zadnja posodobitev :
27/04/2026
Kurarimetik   Cisatracurium besylate  
Brizgalka
Stabilnost raztopine Stabilnost mešanice Faktorji, ki vplivajo na stabilnost Kompatibilnost način aplikacije Viri pdf
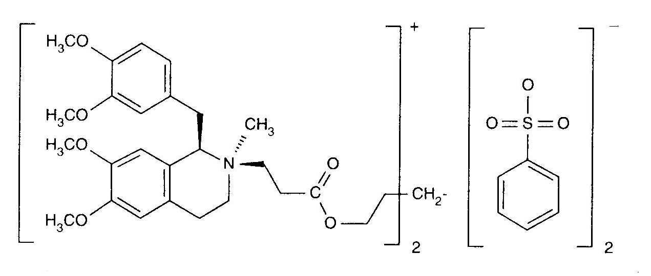
   Kemična formula  

Lastniško ime   Lastniško ime     

Sestava pomožnih snovi je med paralelami lahko različna

Bensitrak Mehika
Besilato de cisatracurio
Cicuryl Mehika
Cirium Kolumbija
Cis Atracure
Cisatracurio Brazilija, Čile, Ekvador, Italija, Kolumbija, Peru, Španija
Cisatracurium Belgija, Finska, Francija, Irska, Kanada, Madžarska, Nemčija, Tunizija, Velika Britanija
Nimbex Avstrija, Belgija, Čile, Danska, Egipt, Ekvador, Finska, Francija, Grčija, Iran, Irska, Italija, Kanada, Luksemburg, Madžarska, Malezija, Mehika, Nemčija, Nizozemska, Norveška, Peru, Poljska, Portugalska, Savdska Arabija, Slovenija, Španija, Švedska, Tunizija, Turčija, Velika Britanija, Venezuela, Združene države Amerike, Združeni arabski emirati
Nimbium Brazilija, Kolumbija
Kompatibilnost   Brizgalka   Kompatibilnost : Cisatracurium besylate              
Ta zaslon prikazuje združljivost ali nezdružljivost s, v tem primeru, vrsto nezdružljivosti (padavine, sprememba barve, sprememba emulzije itd.). Tu prikazane združljivosti so večinoma samo fizične, pri čemer se kemijska stabilnost vsake molekule redko ocenjuje. Vrednotenje teh zmesi so preučevali, da bi preučili možnost pacientovega dajanja na mestu Y. Teh podatkov ni mogoče uporabiti za pripravo mešanic v vrečkah ali brizgah. Ta vrsta informacij je na voljo na zaslonu "Obstojnost v mešanici".
Sestava Topilo Viri
Takoj padavine Nezdružljivo
Brizgalka Cisatracurium besylate 5 mg/ml
Brizgalka Aciclovir sodium 7 mg/ml
Glukoza 5% 299
Združljivo
Brizgalka Cisatracurium besylate 0.1 & 2 mg/ml
Brizgalka Aciclovir sodium 7 mg/ml
Glukoza 5% 299
Združljivo
Brizgalka Cisatracurium besylate
Brizgalka Alfentanil hydrochloride
3601
Združljivo
Brizgalka Cisatracurium besylate 0.1 >> 5 mg/ml
Brizgalka Alfentanil hydrochloride 125 µg/ml
Glukoza 5% 299
Takoj padavine Nezdružljivo
Brizgalka Cisatracurium besylate 1,2 mg/ml
Brizgalka Alprostadil 20 µg/ml
Glukoza 5% 4651
Takoj padavine Nezdružljivo
Brizgalka Cisatracurium besylate 1,2 mg/ml
Brizgalka Alprostadil 20 µg/ml
Glukoza 5% 4491
Združljivo
Brizgalka Cisatracurium besylate 0.1 >> 5 mg/ml
Brizgalka Amikacin sulfate 5 mg/ml
Glukoza 5% 299
Združljivo
Brizgalka Cisatracurium besylate 0.1 & 2 mg/ml
Brizgalka Aminophylline 2.5 mg/ml
Glukoza 5% 299
Motnost v eni uri Nezdružljivo
Brizgalka Cisatracurium besylate 5 mg/ml
Brizgalka Aminophylline 2.5 mg/ml
Glukoza 5% 299
Združljivo
Brizgalka Cisatracurium besylate
Brizgalka Amiodarone hydrochloride
3464
Združljivo
Brizgalka Cisatracurium besylate 5 mg/ml
Brizgalka Amiodarone hydrochloride 15 mg/ml
Glukoza 5% 3823
Združljivo
Brizgalka Cisatracurium besylate 0.1 mg/ml
Brizgalka Amphotericin B 0.6 mg/ml
Glukoza 5% 299
Takoj padavine Nezdružljivo
Brizgalka Cisatracurium besylate 2 & 5 mg/ml
Brizgalka Amphotericin B 0.6 mg/ml
Glukoza 5% 299
Takoj padavine Nezdružljivo
Brizgalka Cisatracurium besylate 2 mg/ml
Brizgalka Amphotericin B cholesteryl sulfate complex 0.83 mg/ml
Glukoza 5% 921
Motnost v eni uri Nezdružljivo
Brizgalka Cisatracurium besylate 5 mg/ml
Brizgalka Ampicillin sodium 20 mg/ml
Natrijev klorid 0,9% 299
Združljivo
Brizgalka Cisatracurium besylate 0.1 & 2 mg/ml
Brizgalka Ampicillin sodium 20 mg/ml
Glukoza 5% 299
Motnost v eni uri Nezdružljivo
Brizgalka Cisatracurium besylate 5 mg/ml
Brizgalka Ampicillin sodium 20 mg/ml
Glukoza 5% 299
Takojšnja motnost Nezdružljivo
Brizgalka Cisatracurium besylate 5 mg/ml
Brizgalka Ampicillin sodium - sulbactam sodium 20/10 mg/ml
Glukoza 5% 299
Takojšnja motnost Nezdružljivo
Brizgalka Cisatracurium besylate 5 mg/ml
Brizgalka Ampicillin sodium - sulbactam sodium 20/10 mg/ml
Natrijev klorid 0,9% 299
Združljivo
Brizgalka Cisatracurium besylate 0.1 & 2 mg/ml
Brizgalka Ampicillin sodium - sulbactam sodium 20/10 mg/ml
Glukoza 5% 299
Združljivo
Brizgalka Cisatracurium besylate 0.1 >> 5 mg/ml
Brizgalka Aztreonam 40 mg/ml
Glukoza 5% 299
Združljivo
Brizgalka Cisatracurium besylate 0.1 >> 5 mg/ml
Brizgalka Bumetanide 0.04 mg/ml
Glukoza 5% 299
Združljivo
Brizgalka Cisatracurium besylate 0.1 >> 5 mg/ml
Brizgalka Buprenorphine hydrochloride 0.04 mg/ml
Glukoza 5% 299
Združljivo
Brizgalka Cisatracurium besylate 0.1 >> 5 mg/ml
Brizgalka Butorphanol tartrate 0.04 mg/ml
Glukoza 5% 299
Združljivo
Brizgalka Cisatracurium besylate 0.1 >> 5 mg/ml
Brizgalka Calcium gluconate 40 mg/ml
Glukoza 5% 299
Združljivo
Brizgalka Cisatracurium besylate 1 mg/ml
Brizgalka Calcium gluconate 20 mg/ml
Natrijev klorid 0,9% 3429
Takojšnja motnost Nezdružljivo
Brizgalka Cisatracurium besylate 2 & 5 mg/ml
Brizgalka Cefazolin sodium 20 mg/ml
Glukoza 5% 299
Združljivo
Brizgalka Cisatracurium besylate 0.1 mg/ml
Brizgalka Cefazolin sodium 20 mg/ml
Glukoza 5% 299
Združljivo
Brizgalka Cisatracurium besylate 0.4 mg/ml
Brizgalka Cefiderocol sulfate tosylate 20 mg/mL
Glukoza 5% 4528
Združljivo
Brizgalka Cisatracurium besylate 0.4 mg/ml
Brizgalka Cefiderocol sulfate tosylate 20 mg/mL
Natrijev klorid 0,9% 4528
Takoj padavine Nezdružljivo
Brizgalka Cisatracurium besylate 0.1 >> 5 mg/ml
Brizgalka Cefoperazone sodium 40 mg/ml
Glukoza 5% 299
Združljivo
Brizgalka Cisatracurium besylate 0.1 >> 5 mg/ml
Brizgalka Cefoperazone sodium 40 mg/ml
Glukoza 5% 299
Motnost v 4 urah Nezdružljivo
Brizgalka Cisatracurium besylate 2 mg/ml
Brizgalka Cefotaxime sodium 20 mg/ml
Glukoza 5% 299
Takojšnja motnost Nezdružljivo
Brizgalka Cisatracurium besylate 5 mg/ml
Brizgalka Cefotaxime sodium 20 mg/ml
Glukoza 5% 299
Združljivo
Brizgalka Cisatracurium besylate 0.1 mg/ml
Brizgalka Cefotaxime sodium 20 mg/ml
Glukoza 5% 299
Združljivo
Brizgalka Cisatracurium besylate 0.1 mg/ml
Brizgalka Cefoxitin sodium 20 mg/ml
Glukoza 5% 299
Takojšnja motnost Nezdružljivo
Brizgalka Cisatracurium besylate 2 & 5 mg/ml
Brizgalka Cefoxitin sodium 20 mg/ml
Glukoza 5% 299
Združljivo
Brizgalka Cisatracurium besylate 0,5 mg/ml
Brizgalka Ceftaroline fosamil 2,22 mg/ml
Ringerjev laktat 3249
Združljivo
Brizgalka Cisatracurium besylate 0,5 mg/ml
Brizgalka Ceftaroline fosamil 2,22 mg/ml
Glukoza 5% 3249
Združljivo
Brizgalka Cisatracurium besylate 0,5 mg/ml
Brizgalka Ceftaroline fosamil 2,22 mg/ml
Natrijev klorid 0,9% 3249
Takojšnja motnost Nezdružljivo
Brizgalka Cisatracurium besylate 5 mg/ml
Brizgalka Ceftazidime 40 mg/ml
Glukoza 5% 299
Združljivo
Brizgalka Cisatracurium besylate 0.1 & 2 mg/ml
Brizgalka Ceftazidime 40 mg/ml
Glukoza 5% 299
Združljivo
Brizgalka Cisatracurium besylate 0.1 & 2 mg/ml
Brizgalka Ceftizoxime sodium 20 mg/ml
Glukoza 5% 299
Motnost v eni uri Nezdružljivo
Brizgalka Cisatracurium besylate 5 mg/ml
Brizgalka Ceftizoxime sodium 20 mg/ml
Glukoza 5% 299
Takoj padavine Nezdružljivo
Brizgalka Cisatracurium besylate 0.5 mg/ml
Brizgalka Ceftobiprole medocaril sodium 2 mg/ml
Natrijev klorid 0,9% 2269
Takoj padavine Nezdružljivo
Brizgalka Cisatracurium besylate 0.5 mg/ml
Brizgalka Ceftobiprole medocaril sodium 2 mg/ml
Ringerjev laktat 2269
Takoj padavine Nezdružljivo
Brizgalka Cisatracurium besylate 0.5 mg/ml
Brizgalka Ceftobiprole medocaril sodium 2 mg/ml
Glukoza 5% 2269
Nedoločena nezdružljivost Nezdružljivo
Brizgalka Cisatracurium besylate
Brizgalka Ceftobiprole medocaril sodium
4650
Združljivo
Brizgalka Cisatracurium besylate 0.4 mg/ml
Brizgalka Ceftolozane / tazobactam 10/5 mg/ml
Glukoza 5% 3828
Združljivo
Brizgalka Cisatracurium besylate 0.4 mg/ml
Brizgalka Ceftolozane / tazobactam 10/5 mg/ml
Natrijev klorid 0,9% 3828
Združljivo
Brizgalka Cisatracurium besylate 0.1 >> 5 mg/ml
Brizgalka Ceftriaxone disodium 20 mg/ml
Glukoza 5% 299
Takoj padavine Nezdružljivo
Brizgalka Cisatracurium besylate 2 & 5 mg/ml
Brizgalka Cefuroxime sodium 30 mg/ml
Glukoza 5% 299
Združljivo
Brizgalka Cisatracurium besylate 0.1 >> 5 mg/ml
Brizgalka Chlorpromazine hydrochloride 2 mg/ml
Glukoza 5% 299
Združljivo
Brizgalka Cisatracurium besylate 0.1 >> 5 mg/ml
Brizgalka Cimetidine hydrochloride 12 mg/ml
Glukoza 5% 299
Združljivo
Brizgalka Cisatracurium besylate 0.1 >> 5 mg/ml
Brizgalka Ciprofloxacin lactate 1 mg/ml
Glukoza 5% 299
Združljivo
Brizgalka Cisatracurium besylate 0.1 >> 5 mg/ml
Brizgalka Clindamycin phosphate 10 mg/ml
Glukoza 5% 299
Združljivo
Brizgalka Cisatracurium besylate 5 mg/ml
Brizgalka Clonazepam 0.2 mg/ml
Natrijev klorid 0,9% 3823
Združljivo
Brizgalka Cisatracurium besylate 5 mg/ml
Brizgalka Clonidine hydrochloride 0.012 mg/ml
Natrijev klorid 0,9% 3823
Takojšnja motnost Nezdružljivo
Brizgalka Cisatracurium besylate 2 & 5 mg/ml
Brizgalka Co-trimoxazole 0,8/4 mg/ml
Glukoza 5% 299
Združljivo
Brizgalka Cisatracurium besylate 0.1 mg/ml
Brizgalka Co-trimoxazole 0.8/4 mg/ml
Glukoza 5% 299
Združljivo
Brizgalka Cisatracurium besylate 0.5 mg/ml
Brizgalka Dexmedetomidine 4 µg/ml
Natrijev klorid 0,9% 1712
Združljivo
Brizgalka Cisatracurium besylate 0.1 >> 5 mg/ml
Brizgalka Diazepam 0.25 mg/ml
Glukoza 5% 299
Takoj padavine Nezdružljivo
Brizgalka Cisatracurium besylate 0.1 >> 5 mg/ml
Brizgalka Diazepam 5 mg/ml
Glukoza 5% 299
Nedoločena nezdružljivost Nezdružljivo
Brizgalka Cisatracurium besylate 5 mg/ml
Brizgalka Diclofenac 3 mg/ml
Natrijev klorid 0,9% 3823
Združljivo
Brizgalka Cisatracurium besylate 0.1 >> 5 mg/ml
Brizgalka Digoxin 250 µg/ml
Glukoza 5% 299
Združljivo
Brizgalka Cisatracurium besylate 1 mg/ml
Brizgalka Diltiazem hydrochloride 1 mg/ml
Natrijev klorid 0,9% 3429
Združljivo
Brizgalka Cisatracurium besylate 0.1 >> 5 mg/ml
Brizgalka Diphenhydramine hydrochloride 2 mg/ml
Glukoza 5% 299
Združljivo
Brizgalka Cisatracurium besylate 0.1 >> 5 mg/ml
Brizgalka Dobutamine hydrochloride 4 mg/ml
Glukoza 5% 299
Združljivo
Brizgalka Cisatracurium besylate 0.1 >> 5 mg/ml
Brizgalka Dopamine hydrochloride 3.2 mg/ml
Glukoza 5% 299
Združljivo
Brizgalka Cisatracurium besylate 0.1 >> 5 mg/ml
Brizgalka Doxycycline hyclate 1 mg/ml
Glukoza 5% 299
Združljivo
Brizgalka Cisatracurium besylate
Brizgalka Droperidol
3601
Združljivo
Brizgalka Cisatracurium besylate 0.1 >> 5 mg/ml
Brizgalka Droperidol 2.5 mg/ml
Glukoza 5% 299
Združljivo
Brizgalka Cisatracurium besylate 0.1 >> 5 mg/ml
Brizgalka Enalaprilate 0.1 mg/ml
Glukoza 5% 299
Združljivo
Brizgalka Cisatracurium besylate 0.1 >> 5 mg/ml
Brizgalka Epinephrine hydrochloride 50 µg/ml
Glukoza 5% 299
Združljivo
Brizgalka Cisatracurium besylate 0,4 mg/ml
Brizgalka Eravacycline 0,6 mg/ml
Natrijev klorid 0,9% 4434
Združljivo
Brizgalka Cisatracurium besylate 0.1 >> 5 mg/ml
Brizgalka Esmolol hydrochloride 10 mg/ml
Glukoza 5% 299
Združljivo
Brizgalka Cisatracurium besylate 0.4 mg/ml
Brizgalka Fosfomycin 30 mg/ml
Glukoza 5% 4055
Takojšnja motnost Nezdružljivo
Brizgalka Cisatracurium besylate 5 mg/ml
NaHCO3 3823
Združljivo
Brizgalka Cisatracurium besylate 5 mg/ml
Brizgalka Esmolol hydrochloride 10 mg/ml
Natrijev klorid 0,9% 3823
Združljivo
Brizgalka Cisatracurium besylate 2 mg/ml
Brizgalka Esmolol hydrochloride 10 mg/ml
Natrijev klorid 0,9% 3879
Združljivo
Brizgalka Cisatracurium besylate 1 mg/ml
Brizgalka Esomeprazole sodium 0,4 mg/ml
Natrijev klorid 0,9% 3429
Združljivo
Brizgalka Cisatracurium besylate 0.1 >> 5 mg/ml
Brizgalka Famotidine 2 mg/ml
Glukoza 5% 299
Združljivo
Brizgalka Cisatracurium besylate 0.5 mg/ml
Brizgalka Fenoldopam mesylate 80 µg/ml
Natrijev klorid 0,9% 1803
Združljivo
Brizgalka Cisatracurium besylate 0.1 >> 5 mg/ml
Brizgalka Fentanyl citrate 12.5 µg/ml
Glukoza 5% 299
Združljivo
Brizgalka Cisatracurium besylate
Brizgalka Fentanyl citrate
3601
Združljivo
Brizgalka Cisatracurium besylate 0.1 >> 5 mg/ml
Brizgalka Fluconazole 2 mg/ml
Glukoza 5% 299
Združljivo
Brizgalka Cisatracurium besylate 0.4 mg/ml
Brizgalka Fosfomycin 30 mg/ml
Natrijev klorid 0,9% 4055
Nedoločena nezdružljivost Nezdružljivo
Brizgalka Cisatracurium besylate
Brizgalka Furosemide
3465
Takojšnja motnost Nezdružljivo
Brizgalka Cisatracurium besylate 2 & 5 mg/ml
NaHCO3 299
Takoj padavine Nezdružljivo
Brizgalka Cisatracurium besylate 5 mg/ml
Brizgalka Furosemide 10 mg/ml
Natrijev klorid 0,9% 3463
Združljivo
Brizgalka Cisatracurium besylate 0.1 mg/ml
Brizgalka Furosemide 3 mg/ml
Glukoza 5% 299
Nedoločena nezdružljivost Nezdružljivo
Brizgalka Cisatracurium besylate 5 mg/ml
Brizgalka Furosemide 10 mg/ml
Natrijev klorid 0,9% 3823
Takoj padavine Nezdružljivo
Brizgalka Cisatracurium besylate 5 mg/ml
Brizgalka Ganciclovir sodium 20 mg/ml
Glukoza 5% 299
Nedoločena nezdružljivost Nezdružljivo
Brizgalka Cisatracurium besylate
NaHCO3 3466
Združljivo
Brizgalka Cisatracurium besylate 0.1 & 2 mg/ml
Brizgalka Ganciclovir sodium 20 mg/ml
Glukoza 5% 299
Nedoločena nezdružljivost Nezdružljivo
Brizgalka Cisatracurium besylate
NaHCO3 3601
Takoj padavine Nezdružljivo
Brizgalka Cisatracurium besylate 2 & 5 mg/ml
Brizgalka Furosemide 3 mg/ml
Glukoza 5% 299
Nedoločena nezdružljivost Nezdružljivo
Brizgalka Cisatracurium besylate 5 mg/ml
Brizgalka Furosemide 10 mg/ml
Nobeden 3134
Združljivo
Brizgalka Cisatracurium besylate 0.1 >> 5 mg/ml
Brizgalka Gentamicin sulfate 5 mg/ml
Glukoza 5% 299
Združljivo
Brizgalka Cisatracurium besylate 0.1 >> 5 mg/ml
Brizgalka Haloperidol lactate 0.2 mg/ml
Glukoza 5% 299
Takoj padavine Nezdružljivo
Brizgalka Cisatracurium besylate 5 mg/ml
Brizgalka Heparin sodium 100 UI/ml
Glukoza 5% 299
Nestabilnost emulzije po 4 urah Nezdružljivo
Brizgalka Cisatracurium besylate 2 mg/ml
Parenteralna prehrana (z lipidi) 4507
Nedoločena nezdružljivost Nezdružljivo
Brizgalka Cisatracurium besylate
Ringerjev laktat 3601
Sprememba barve Nezdružljivo
Brizgalka Cisatracurium besylate 5 mg/ml
Brizgalka Heparin sodium 500 UI/ml
Natrijev klorid 0,9% 3463
Združljivo
Brizgalka Cisatracurium besylate 0.1 & 2 mg/ml
Brizgalka Heparin sodium 100 UI/ml
Glukoza 5% 299
Nedoločena nezdružljivost Nezdružljivo
Brizgalka Cisatracurium besylate 5 mg/ml
Brizgalka Heparin sodium 500 UI/ml
Natrijev klorid 0,9% 3823
Združljivo
Brizgalka Cisatracurium besylate
Glukoza 5% 3601
Nedoločena nezdružljivost Nezdružljivo
Brizgalka Cisatracurium besylate
Brizgalka Heparin sodium
3540
Združljivo
Brizgalka Cisatracurium besylate 0.5 mg/ml
Brizgalka Hetastarch 60 mg/ml
Posebni topila 1721
Združljivo
Brizgalka Cisatracurium besylate 0.1 >> 5 mg/ml
Brizgalka Hydrocortisone sodium succinate 1 mg/ml
Glukoza 5% 299
Združljivo
Brizgalka Cisatracurium besylate 2 mg/ml
Brizgalka Hydrocortisone sodium succinate 1 mg/ml
Natrijev klorid 0,9% 4465
Združljivo
Brizgalka Cisatracurium besylate 0.1 >> 5 mg/ml
Brizgalka Hydromorphone hydrochloride 0.5 mg/ml
Glukoza 5% 299
Združljivo
Brizgalka Cisatracurium besylate 0.1 >> 5 mg/ml
Brizgalka Hydroxyzine dihydrochloride 2 mg/ml
Glukoza 5% 299
Združljivo
Brizgalka Cisatracurium besylate 0.1 >> 5 mg/ml
Brizgalka Imipenem - cilastatin sodium 10 mg/ml
Glukoza 5% 299
Združljivo
Brizgalka Cisatracurium besylate 0,4 mg/ml
Brizgalka Imipenem-Cilastatin / Relebactam 5 mg/ml
Natrijev klorid 0,9% 4433
Združljivo
Brizgalka Cisatracurium besylate 0,4 mg/ml
Brizgalka Imipenem-Cilastatin / Relebactam 5 mg/ml
Glukoza 5% 4433
Združljivo
Brizgalka Cisatracurium besylate 1 mg/ml
Brizgalka Insulin 1 UI/ml
Natrijev klorid 0,9% 3429
Združljivo
Brizgalka Cisatracurium besylate 5 mg/ml
Brizgalka Insulin 2 UI/ml
Natrijev klorid 0,9% 3823
Združljivo
Brizgalka Cisatracurium besylate 0.4 mg/ml
Brizgalka Isavuconazonium sulfate 1.5 mg/ml
Natrijev klorid 0,9% 3829
Združljivo
Brizgalka Cisatracurium besylate 0.4 mg/ml
Brizgalka Isavuconazonium sulfate 1.5 mg/ml
Glukoza 5% 3829
Združljivo
Brizgalka Cisatracurium besylate 0.1 >> 5 mg/ml
Brizgalka Isoprenaline hydrochloride 0.02 mg/ml
Glukoza 5% 299
Združljivo
Brizgalka Cisatracurium besylate 0.1 >> 5 mg/ml
Brizgalka Ketorolac tromethamine 15 mg/ml
Glukoza 5% 299
Nedoločena nezdružljivost Nezdružljivo
Brizgalka Cisatracurium besylate
Brizgalka Ketorolac tromethamine
3601
Združljivo
Brizgalka Cisatracurium besylate 0.1 >> 5 mg/ml
Brizgalka Lorazepam 0.5 mg/ml
Glukoza 5% 299
Združljivo
Brizgalka Cisatracurium besylate 0.1 >> 5 mg/ml
Brizgalka Magnesium sulfate 100 mg/ml
Glukoza 5% 299
Združljivo
Brizgalka Cisatracurium besylate 0.1 >> 5 mg/ml
Brizgalka Mannitol 150 mg/ml
Glukoza 5% 299
Združljivo
Brizgalka Cisatracurium besylate
Natrijev klorid 0,9% 3601
Združljivo
Brizgalka Cisatracurium besylate 2 mg/ml
Brizgalka Labetalol hydrochloride 5 mg/ml
Natrijev klorid 0,9% 3879
Združljivo
Brizgalka Cisatracurium besylate 1 mg/ml
Brizgalka Levetiracetam 5 mg/ml
Natrijev klorid 0,9% 4569
Združljivo
Brizgalka Cisatracurium besylate 0.1 >> 5 mg/ml
Brizgalka Lidocaine hydrochloride 8 mg/ml
Glukoza 5% 299
Združljivo
Brizgalka Cisatracurium besylate 2 mg/ml
Brizgalka Linezolid 2 mg/ml
Nobeden 1925
Združljivo
Brizgalka Cisatracurium besylate 0.1 mg/ml
Brizgalka Methylprednisolone sodium succinate 5 mg/ml
Glukoza 5% 299
Takojšnja motnost Nezdružljivo
Brizgalka Cisatracurium besylate 2 & 5 mg/ml
Brizgalka Methylprednisolone sodium succinate 5 mg/ml
Glukoza 5% 299
Združljivo
Brizgalka Cisatracurium besylate 0.1 >> 5 mg/ml
Brizgalka Metoclopramide hydrochloride 5 mg/ml
Glukoza 5% 299
Združljivo
Brizgalka Cisatracurium besylate 2 mg/ml
Brizgalka Metoprolol tartrate 0.4 mg/ml
Natrijev klorid 0,9% 3879
Združljivo
Brizgalka Cisatracurium besylate 0.1 >> 5 mg/ml
Brizgalka Metronidazole 5 mg/ml
Glukoza 5% 299
Takoj padavine Nezdružljivo
Brizgalka Cisatracurium besylate 0.5 mg/ml
Brizgalka Micafungin 1.5 mg/ml
Natrijev klorid 0,9% 2108
Združljivo
Brizgalka Cisatracurium besylate
Brizgalka Midazolam hydrochloride
3601
Združljivo
Brizgalka Cisatracurium besylate 5 mg/ml
Brizgalka Midazolam hydrochloride 2.1 mg/ml
Natrijev klorid 0,9% 3823
Združljivo
Brizgalka Cisatracurium besylate 0.1 >> 5 mg/ml
Brizgalka Midazolam hydrochloride 1 mg/ml
Glukoza 5% 299
Združljivo
Brizgalka Cisatracurium besylate 0.1 >> 5 mg/ml
Brizgalka Minocycline hydrochloride 0.2 mg/ml
Glukoza 5% 299
Združljivo
Brizgalka Cisatracurium besylate 0.1 >> 5 mg/ml
Brizgalka Morphine sulfate 1 mg/ml
Glukoza 5% 299
Združljivo
Brizgalka Cisatracurium besylate 0.1 >> 5 mg/ml
Brizgalka Nalbuphine hydrochloride 10 mg/ml
Glukoza 5% 299
Združljivo
Brizgalka Cisatracurium besylate 0.1 >> 5 mg/ml
Brizgalka Netilmicin sulfate 5 mg/ml
Glukoza 5% 299
Združljivo
Brizgalka Cisatracurium besylate 1 mg/ml
Brizgalka Nicardipine hydrochloride 0,5 mg/ml
Natrijev klorid 0,9% 3429
Združljivo
Brizgalka Cisatracurium besylate 5 mg/ml
Brizgalka Nimodipine 0.2 mg/ml
Natrijev klorid 0,9% 3823
Združljivo
Brizgalka Cisatracurium besylate 0.1 >> 5 mg/ml
Brizgalka Nitroglycerin 0.4 mg/ml
Glukoza 5% 299
Združljivo
Brizgalka Cisatracurium besylate 5 mg/ml
Brizgalka Nitroglycerin 0.2 mg/ml
Glukoza 5% 3823
Takoj padavine Nezdružljivo
Brizgalka Cisatracurium besylate 2 & 5 mg/ml
Brizgalka Nitroprusside sodium 2 mg/ml
Glukoza 5% 299
Združljivo
Brizgalka Cisatracurium besylate 0.1 mg/ml
Brizgalka Nitroprusside sodium 2 mg/ml
Glukoza 5% 299
Združljivo
Brizgalka Cisatracurium besylate 0.1 >> 5 mg/ml
Brizgalka Norepinephrine bitartrate 0.12 mg/ml
Glukoza 5% 299
Združljivo
Brizgalka Cisatracurium besylate 0.1 >> 5 mg/ml
Brizgalka Ofloxacin 4 mg/ml
Glukoza 5% 299
Združljivo
Brizgalka Cisatracurium besylate 5 mg/ml
Brizgalka Omeprazole sodium 1.6 mg/ml
Natrijev klorid 0,9% 3823
Združljivo
Brizgalka Cisatracurium besylate 0.1 >> 5 mg/ml
Brizgalka Ondansetron hydrochloride 1 mg/ml
Glukoza 5% 299
Združljivo
Brizgalka Cisatracurium besylate 0,5 mg/ml
Brizgalka Palonosetron hydrochloride 50 µg/ml
Glukoza 5% 2227
Motnost v eni uri Nezdružljivo
Brizgalka Cisatracurium besylate 1 mg/ml
Brizgalka Pantoprazole sodium 0,8 mg/ml
Natrijev klorid 0,9% 3429
Združljivo
Brizgalka Cisatracurium besylate 0.1 >> 5 mg/ml
Brizgalka Pethidine hydrochloride 4 mg/ml
Glukoza 5% 299
Združljivo
Brizgalka Cisatracurium besylate 0.1 >> 5 mg/ml
Brizgalka Phenylephrine hydrochloride 1 mg/ml
Glukoza 5% 299
Združljivo
Brizgalka Cisatracurium besylate 0.1 mg/ml
Brizgalka Piperacillin sodium 40 mg/ml
Glukoza 5% 299
Takojšnja motnost Nezdružljivo
Brizgalka Cisatracurium besylate 2 & 5 mg/ml
Brizgalka Piperacillin sodium 40 mg/ml
Glukoza 5% 299
Združljivo
Brizgalka Cisatracurium besylate 0.1 & 2 mg/ml
Brizgalka Piperacillin sodium / tazobactam 40/5 mg/ml
Glukoza 5% 299
Padavine po 4 urah Nezdružljivo
Brizgalka Cisatracurium besylate 5 mg/ml
Brizgalka Piperacillin sodium / tazobactam 40/5 mg/ml
Glukoza 5% 299
Združljivo
Brizgalka Cisatracurium besylate 0.4 mg/ml
Brizgalka Plazomicin sulfate 24 mg/ml
Natrijev klorid 0,9% 4145
Združljivo
Brizgalka Cisatracurium besylate 0.1 >> 5 mg/ml
Brizgalka Potassium chloride 100 mEq/l
Glukoza 5% 299
Združljivo
Brizgalka Cisatracurium besylate 5 mg/ml
Brizgalka Potassium chloride 10 mEq/l
Natrijev klorid 0,9% 3823
Združljivo
Brizgalka Cisatracurium besylate 0.1 >> 5 mg/ml
Brizgalka Procainamide hydrochloride 10 mg/ml
Glukoza 5% 299
Združljivo
Brizgalka Cisatracurium besylate 0.1 >> 5 mg/ml
Brizgalka Prochlorperazine edysilate 0.5 mg/ml
Glukoza 5% 299
Združljivo
Brizgalka Cisatracurium besylate 0.1 >> 5 mg/ml
Brizgalka Promethazine hydrochloride 2 mg/ml
Glukoza 5% 299
Nedoločena nezdružljivost Nezdružljivo
Brizgalka Cisatracurium besylate
Brizgalka Propofol
3601
Združljivo
Brizgalka Cisatracurium besylate 0.1 >> 5 mg/ml
Brizgalka Ranitidine hydrochloride 2 mg/ml
Glukoza 5% 299
Združljivo
Brizgalka Cisatracurium besylate 5 mg/ml
Brizgalka Remifentanil hydrochloride 100 µg/ml
Natrijev klorid 0,9% 3823
Združljivo
Brizgalka Cisatracurium besylate 2 mg/ml
Brizgalka Remifentanil hydrochloride 25 & 250 µg/ml
Natrijev klorid 0,9% 59
Nedoločena nezdružljivost Nezdružljivo
Brizgalka Cisatracurium besylate
Brizgalka Sodium bicarbonate
3466
Motnost v eni uri Nezdružljivo
Brizgalka Cisatracurium besylate 2 mg/ml
Brizgalka Sodium bicarbonate 84 mg/ml
Glukoza 5% 299
Nedoločena nezdružljivost Nezdružljivo
Brizgalka Cisatracurium besylate
Brizgalka Sodium bicarbonate
3601
Združljivo
Brizgalka Cisatracurium besylate 0.1 mg/ml
Brizgalka Sodium bicarbonate 84 mg/ml
Glukoza 5% 299
Takojšnja motnost Nezdružljivo
Brizgalka Cisatracurium besylate 5 mg/ml
Brizgalka Sodium bicarbonate 84 mg/ml
Glukoza 5% 299
Motnost v 2 urah Nezdružljivo
Brizgalka Cisatracurium besylate 5 mg/ml
Brizgalka Sodium bicarbonate 84 mg/ml
Nobeden 3212
Združljivo
Brizgalka Cisatracurium besylate 0.1 >> 5 mg/ml
Brizgalka Sufentanil citrate 0.0125 mg/ml
Glukoza 5% 299
Združljivo
Brizgalka Cisatracurium besylate
Brizgalka Sufentanil citrate
3601
Združljivo
Brizgalka Cisatracurium besylate 0,4 mg/ml
Brizgalka Sulbactam/durlobactam 15/15 mg/ml
Natrijev klorid 0,9% 4801
Združljivo
Brizgalka Cisatracurium besylate 0.4 mg/ml
Brizgalka Tedizolid phosphate 0.8 mg/ml
Natrijev klorid 0,9% 3827
Združljivo
Brizgalka Cisatracurium besylate 0.1 >> 5 mg/ml
Brizgalka Theophylline 3.2 mg/ml
Glukoza 5% 299
Nedoločena nezdružljivost Nezdružljivo
Brizgalka Cisatracurium besylate
Brizgalka Thiopental sodium
3601
Združljivo
Brizgalka Cisatracurium besylate 0.1 mg/ml
Brizgalka Thiopental sodium 25 mg/ml
Glukoza 5% 299
Nedoločena nezdružljivost Nezdružljivo
Brizgalka Cisatracurium besylate 5 mg/ml
Brizgalka Thiopental sodium 60 mg/ml
Natrijev klorid 0,9% 3823
Takoj padavine Nezdružljivo
Brizgalka Cisatracurium besylate 2 & 5 mg/ml
Brizgalka Thiopental sodium 25 mg/ml
Glukoza 5% 299
Združljivo
Brizgalka Cisatracurium besylate 0.1 & 2 mg/ml
Brizgalka Ticarcillin / clavulanic acid 30 mg/ml
Glukoza 5% 299
Takojšnja motnost Nezdružljivo
Brizgalka Cisatracurium besylate 5 mg/ml
Brizgalka Ticarcillin / clavulanic acid 30 mg/ml
Glukoza 5% 299
Združljivo
Brizgalka Cisatracurium besylate 0.1 >> 5 mg/ml
Brizgalka Tobramycin sulfate 5 mg/ml
Glukoza 5% 299
Združljivo
Brizgalka Cisatracurium besylate 0.1 >> 5 mg/ml
Brizgalka Vancomycin hydrochloride 10 mg/ml
Glukoza 5% 299
Združljivo
Brizgalka Cisatracurium besylate 1 mg/ml
Brizgalka Vasopressin 1 UI/ml
Natrijev klorid 0,9% 3429
Združljivo
Brizgalka Cisatracurium besylate 0.1 >> 5 mg/ml
Brizgalka Zidovudine 4 mg/ml
Glukoza 5% 299

  Mentions Légales