 mg/ml
injekcija Ceftobiprole medocaril sodium 2 mg/ml
natrijumkorid 0,9% 2269
Neposredne oborine inkompatibilan
injekcija Cisatracurium besylate 0.5 mg/ml
injekcija Ceftobiprole medocaril sodium 2 mg/ml
Ringer laktat 2269
Neposredne oborine inkompatibilan
injekcija Cisatracurium besylate 0.5 mg/ml
injekcija Ceftobiprole medocaril sodium 2 mg/ml
glukoza 5% 2269
Neodređena nespojivost inkompatibilan
injekcija Cisatracurium besylate
injekcija Ceftobiprole medocaril sodium
4650
Kompatibilan
injekcija Cisatracurium besylate 0.4 mg/ml
injekcija Ceftolozane / tazobactam 10/5 mg/ml
glukoza 5% 3828
Kompatibilan
injekcija Cisatracurium besylate 0.4 mg/ml
injekcija Ceftolozane / tazobactam 10/5 mg/ml
natrijumkorid 0,9% 3828
Kompatibilan
injekcija Cisatracurium besylate 0.1 >> 5 mg/ml
injekcija Ceftriaxone disodium 20 mg/ml
glukoza 5% 299
Neposredne oborine inkompatibilan
injekcija Cisatracurium besylate 2 & 5 mg/ml
injekcija Cefuroxime sodium 30 mg/ml
glukoza 5% 299
Kompatibilan
injekcija Cisatracurium besylate 0.1 >> 5 mg/ml
injekcija Chlorpromazine hydrochloride 2 mg/ml
glukoza 5% 299
Kompatibilan
injekcija Cisatracurium besylate 0.1 >> 5 mg/ml
injekcija Cimetidine hydrochloride 12 mg/ml
glukoza 5% 299
Kompatibilan
injekcija Cisatracurium besylate 0.1 >> 5 mg/ml
injekcija Ciprofloxacin lactate 1 mg/ml
glukoza 5% 299
Kompatibilan
injekcija Cisatracurium besylate 0.1 >> 5 mg/ml
injekcija Clindamycin phosphate 10 mg/ml
glukoza 5% 299
Kompatibilan
injekcija Cisatracurium besylate 5 mg/ml
injekcija Clonazepam 0.2 mg/ml
natrijumkorid 0,9% 3823
Kompatibilan
injekcija Cisatracurium besylate 5 mg/ml
injekcija Clonidine hydrochloride 0.012 mg/ml
natrijumkorid 0,9% 3823
Neposredna zamućenost inkompatibilan
injekcija Cisatracurium besylate 2 & 5 mg/ml
injekcija Co-trimoxazole 0,8/4 mg/ml
glukoza 5% 299
Kompatibilan
injekcija Cisatracurium besylate 0.1 mg/ml
injekcija Co-trimoxazole 0.8/4 mg/ml
glukoza 5% 299
Kompatibilan
injekcija Cisatracurium besylate 0.5 mg/ml
injekcija Dexmedetomidine 4 µg/ml
natrijumkorid 0,9% 1712
Kompatibilan
injekcija Cisatracurium besylate 0.1 >> 5 mg/ml
injekcija Diazepam 0.25 mg/ml
glukoza 5% 299
Neposredne oborine inkompatibilan
injekcija Cisatracurium besylate 0.1 >> 5 mg/ml
injekcija Diazepam 5 mg/ml
glukoza 5% 299
Neodređena nespojivost inkompatibilan
injekcija Cisatracurium besylate 5 mg/ml
injekcija Diclofenac 3 mg/ml
natrijumkorid 0,9% 3823
Kompatibilan
injekcija Cisatracurium besylate 0.1 >> 5 mg/ml
injekcija Digoxin 250 µg/ml
glukoza 5% 299
Kompatibilan
injekcija Cisatracurium besylate 1 mg/ml
injekcija Diltiazem hydrochloride 1 mg/ml
natrijumkorid 0,9% 3429
Kompatibilan
injekcija Cisatracurium besylate 0.1 >> 5 mg/ml
injekcija Diphenhydramine hydrochloride 2 mg/ml
glukoza 5% 299
Kompatibilan
injekcija Cisatracurium besylate 0.1 >> 5 mg/ml
injekcija Dobutamine hydrochloride 4 mg/ml
glukoza 5% 299
Kompatibilan
injekcija Cisatracurium besylate 0.1 >> 5 mg/ml
injekcija Dopamine hydrochloride 3.2 mg/ml
glukoza 5% 299
Kompatibilan
injekcija Cisatracurium besylate 0.1 >> 5 mg/ml
injekcija Doxycycline hyclate 1 mg/ml
glukoza 5% 299
Kompatibilan
injekcija Cisatracurium besylate
injekcija Droperidol
3601
Kompatibilan
injekcija Cisatracurium besylate 0.1 >> 5 mg/ml
injekcija Droperidol 2.5 mg/ml
glukoza 5% 299
Kompatibilan
injekcija Cisatracurium besylate 0.1 >> 5 mg/ml
injekcija Enalaprilate 0.1 mg/ml
glukoza 5% 299
Kompatibilan
injekcija Cisatracurium besylate 0.1 >> 5 mg/ml
injekcija Epinephrine hydrochloride 50 µg/ml
glukoza 5% 299
Kompatibilan
injekcija Cisatracurium besylate 0,4 mg/ml
injekcija Eravacycline 0,6 mg/ml
natrijumkorid 0,9% 4434
Kompatibilan
injekcija Cisatracurium besylate 0.1 >> 5 mg/ml
injekcija Esmolol hydrochloride 10 mg/ml
glukoza 5% 299
Kompatibilan
injekcija Cisatracurium besylate 0.4 mg/ml
injekcija Fosfomycin 30 mg/ml
glukoza 5% 4055
Neposredna zamućenost inkompatibilan
injekcija Cisatracurium besylate 5 mg/ml
NaHCO3 3823
Kompatibilan
injekcija Cisatracurium besylate 5 mg/ml
injekcija Esmolol hydrochloride 10 mg/ml
natrijumkorid 0,9% 3823
Kompatibilan
injekcija Cisatracurium besylate 2 mg/ml
injekcija Esmolol hydrochloride 10 mg/ml
natrijumkorid 0,9% 3879
Kompatibilan
injekcija Cisatracurium besylate 1 mg/ml
injekcija Esomeprazole sodium 0,4 mg/ml
natrijumkorid 0,9% 3429
Kompatibilan
injekcija Cisatracurium besylate 0.1 >> 5 mg/ml
injekcija Famotidine 2 mg/ml
glukoza 5% 299
Kompatibilan
injekcija Cisatracurium besylate 0.5 mg/ml
injekcija Fenoldopam mesylate 80 µg/ml
natrijumkorid 0,9% 1803
Kompatibilan
injekcija Cisatracurium besylate 0.1 >> 5 mg/ml
injekcija Fentanyl citrate 12.5 µg/ml
glukoza 5% 299
Kompatibilan
injekcija Cisatracurium besylate
injekcija Fentanyl citrate
3601
Kompatibilan
injekcija Cisatracurium besylate 0.1 >> 5 mg/ml
injekcija Fluconazole 2 mg/ml
glukoza 5% 299
Kompatibilan
injekcija Cisatracurium besylate 0.4 mg/ml
injekcija Fosfomycin 30 mg/ml
natrijumkorid 0,9% 4055
Neodređena nespojivost inkompatibilan
injekcija Cisatracurium besylate
injekcija Furosemide
3465
Neposredna zamućenost inkompatibilan
injekcija Cisatracurium besylate 2 & 5 mg/ml
NaHCO3 299
Neposredne oborine inkompatibilan
injekcija Cisatracurium besylate 5 mg/ml
injekcija Furosemide 10 mg/ml
natrijumkorid 0,9% 3463
Kompatibilan
injekcija Cisatracurium besylate 0.1 mg/ml
injekcija Furosemide 3 mg/ml
glukoza 5% 299
Neodređena nespojivost inkompatibilan
injekcija Cisatracurium besylate 5 mg/ml
injekcija Furosemide 10 mg/ml
natrijumkorid 0,9% 3823
Neposredne oborine inkompatibilan
injekcija Cisatracurium besylate 5 mg/ml
injekcija Ganciclovir sodium 20 mg/ml
glukoza 5% 299
Neodređena nespojivost inkompatibilan
injekcija Cisatracurium besylate
NaHCO3 3466
Kompatibilan
injekcija Cisatracurium besylate 0.1 & 2 mg/ml
injekcija Ganciclovir sodium 20 mg/ml
glukoza 5% 299
Neodređena nespojivost inkompatibilan
injekcija Cisatracurium besylate
NaHCO3 3601
Neposredne oborine inkompatibilan
injekcija Cisatracurium besylate 2 & 5 mg/ml
injekcija Furosemide 3 mg/ml
glukoza 5% 299
Neodređena nespojivost inkompatibilan
injekcija Cisatracurium besylate 5 mg/ml
injekcija Furosemide 10 mg/ml
nijedan 3134
Kompatibilan
injekcija Cisatracurium besylate 0.1 >> 5 mg/ml
injekcija Gentamicin sulfate 5 mg/ml
glukoza 5% 299
Kompatibilan
injekcija Cisatracurium besylate 0.1 >> 5 mg/ml
injekcija Haloperidol lactate 0.2 mg/ml
glukoza 5% 299
Neposredne oborine inkompatibilan
injekcija Cisatracurium besylate 5 mg/ml
injekcija Heparin sodium 100 UI/ml
glukoza 5% 299
Nestabilnost emulzije nakon 4 sati inkompatibilan
injekcija Cisatracurium besylate 2 mg/ml
Parenteralna prehrana (lipidima) 4507
Neodređena nespojivost inkompatibilan
injekcija Cisatracurium besylate
Ringer laktat 3601
Promjena boje inkompatibilan
injekcija Cisatracurium besylate 5 mg/ml
injekcija Heparin sodium 500 UI/ml
natrijumkorid 0,9% 3463
Kompatibilan
injekcija Cisatracurium besylate 0.1 & 2 mg/ml
injekcija Heparin sodium 100 UI/ml
glukoza 5% 299
Neodređena nespojivost inkompatibilan
injekcija Cisatracurium besylate 5 mg/ml
injekcija Heparin sodium 500 UI/ml
natrijumkorid 0,9% 3823
Kompatibilan
injekcija Cisatracurium besylate
glukoza 5% 3601
Neodređena nespojivost inkompatibilan
injekcija Cisatracurium besylate
injekcija Heparin sodium
3540
Kompatibilan
injekcija Cisatracurium besylate 0.5 mg/ml
injekcija Hetastarch 60 mg/ml
Specifična otapala 1721
Kompatibilan
injekcija Cisatracurium besylate 0.1 >> 5 mg/ml
injekcija Hydrocortisone sodium succinate 1 mg/ml
glukoza 5% 299
Kompatibilan
injekcija Cisatracurium besylate 2 mg/ml
injekcija Hydrocortisone sodium succinate 1 mg/ml
natrijumkorid 0,9% 4465
Kompatibilan
injekcija Cisatracurium besylate 0.1 >> 5 mg/ml
injekcija Hydromorphone hydrochloride 0.5 mg/ml
glukoza 5% 299
Kompatibilan
injekcija Cisatracurium besylate 0.1 >> 5 mg/ml
injekcija Hydroxyzine dihydrochloride 2 mg/ml
glukoza 5% 299
Kompatibilan
injekcija Cisatracurium besylate 0.1 >> 5 mg/ml
injekcija Imipenem - cilastatin sodium 10 mg/ml
glukoza 5% 299
Kompatibilan
injekcija Cisatracurium besylate 0,4 mg/ml
injekcija Imipenem-Cilastatin / Relebactam 5 mg/ml
natrijumkorid 0,9% 4433
Kompatibilan
injekcija Cisatracurium besylate 0,4 mg/ml
injekcija Imipenem-Cilastatin / Relebactam 5 mg/ml
glukoza 5% 4433
Kompatibilan
injekcija Cisatracurium besylate 1 mg/ml
injekcija Insulin 1 UI/ml
natrijumkorid 0,9% 3429
Kompatibilan
injekcija Cisatracurium besylate 5 mg/ml
injekcija Insulin 2 UI/ml
natrijumkorid 0,9% 3823
Kompatibilan
injekcija Cisatracurium besylate 0.4 mg/ml
injekcija Isavuconazonium sulfate 1.5 mg/ml
natrijumkorid 0,9% 3829
Kompatibilan
injekcija Cisatracurium besylate 0.4 mg/ml
injekcija Isavuconazonium sulfate 1.5 mg/ml
glukoza 5% 3829
Kompatibilan
injekcija Cisatracurium besylate 0.1 >> 5 mg/ml
injekcija Isoprenaline hydrochloride 0.02 mg/ml
glukoza 5% 299
Kompatibilan
injekcija Cisatracurium besylate 0.1 >> 5 mg/ml
injekcija Ketorolac tromethamine 15 mg/ml
glukoza 5% 299
Neodređena nespojivost inkompatibilan
injekcija Cisatracurium besylate
injekcija Ketorolac tromethamine
3601
Kompatibilan
injekcija Cisatracurium besylate 0.1 >> 5 mg/ml
injekcija Lorazepam 0.5 mg/ml
glukoza 5% 299
Kompatibilan
injekcija Cisatracurium besylate 0.1 >> 5 mg/ml
injekcija Magnesium sulfate 100 mg/ml
glukoza 5% 299
Kompatibilan
injekcija Cisatracurium besylate 0.1 >> 5 mg/ml
injekcija Mannitol 150 mg/ml
glukoza 5% 299
Kompatibilan
injekcija Cisatracurium besylate
natrijumkorid 0,9% 3601
Kompatibilan
injekcija Cisatracurium besylate 2 mg/ml
injekcija Labetalol hydrochloride 5 mg/ml
natrijumkorid 0,9% 3879
Kompatibilan
injekcija Cisatracurium besylate 1 mg/ml
injekcija Levetiracetam 5 mg/ml
natrijumkorid 0,9% 4569
Kompatibilan
injekcija Cisatracurium besylate 0.1 >> 5 mg/ml
injekcija Lidocaine hydrochloride 8 mg/ml
glukoza 5% 299
Kompatibilan
injekcija Cisatracurium besylate 2 mg/ml
injekcija Linezolid 2 mg/ml
nijedan 1925
Kompatibilan
injekcija Cisatracurium besylate 0.1 mg/ml
injekcija Methylprednisolone sodium succinate 5 mg/ml
glukoza 5% 299
Neposredna zamućenost inkompatibilan
injekcija Cisatracurium besylate 2 & 5 mg/ml
injekcija Methylprednisolone sodium succinate 5 mg/ml
glukoza 5% 299
Kompatibilan
injekcija Cisatracurium besylate 0.1 >> 5 mg/ml
injekcija Metoclopramide hydrochloride 5 mg/ml
glukoza 5% 299
Kompatibilan
injekcija Cisatracurium besylate 2 mg/ml
injekcija Metoprolol tartrate 0.4 mg/ml
natrijumkorid 0,9% 3879
Kompatibilan
injekcija Cisatracurium besylate 0.1 >> 5 mg/ml
injekcija Metronidazole 5 mg/ml
glukoza 5% 299
Neposredne oborine inkompatibilan
injekcija Cisatracurium besylate 0.5 mg/ml
injekcija Micafungin 1.5 mg/ml
natrijumkorid 0,9% 2108
Kompatibilan
injekcija Cisatracurium besylate
injekcija Midazolam hydrochloride
3601
Kompatibilan
injekcija Cisatracurium besylate 5 mg/ml
injekcija Midazolam hydrochloride 2.1 mg/ml
natrijumkorid 0,9% 3823
Kompatibilan
injekcija Cisatracurium besylate 0.1 >> 5 mg/ml
injekcija Midazolam hydrochloride 1 mg/ml
glukoza 5% 299
Kompatibilan
injekcija Cisatracurium besylate 0.1 >> 5 mg/ml
injekcija Minocycline hydrochloride 0.2 mg/ml
glukoza 5% 299
Kompatibilan
injekcija Cisatracurium besylate 0.1 >> 5 mg/ml
injekcija Morphine sulfate 1 mg/ml
glukoza 5% 299
Kompatibilan
injekcija Cisatracurium besylate 0.1 >> 5 mg/ml
injekcija Nalbuphine hydrochloride 10 mg/ml
glukoza 5% 299
Kompatibilan
injekcija Cisatracurium besylate 0.1 >> 5 mg/ml
injekcija Netilmicin sulfate 5 mg/ml
glukoza 5% 299
Kompatibilan
injekcija Cisatracurium besylate 1 mg/ml
injekcija Nicardipine hydrochloride 0,5 mg/ml
natrijumkorid 0,9% 3429
Kompatibilan
injekcija Cisatracurium besylate 5 mg/ml
injekcija Nimodipine 0.2 mg/ml
natrijumkorid 0,9% 3823
Kompatibilan
injekcija Cisatracurium besylate 0.1 >> 5 mg/ml
injekcija Nitroglycerin 0.4 mg/ml
glukoza 5% 299
Kompatibilan
injekcija Cisatracurium besylate 5 mg/ml
injekcija Nitroglycerin 0.2 mg/ml
glukoza 5% 3823
Neposredne oborine inkompatibilan
injekcija Cisatracurium besylate 2 & 5 mg/ml
injekcija Nitroprusside sodium 2 mg/ml
glukoza 5% 299
Kompatibilan
injekcija Cisatracurium besylate 0.1 mg/ml
injekcija Nitroprusside sodium 2 mg/ml
glukoza 5% 299
Kompatibilan
injekcija Cisatracurium besylate 0.1 >> 5 mg/ml
injekcija Norepinephrine bitartrate 0.12 mg/ml
glukoza 5% 299
Kompatibilan
injekcija Cisatracurium besylate 0.1 >> 5 mg/ml
injekcija Ofloxacin 4 mg/ml
glukoza 5% 299
Kompatibilan
injekcija Cisatracurium besylate 5 mg/ml
injekcija Omeprazole sodium 1.6 mg/ml
natrijumkorid 0,9% 3823
Kompatibilan
injekcija Cisatracurium besylate 0.1 >> 5 mg/ml
injekcija Ondansetron hydrochloride 1 mg/ml
glukoza 5% 299
Kompatibilan
injekcija Cisatracurium besylate 0,5 mg/ml
injekcija Palonosetron hydrochloride 50 µg/ml
glukoza 5% 2227
Zamućenost u jednom satu inkompatibilan
injekcija Cisatracurium besylate 1 mg/ml
injekcija Pantoprazole sodium 0,8 mg/ml
natrijumkorid 0,9% 3429
Kompatibilan
injekcija Cisatracurium besylate 0.1 >> 5 mg/ml
injekcija Pethidine hydrochloride 4 mg/ml
glukoza 5% 299
Kompatibilan
injekcija Cisatracurium besylate 0.1 >> 5 mg/ml
injekcija Phenylephrine hydrochloride 1 mg/ml
glukoza 5% 299
Kompatibilan
injekcija Cisatracurium besylate 0.1 mg/ml
injekcija Piperacillin sodium 40 mg/ml
glukoza 5% 299
Neposredna zamućenost inkompatibilan
injekcija Cisatracurium besylate 2 & 5 mg/ml
injekcija Piperacillin sodium 40 mg/ml
glukoza 5% 299
Kompatibilan
injekcija Cisatracurium besylate 0.1 & 2 mg/ml
injekcija Piperacillin sodium / tazobactam 40/5 mg/ml
glukoza 5% 299
Padavine nakon 4 sata inkompatibilan
injekcija Cisatracurium besylate 5 mg/ml
injekcija Piperacillin sodium / tazobactam 40/5 mg/ml
glukoza 5% 299
Kompatibilan
injekcija Cisatracurium besylate 0.4 mg/ml
injekcija Plazomicin sulfate 24 mg/ml
natrijumkorid 0,9% 4145
Kompatibilan
injekcija Cisatracurium besylate 0.1 >> 5 mg/ml
injekcija Potassium chloride 100 mEq/l
glukoza 5% 299
Kompatibilan
injekcija Cisatracurium besylate 5 mg/ml
injekcija Potassium chloride 10 mEq/l
natrijumkorid 0,9% 3823
Kompatibilan
injekcija Cisatracurium besylate 0.1 >> 5 mg/ml
injekcija Procainamide hydrochloride 10 mg/ml
glukoza 5% 299
Kompatibilan
injekcija Cisatracurium besylate 0.1 >> 5 mg/ml
injekcija Prochlorperazine edysilate 0.5 mg/ml
glukoza 5% 299
Kompatibilan
injekcija Cisatracurium besylate 0.1 >> 5 mg/ml
injekcija Promethazine hydrochloride 2 mg/ml
glukoza 5% 299
Neodređena nespojivost inkompatibilan
injekcija Cisatracurium besylate
injekcija Propofol
3601
Kompatibilan
injekcija Cisatracurium besylate 0.1 >> 5 mg/ml
injekcija Ranitidine hydrochloride 2 mg/ml
glukoza 5% 299
Kompatibilan
injekcija Cisatracurium besylate 5 mg/ml
injekcija Remifentanil hydrochloride 100 µg/ml
natrijumkorid 0,9% 3823
Kompatibilan
injekcija Cisatracurium besylate 2 mg/ml
injekcija Remifentanil hydrochloride 25 & 250 µg/ml
natrijumkorid 0,9% 59
Neodređena nespojivost inkompatibilan
injekcija Cisatracurium besylate
injekcija Sodium bicarbonate
3466
Zamućenost u jednom satu inkompatibilan
injekcija Cisatracurium besylate 2 mg/ml
injekcija Sodium bicarbonate 84 mg/ml
glukoza 5% 299
Neodređena nespojivost inkompatibilan
injekcija Cisatracurium besylate
injekcija Sodium bicarbonate
3601
Kompatibilan
injekcija Cisatracurium besylate 0.1 mg/ml
injekcija Sodium bicarbonate 84 mg/ml
glukoza 5% 299
Neposredna zamućenost inkompatibilan
injekcija Cisatracurium besylate 5 mg/ml
injekcija Sodium bicarbonate 84 mg/ml
glukoza 5% 299
Zamućenost za 2 sata inkompatibilan
injekcija Cisatracurium besylate 5 mg/ml
injekcija Sodium bicarbonate 84 mg/ml
nijedan 3212
Kompatibilan
injekcija Cisatracurium besylate 0.1 >> 5 mg/ml
injekcija Sufentanil citrate 0.0125 mg/ml
glukoza 5% 299
Kompatibilan
injekcija Cisatracurium besylate
injekcija Sufentanil citrate
3601
Kompatibilan
injekcija Cisatracurium besylate 0,4 mg/ml
injekcija Sulbactam/durlobactam 15/15 mg/ml
natrijumkorid 0,9% 4801
Kompatibilan
injekcija Cisatracurium besylate 0.4 mg/ml
injekcija Tedizolid phosphate 0.8 mg/ml
natrijumkorid 0,9% 3827
Kompatibilan
injekcija Cisatracurium besylate 0.1 >> 5 mg/ml
injekcija Theophylline 3.2 mg/ml
glukoza 5% 299
Neodređena nespojivost inkompatibilan
injekcija Cisatracurium besylate
injekcija Thiopental sodium
3601
Kompatibilan
injekcija Cisatracurium besylate 0.1 mg/ml
injekcija Thiopental sodium 25 mg/ml
glukoza 5% 299
Neodređena nespojivost inkompatibilan
injekcija Cisatracurium besylate 5 mg/ml
injekcija Thiopental sodium 60 mg/ml
natrijumkorid 0,9% 3823
Neposredne oborine inkompatibilan
injekcija Cisatracurium besylate 2 & 5 mg/ml
injekcija Thiopental sodium 25 mg/ml
glukoza 5% 299
Kompatibilan
injekcija Cisatracurium besylate 0.1 & 2 mg/ml
injekcija Ticarcillin / clavulanic acid 30 mg/ml
glukoza 5% 299
Neposredna zamućenost inkompatibilan
injekcija Cisatracurium besylate 5 mg/ml
injekcija Ticarcillin / clavulanic acid 30 mg/ml
glukoza 5% 299
Kompatibilan
injekcija Cisatracurium besylate 0.1 >> 5 mg/ml
injekcija Tobramycin sulfate 5 mg/ml
glukoza 5% 299
Kompatibilan
injekcija Cisatracurium besylate 0.1 >> 5 mg/ml
injekcija Vancomycin hydrochloride 10 mg/ml
glukoza 5% 299
Kompatibilan
injekcija Cisatracurium besylate 1 mg/ml
injekcija Vasopressin 1 UI/ml
natrijumkorid 0,9% 3429
Kompatibilan
injekcija Cisatracurium besylate 0.1 >> 5 mg/ml
injekcija Zidovudine 4 mg/ml
glukoza 5% 299

  Mentions Légales