Seneste opdatering :
27/01/2026
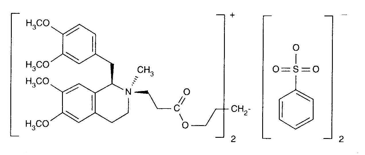
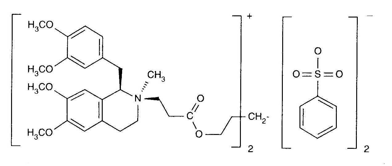
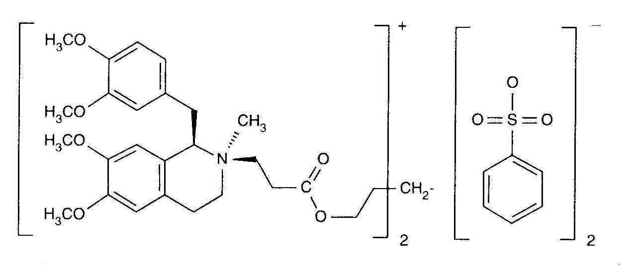
Curamimetisk   Cisatracurium besylate  
Injektion
Stabilitet i (vandige) opløsninger Stabilitet i blandinger Faktorer der påvirker stabiliteten Kompatibilitet Administrationsvej Bibliografi pdf
   Kemisk struktur  

Handelsnavn   Handelsnavn     

Handel navne er vejledende og hjælpestoffer sammensætning kan være forskellig afhængigt af landet og laboratorier

Bensitrak Mexico
Besilato de cisatracurio
Cicuryl Mexico
Cirium Colombia
Cis Atracure
Cisatracurio Brasilien, Chile, Colombia, Ecuador, Italien, Marokko, Spanien
Cisatracurium Belgien, Canada, Finland, Frankrig, Irland, Storbritanien, Tunesien, Tyskland, Ungarn
Nimbex Belgien, Canada, Chile, Danmark, Ecuador, Finland, Forenede Arabiske Emirater, Frankrig, Grækenland, Holland, Iran, Irland, Italien, Luxemborg, Malaysia, Marokko, Mexico, Norge, Polen, Portugal, Saudi-Arabien, Slovenien, Spanien, Storbritanien, Sverige, Tunesien, Tyrkiet, Tyskland, Ungarn, USA, Venezuela, Ægypten, Østrig
Nimbium Brasilien, Colombia
Kompatibilitet   Injektion   Kompatibilitet : Cisatracurium besylate              
Denne skærm viser kompatibilitet eller uforenelighed med, i dette tilfælde typen af inkompatibilitet (udfældning, farveændring, ændring af en emulsion osv.). Kompatibiliteterne vist her er for det meste kun fysiske, idet den kemiske stabilitet af hvert molekyle sjældent vurderes. Evalueringen af disse blandinger blev undersøgt for at overveje muligheden for Y-sted-administration til patienten. Disse data kan ikke bruges til at fremstille blandinger på forhånd i poser eller sprøjter. Denne type information findes på skærmen "Stabilitet i blanding".
Molekyle Opløsningsmiddel Bibliografi
Umiddelbar nedbør Uforenelig
Injektion Cisatracurium besylate 5 mg/ml
Injektion Aciclovir sodium 7 mg/ml
5 % Glukose 299
Kompatibel
Injektion Cisatracurium besylate 0.1 & 2 mg/ml
Injektion Aciclovir sodium 7 mg/ml
5 % Glukose 299
Kompatibel
Injektion Cisatracurium besylate
Injektion Alfentanil hydrochloride
3601
Kompatibel
Injektion Cisatracurium besylate 0.1 >> 5 mg/ml
Injektion Alfentanil hydrochloride 125 µg/ml
5 % Glukose 299
Umiddelbar nedbør Uforenelig
Injektion Cisatracurium besylate 1,2 mg/ml
Injektion Alprostadil 20 µg/ml
5 % Glukose 4651
Umiddelbar nedbør Uforenelig
Injektion Cisatracurium besylate 1,2 mg/ml
Injektion Alprostadil 20 µg/ml
5 % Glukose 4491
Kompatibel
Injektion Cisatracurium besylate 0.1 >> 5 mg/ml
Injektion Amikacin sulfate 5 mg/ml
5 % Glukose 299
Kompatibel
Injektion Cisatracurium besylate 0.1 & 2 mg/ml
Injektion Aminophylline 2.5 mg/ml
5 % Glukose 299
Turbiditet på en time Uforenelig
Injektion Cisatracurium besylate 5 mg/ml
Injektion Aminophylline 2.5 mg/ml
5 % Glukose 299
Kompatibel
Injektion Cisatracurium besylate
Injektion Amiodarone hydrochloride
3464
Kompatibel
Injektion Cisatracurium besylate 5 mg/ml
Injektion Amiodarone hydrochloride 15 mg/ml
5 % Glukose 3823
Kompatibel
Injektion Cisatracurium besylate 0.1 mg/ml
Injektion Amphotericin B 0.6 mg/ml
5 % Glukose 299
Umiddelbar nedbør Uforenelig
Injektion Cisatracurium besylate 2 & 5 mg/ml
Injektion Amphotericin B 0.6 mg/ml
5 % Glukose 299
Umiddelbar nedbør Uforenelig
Injektion Cisatracurium besylate 2 mg/ml
Injektion Amphotericin B cholesteryl sulfate complex 0.83 mg/ml
5 % Glukose 921
Turbiditet på en time Uforenelig
Injektion Cisatracurium besylate 5 mg/ml
Injektion Ampicillin sodium 20 mg/ml
0,9 % Natriumklorid 299
Kompatibel
Injektion Cisatracurium besylate 0.1 & 2 mg/ml
Injektion Ampicillin sodium 20 mg/ml
5 % Glukose 299
Turbiditet på en time Uforenelig
Injektion Cisatracurium besylate 5 mg/ml
Injektion Ampicillin sodium 20 mg/ml
5 % Glukose 299
Umiddelbar turbiditet Uforenelig
Injektion Cisatracurium besylate 5 mg/ml
Injektion Ampicillin sodium - sulbactam sodium 20/10 mg/ml
5 % Glukose 299
Umiddelbar turbiditet Uforenelig
Injektion Cisatracurium besylate 5 mg/ml
Injektion Ampicillin sodium - sulbactam sodium 20/10 mg/ml
0,9 % Natriumklorid 299
Kompatibel
Injektion Cisatracurium besylate 0.1 & 2 mg/ml
Injektion Ampicillin sodium - sulbactam sodium 20/10 mg/ml
5 % Glukose 299
Kompatibel
Injektion Cisatracurium besylate 0.1 >> 5 mg/ml
Injektion Aztreonam 40 mg/ml
5 % Glukose 299
Kompatibel
Injektion Cisatracurium besylate 0.1 >> 5 mg/ml
Injektion Bumetanide 0.04 mg/ml
5 % Glukose 299
Kompatibel
Injektion Cisatracurium besylate 0.1 >> 5 mg/ml
Injektion Buprenorphine hydrochloride 0.04 mg/ml
5 % Glukose 299
Kompatibel
Injektion Cisatracurium besylate 0.1 >> 5 mg/ml
Injektion Butorphanol tartrate 0.04 mg/ml
5 % Glukose 299
Kompatibel
Injektion Cisatracurium besylate 0.1 >> 5 mg/ml
Injektion Calcium gluconate 40 mg/ml
5 % Glukose 299
Kompatibel
Injektion Cisatracurium besylate 1 mg/ml
Injektion Calcium gluconate 20 mg/ml
0,9 % Natriumklorid 3429
Umiddelbar turbiditet Uforenelig
Injektion Cisatracurium besylate 2 & 5 mg/ml
Injektion Cefazolin sodium 20 mg/ml
5 % Glukose 299
Kompatibel
Injektion Cisatracurium besylate 0.1 mg/ml
Injektion Cefazolin sodium 20 mg/ml
5 % Glukose 299
Kompatibel
Injektion Cisatracurium besylate 0.4 mg/ml
Injektion Cefiderocol sulfate tosylate 20 mg/mL
5 % Glukose 4528
Kompatibel
Injektion Cisatracurium besylate 0.4 mg/ml
Injektion Cefiderocol sulfate tosylate 20 mg/mL
0,9 % Natriumklorid 4528
Umiddelbar nedbør Uforenelig
Injektion Cisatracurium besylate 0.1 >> 5 mg/ml
Injektion Cefoperazone sodium 40 mg/ml
5 % Glukose 299
Kompatibel
Injektion Cisatracurium besylate 0.1 >> 5 mg/ml
Injektion Cefoperazone sodium 40 mg/ml
5 % Glukose 299
Turbiditet på 4 timer Uforenelig
Injektion Cisatracurium besylate 2 mg/ml
Injektion Cefotaxime sodium 20 mg/ml
5 % Glukose 299
Umiddelbar turbiditet Uforenelig
Injektion Cisatracurium besylate 5 mg/ml
Injektion Cefotaxime sodium 20 mg/ml
5 % Glukose 299
Kompatibel
Injektion Cisatracurium besylate 0.1 mg/ml
Injektion Cefotaxime sodium 20 mg/ml
5 % Glukose 299
Kompatibel
Injektion Cisatracurium besylate 0.1 mg/ml
Injektion Cefoxitin sodium 20 mg/ml
5 % Glukose 299
Umiddelbar turbiditet Uforenelig
Injektion Cisatracurium besylate 2 & 5 mg/ml
Injektion Cefoxitin sodium 20 mg/ml
5 % Glukose 299
Kompatibel
Injektion Cisatracurium besylate 0,5 mg/ml
Injektion Ceftaroline fosamil 2,22 mg/ml
Ringer laktat 3249
Kompatibel
Injektion Cisatracurium besylate 0,5 mg/ml
Injektion Ceftaroline fosamil 2,22 mg/ml
5 % Glukose 3249
Kompatibel
Injektion Cisatracurium besylate 0,5 mg/ml
Injektion Ceftaroline fosamil 2,22 mg/ml
0,9 % Natriumklorid 3249
Umiddelbar turbiditet Uforenelig
Injektion Cisatracurium besylate 5 mg/ml
Injektion Ceftazidime 40 mg/ml
5 % Glukose 299
Kompatibel
Injektion Cisatracurium besylate 0.1 & 2 mg/ml
Injektion Ceftazidime 40 mg/ml
5 % Glukose 299
Kompatibel
Injektion Cisatracurium besylate 0.1 & 2 mg/ml
Injektion Ceftizoxime sodium 20 mg/ml
5 % Glukose 299
Turbiditet på en time Uforenelig
Injektion Cisatracurium besylate 5 mg/ml
Injektion Ceftizoxime sodium 20 mg/ml
5 % Glukose 299
Umiddelbar nedbør Uforenelig
Injektion Cisatracurium besylate 0.5 mg/ml
Injektion Ceftobiprole medocaril sodium 2 mg/ml
0,9 % Natriumklorid 2269
Umiddelbar nedbør Uforenelig
Injektion Cisatracurium besylate 0.5 mg/ml
Injektion Ceftobiprole medocaril sodium 2 mg/ml
Ringer laktat 2269
Umiddelbar nedbør Uforenelig
Injektion Cisatracurium besylate 0.5 mg/ml
Injektion Ceftobiprole medocaril sodium 2 mg/ml
5 % Glukose 2269
Uspecificeret inkompatibilitet Uforenelig
Injektion Cisatracurium besylate
Injektion Ceftobiprole medocaril sodium
4650
Kompatibel
Injektion Cisatracurium besylate 0.4 mg/ml
Injektion Ceftolozane / tazobactam 10/5 mg/ml
5 % Glukose 3828
Kompatibel
Injektion Cisatracurium besylate 0.4 mg/ml
Injektion Ceftolozane / tazobactam 10/5 mg/ml
0,9 % Natriumklorid 3828
Kompatibel
Injektion Cisatracurium besylate 0.1 >> 5 mg/ml
Injektion Ceftriaxone disodium 20 mg/ml
5 % Glukose 299
Umiddelbar nedbør Uforenelig
Injektion Cisatracurium besylate 2 & 5 mg/ml
Injektion Cefuroxime sodium 30 mg/ml
5 % Glukose 299
Kompatibel
Injektion Cisatracurium besylate 0.1 >> 5 mg/ml
Injektion Chlorpromazine hydrochloride 2 mg/ml
5 % Glukose 299
Kompatibel
Injektion Cisatracurium besylate 0.1 >> 5 mg/ml
Injektion Cimetidine hydrochloride 12 mg/ml
5 % Glukose 299
Kompatibel
Injektion Cisatracurium besylate 0.1 >> 5 mg/ml
Injektion Ciprofloxacin lactate 1 mg/ml
5 % Glukose 299
Kompatibel
Injektion Cisatracurium besylate 0.1 >> 5 mg/ml
Injektion Clindamycin phosphate 10 mg/ml
5 % Glukose 299
Kompatibel
Injektion Cisatracurium besylate 5 mg/ml
Injektion Clonazepam 0.2 mg/ml
0,9 % Natriumklorid 3823
Kompatibel
Injektion Cisatracurium besylate 5 mg/ml
Injektion Clonidine hydrochloride 0.012 mg/ml
0,9 % Natriumklorid 3823
Umiddelbar turbiditet Uforenelig
Injektion Cisatracurium besylate 2 & 5 mg/ml
Injektion Co-trimoxazole 0,8/4 mg/ml
5 % Glukose 299
Kompatibel
Injektion Cisatracurium besylate 0.1 mg/ml
Injektion Co-trimoxazole 0.8/4 mg/ml
5 % Glukose 299
Kompatibel
Injektion Cisatracurium besylate 0.5 mg/ml
Injektion Dexmedetomidine 4 µg/ml
0,9 % Natriumklorid 1712
Kompatibel
Injektion Cisatracurium besylate 0.1 >> 5 mg/ml
Injektion Diazepam 0.25 mg/ml
5 % Glukose 299
Umiddelbar nedbør Uforenelig
Injektion Cisatracurium besylate 0.1 >> 5 mg/ml
Injektion Diazepam 5 mg/ml
5 % Glukose 299
Uspecificeret inkompatibilitet Uforenelig
Injektion Cisatracurium besylate 5 mg/ml
Injektion Diclofenac 3 mg/ml
0,9 % Natriumklorid 3823
Kompatibel
Injektion Cisatracurium besylate 0.1 >> 5 mg/ml
Injektion Digoxin 250 µg/ml
5 % Glukose 299
Kompatibel
Injektion Cisatracurium besylate 1 mg/ml
Injektion Diltiazem hydrochloride 1 mg/ml
0,9 % Natriumklorid 3429
Kompatibel
Injektion Cisatracurium besylate 0.1 >> 5 mg/ml
Injektion Diphenhydramine hydrochloride 2 mg/ml
5 % Glukose 299
Kompatibel
Injektion Cisatracurium besylate 0.1 >> 5 mg/ml
Injektion Dobutamine hydrochloride 4 mg/ml
5 % Glukose 299
Kompatibel
Injektion Cisatracurium besylate 0.1 >> 5 mg/ml
Injektion Dopamine hydrochloride 3.2 mg/ml
5 % Glukose 299
Kompatibel
Injektion Cisatracurium besylate 0.1 >> 5 mg/ml
Injektion Doxycycline hyclate 1 mg/ml
5 % Glukose 299
Kompatibel
Injektion Cisatracurium besylate
Injektion Droperidol
3601
Kompatibel
Injektion Cisatracurium besylate 0.1 >> 5 mg/ml
Injektion Droperidol 2.5 mg/ml
5 % Glukose 299
Kompatibel
Injektion Cisatracurium besylate 0.1 >> 5 mg/ml
Injektion Enalaprilate 0.1 mg/ml
5 % Glukose 299
Kompatibel
Injektion Cisatracurium besylate 0.1 >> 5 mg/ml
Injektion Epinephrine hydrochloride 50 µg/ml
5 % Glukose 299
Kompatibel
Injektion Cisatracurium besylate 0,4 mg/ml
Injektion Eravacycline 0,6 mg/ml
0,9 % Natriumklorid 4434
Kompatibel
Injektion Cisatracurium besylate 0.1 >> 5 mg/ml
Injektion Esmolol hydrochloride 10 mg/ml
5 % Glukose 299
Kompatibel
Injektion Cisatracurium besylate 0.4 mg/ml
Injektion Fosfomycin 30 mg/ml
5 % Glukose 4055
Umiddelbar turbiditet Uforenelig
Injektion Cisatracurium besylate 5 mg/ml
NaHCO3 3823
Kompatibel
Injektion Cisatracurium besylate 5 mg/ml
Injektion Esmolol hydrochloride 10 mg/ml
0,9 % Natriumklorid 3823
Kompatibel
Injektion Cisatracurium besylate 2 mg/ml
Injektion Esmolol hydrochloride 10 mg/ml
0,9 % Natriumklorid 3879
Kompatibel
Injektion Cisatracurium besylate 1 mg/ml
Injektion Esomeprazole sodium 0,4 mg/ml
0,9 % Natriumklorid 3429
Kompatibel
Injektion Cisatracurium besylate 0.1 >> 5 mg/ml
Injektion Famotidine 2 mg/ml
5 % Glukose 299
Kompatibel
Injektion Cisatracurium besylate 0.5 mg/ml
Injektion Fenoldopam mesylate 80 µg/ml
0,9 % Natriumklorid 1803
Kompatibel
Injektion Cisatracurium besylate 0.1 >> 5 mg/ml
Injektion Fentanyl citrate 12.5 µg/ml
5 % Glukose 299
Kompatibel
Injektion Cisatracurium besylate
Injektion Fentanyl citrate
3601
Kompatibel
Injektion Cisatracurium besylate 0.1 >> 5 mg/ml
Injektion Fluconazole 2 mg/ml
5 % Glukose 299
Kompatibel
Injektion Cisatracurium besylate 0.4 mg/ml
Injektion Fosfomycin 30 mg/ml
0,9 % Natriumklorid 4055
Uspecificeret inkompatibilitet Uforenelig
Injektion Cisatracurium besylate
Injektion Furosemide
3465
Umiddelbar turbiditet Uforenelig
Injektion Cisatracurium besylate 2 & 5 mg/ml
NaHCO3 299
Umiddelbar nedbør Uforenelig
Injektion Cisatracurium besylate 5 mg/ml
Injektion Furosemide 10 mg/ml
0,9 % Natriumklorid 3463
Kompatibel
Injektion Cisatracurium besylate 0.1 mg/ml
Injektion Furosemide 3 mg/ml
5 % Glukose 299
Uspecificeret inkompatibilitet Uforenelig
Injektion Cisatracurium besylate 5 mg/ml
Injektion Furosemide 10 mg/ml
0,9 % Natriumklorid 3823
Umiddelbar nedbør Uforenelig
Injektion Cisatracurium besylate 5 mg/ml
Injektion Ganciclovir sodium 20 mg/ml
5 % Glukose 299
Uspecificeret inkompatibilitet Uforenelig
Injektion Cisatracurium besylate
NaHCO3 3466
Kompatibel
Injektion Cisatracurium besylate 0.1 & 2 mg/ml
Injektion Ganciclovir sodium 20 mg/ml
5 % Glukose 299
Uspecificeret inkompatibilitet Uforenelig
Injektion Cisatracurium besylate
NaHCO3 3601
Umiddelbar nedbør Uforenelig
Injektion Cisatracurium besylate 2 & 5 mg/ml
Injektion Furosemide 3 mg/ml
5 % Glukose 299
Uspecificeret inkompatibilitet Uforenelig
Injektion Cisatracurium besylate 5 mg/ml
Injektion Furosemide 10 mg/ml
Ingen 3134
Kompatibel
Injektion Cisatracurium besylate 0.1 >> 5 mg/ml
Injektion Gentamicin sulfate 5 mg/ml
5 % Glukose 299
Kompatibel
Injektion Cisatracurium besylate 0.1 >> 5 mg/ml
Injektion Haloperidol lactate 0.2 mg/ml
5 % Glukose 299
Umiddelbar nedbør Uforenelig
Injektion Cisatracurium besylate 5 mg/ml
Injektion Heparin sodium 100 UI/ml
5 % Glukose 299
Ustabilitet af emulsionen efter 4 timer Uforenelig
Injektion Cisatracurium besylate 2 mg/ml
Parenteral ernæring (lipider) 4507
Uspecificeret inkompatibilitet Uforenelig
Injektion Cisatracurium besylate
Ringer laktat 3601
Farveændring Uforenelig
Injektion Cisatracurium besylate 5 mg/ml
Injektion Heparin sodium 500 UI/ml
0,9 % Natriumklorid 3463
Kompatibel
Injektion Cisatracurium besylate 0.1 & 2 mg/ml
Injektion Heparin sodium 100 UI/ml
5 % Glukose 299
Uspecificeret inkompatibilitet Uforenelig
Injektion Cisatracurium besylate 5 mg/ml
Injektion Heparin sodium 500 UI/ml
0,9 % Natriumklorid 3823
Kompatibel
Injektion Cisatracurium besylate
5 % Glukose 3601
Uspecificeret inkompatibilitet Uforenelig
Injektion Cisatracurium besylate
Injektion Heparin sodium
3540
Kompatibel
Injektion Cisatracurium besylate 0.5 mg/ml
Injektion Hetastarch 60 mg/ml
specifikt opløsningsmiddel 1721
Kompatibel
Injektion Cisatracurium besylate 0.1 >> 5 mg/ml
Injektion Hydrocortisone sodium succinate 1 mg/ml
5 % Glukose 299
Kompatibel
Injektion Cisatracurium besylate 2 mg/ml
Injektion Hydrocortisone sodium succinate 1 mg/ml
0,9 % Natriumklorid 4465
Kompatibel
Injektion Cisatracurium besylate 0.1 >> 5 mg/ml
Injektion Hydromorphone hydrochloride 0.5 mg/ml
5 % Glukose 299
Kompatibel
Injektion Cisatracurium besylate 0.1 >> 5 mg/ml
Injektion Hydroxyzine dihydrochloride 2 mg/ml
5 % Glukose 299
Kompatibel
Injektion Cisatracurium besylate 0.1 >> 5 mg/ml
Injektion Imipenem - cilastatin sodium 10 mg/ml
5 % Glukose 299
Kompatibel
Injektion Cisatracurium besylate 0,4 mg/ml
Injektion Imipenem-Cilastatin / Relebactam 5 mg/ml
0,9 % Natriumklorid 4433
Kompatibel
Injektion Cisatracurium besylate 0,4 mg/ml
Injektion Imipenem-Cilastatin / Relebactam 5 mg/ml
5 % Glukose 4433
Kompatibel
Injektion Cisatracurium besylate 1 mg/ml
Injektion Insulin 1 UI/ml
0,9 % Natriumklorid 3429
Kompatibel
Injektion Cisatracurium besylate 5 mg/ml
Injektion Insulin 2 UI/ml
0,9 % Natriumklorid 3823
Kompatibel
Injektion Cisatracurium besylate 0.4 mg/ml
Injektion Isavuconazonium sulfate 1.5 mg/ml
0,9 % Natriumklorid 3829
Kompatibel
Injektion Cisatracurium besylate 0.4 mg/ml
Injektion Isavuconazonium sulfate 1.5 mg/ml
5 % Glukose 3829
Kompatibel
Injektion Cisatracurium besylate 0.1 >> 5 mg/ml
Injektion Isoprenaline hydrochloride 0.02 mg/ml
5 % Glukose 299
Kompatibel
Injektion Cisatracurium besylate 0.1 >> 5 mg/ml
Injektion Ketorolac tromethamine 15 mg/ml
5 % Glukose 299
Uspecificeret inkompatibilitet Uforenelig
Injektion Cisatracurium besylate
Injektion Ketorolac tromethamine
3601
Kompatibel
Injektion Cisatracurium besylate 0.1 >> 5 mg/ml
Injektion Lorazepam 0.5 mg/ml
5 % Glukose 299
Kompatibel
Injektion Cisatracurium besylate 0.1 >> 5 mg/ml
Injektion Magnesium sulfate 100 mg/ml
5 % Glukose 299
Kompatibel
Injektion Cisatracurium besylate 0.1 >> 5 mg/ml
Injektion Mannitol 150 mg/ml
5 % Glukose 299
Kompatibel
Injektion Cisatracurium besylate
0,9 % Natriumklorid 3601
Kompatibel
Injektion Cisatracurium besylate 2 mg/ml
Injektion Labetalol hydrochloride 5 mg/ml
0,9 % Natriumklorid 3879
Kompatibel
Injektion Cisatracurium besylate 1 mg/ml
Injektion Levetiracetam 5 mg/ml
0,9 % Natriumklorid 4569
Kompatibel
Injektion Cisatracurium besylate 0.1 >> 5 mg/ml
Injektion Lidocaine hydrochloride 8 mg/ml
5 % Glukose 299
Kompatibel
Injektion Cisatracurium besylate 2 mg/ml
Injektion Linezolid 2 mg/ml
Ingen 1925
Kompatibel
Injektion Cisatracurium besylate 0.1 mg/ml
Injektion Methylprednisolone sodium succinate 5 mg/ml
5 % Glukose 299
Umiddelbar turbiditet Uforenelig
Injektion Cisatracurium besylate 2 & 5 mg/ml
Injektion Methylprednisolone sodium succinate 5 mg/ml
5 % Glukose 299
Kompatibel
Injektion Cisatracurium besylate 0.1 >> 5 mg/ml
Injektion Metoclopramide hydrochloride 5 mg/ml
5 % Glukose 299
Kompatibel
Injektion Cisatracurium besylate 2 mg/ml
Injektion Metoprolol tartrate 0.4 mg/ml
0,9 % Natriumklorid 3879
Kompatibel
Injektion Cisatracurium besylate 0.1 >> 5 mg/ml
Injektion Metronidazole 5 mg/ml
5 % Glukose 299
Umiddelbar nedbør Uforenelig
Injektion Cisatracurium besylate 0.5 mg/ml
Injektion Micafungin 1.5 mg/ml
0,9 % Natriumklorid 2108
Kompatibel
Injektion Cisatracurium besylate
Injektion Midazolam hydrochloride
3601
Kompatibel
Injektion Cisatracurium besylate 5 mg/ml
Injektion Midazolam hydrochloride 2.1 mg/ml
0,9 % Natriumklorid 3823
Kompatibel
Injektion Cisatracurium besylate 0.1 >> 5 mg/ml
Injektion Midazolam hydrochloride 1 mg/ml
5 % Glukose 299
Kompatibel
Injektion Cisatracurium besylate 0.1 >> 5 mg/ml
Injektion Minocycline hydrochloride 0.2 mg/ml
5 % Glukose 299
Kompatibel
Injektion Cisatracurium besylate 0.1 >> 5 mg/ml
Injektion Morphine sulfate 1 mg/ml
5 % Glukose 299
Kompatibel
Injektion Cisatracurium besylate 0.1 >> 5 mg/ml
Injektion Nalbuphine hydrochloride 10 mg/ml
5 % Glukose 299
Kompatibel
Injektion Cisatracurium besylate 0.1 >> 5 mg/ml
Injektion Netilmicin sulfate 5 mg/ml
5 % Glukose 299
Kompatibel
Injektion Cisatracurium besylate 1 mg/ml
Injektion Nicardipine hydrochloride 0,5 mg/ml
0,9 % Natriumklorid 3429
Kompatibel
Injektion Cisatracurium besylate 5 mg/ml
Injektion Nimodipine 0.2 mg/ml
0,9 % Natriumklorid 3823
Kompatibel
Injektion Cisatracurium besylate 0.1 >> 5 mg/ml
Injektion Nitroglycerin 0.4 mg/ml
5 % Glukose 299
Kompatibel
Injektion Cisatracurium besylate 5 mg/ml
Injektion Nitroglycerin 0.2 mg/ml
5 % Glukose 3823
Umiddelbar nedbør Uforenelig
Injektion Cisatracurium besylate 2 & 5 mg/ml
Injektion Nitroprusside sodium 2 mg/ml
5 % Glukose 299
Kompatibel
Injektion Cisatracurium besylate 0.1 mg/ml
Injektion Nitroprusside sodium 2 mg/ml
5 % Glukose 299
Kompatibel
Injektion Cisatracurium besylate 0.1 >> 5 mg/ml
Injektion Norepinephrine bitartrate 0.12 mg/ml
5 % Glukose 299
Kompatibel
Injektion Cisatracurium besylate 0.1 >> 5 mg/ml
Injektion Ofloxacin 4 mg/ml
5 % Glukose 299
Kompatibel
Injektion Cisatracurium besylate 5 mg/ml
Injektion Omeprazole sodium 1.6 mg/ml
0,9 % Natriumklorid 3823
Kompatibel
Injektion Cisatracurium besylate 0.1 >> 5 mg/ml
Injektion Ondansetron hydrochloride 1 mg/ml
5 % Glukose 299
Kompatibel
Injektion Cisatracurium besylate 0,5 mg/ml
Injektion Palonosetron hydrochloride 50 µg/ml
5 % Glukose 2227
Turbiditet på en time Uforenelig
Injektion Cisatracurium besylate 1 mg/ml
Injektion Pantoprazole sodium 0,8 mg/ml
0,9 % Natriumklorid 3429
Kompatibel
Injektion Cisatracurium besylate 0.1 >> 5 mg/ml
Injektion Pethidine hydrochloride 4 mg/ml
5 % Glukose 299
Kompatibel
Injektion Cisatracurium besylate 0.1 >> 5 mg/ml
Injektion Phenylephrine hydrochloride 1 mg/ml
5 % Glukose 299
Kompatibel
Injektion Cisatracurium besylate 0.1 mg/ml
Injektion Piperacillin sodium 40 mg/ml
5 % Glukose 299
Umiddelbar turbiditet Uforenelig
Injektion Cisatracurium besylate 2 & 5 mg/ml
Injektion Piperacillin sodium 40 mg/ml
5 % Glukose 299
Kompatibel
Injektion Cisatracurium besylate 0.1 & 2 mg/ml
Injektion Piperacillin sodium / tazobactam 40/5 mg/ml
5 % Glukose 299
Nedbør efter 4 timer Uforenelig
Injektion Cisatracurium besylate 5 mg/ml
Injektion Piperacillin sodium / tazobactam 40/5 mg/ml
5 % Glukose 299
Kompatibel
Injektion Cisatracurium besylate 0.4 mg/ml
Injektion Plazomicin sulfate 24 mg/ml
0,9 % Natriumklorid 4145
Kompatibel
Injektion Cisatracurium besylate 0.1 >> 5 mg/ml
Injektion Potassium chloride 100 mEq/l
5 % Glukose 299
Kompatibel
Injektion Cisatracurium besylate 5 mg/ml
Injektion Potassium chloride 10 mEq/l
0,9 % Natriumklorid 3823
Kompatibel
Injektion Cisatracurium besylate 0.1 >> 5 mg/ml
Injektion Procainamide hydrochloride 10 mg/ml
5 % Glukose 299
Kompatibel
Injektion Cisatracurium besylate 0.1 >> 5 mg/ml
Injektion Prochlorperazine edysilate 0.5 mg/ml
5 % Glukose 299
Kompatibel
Injektion Cisatracurium besylate 0.1 >> 5 mg/ml
Injektion Promethazine hydrochloride 2 mg/ml
5 % Glukose 299
Uspecificeret inkompatibilitet Uforenelig
Injektion Cisatracurium besylate
Injektion Propofol
3601
Kompatibel
Injektion Cisatracurium besylate 0.1 >> 5 mg/ml
Injektion Ranitidine hydrochloride 2 mg/ml
5 % Glukose 299
Kompatibel
Injektion Cisatracurium besylate 5 mg/ml
Injektion Remifentanil hydrochloride 100 µg/ml
0,9 % Natriumklorid 3823
Kompatibel
Injektion Cisatracurium besylate 2 mg/ml
Injektion Remifentanil hydrochloride 25 & 250 µg/ml
0,9 % Natriumklorid 59
Uspecificeret inkompatibilitet Uforenelig
Injektion Cisatracurium besylate
Injektion Sodium bicarbonate
3466
Turbiditet på en time Uforenelig
Injektion Cisatracurium besylate 2 mg/ml
Injektion Sodium bicarbonate 84 mg/ml
5 % Glukose 299
Uspecificeret inkompatibilitet Uforenelig
Injektion Cisatracurium besylate
Injektion Sodium bicarbonate
3601
Kompatibel
Injektion Cisatracurium besylate 0.1 mg/ml
Injektion Sodium bicarbonate 84 mg/ml
5 % Glukose 299
Umiddelbar turbiditet Uforenelig
Injektion Cisatracurium besylate 5 mg/ml
Injektion Sodium bicarbonate 84 mg/ml
5 % Glukose 299
Uklarhed om 2 timer Uforenelig
Injektion Cisatracurium besylate 5 mg/ml
Injektion Sodium bicarbonate 84 mg/ml
Ingen 3212
Kompatibel
Injektion Cisatracurium besylate 0.1 >> 5 mg/ml
Injektion Sufentanil citrate 0.0125 mg/ml
5 % Glukose 299
Kompatibel
Injektion Cisatracurium besylate
Injektion Sufentanil citrate
3601
Kompatibel
Injektion Cisatracurium besylate 0,4 mg/ml
Injektion Sulbactam/durlobactam 15/15 mg/ml
0,9 % Natriumklorid 4801
Kompatibel
Injektion Cisatracurium besylate 0.4 mg/ml
Injektion Tedizolid phosphate 0.8 mg/ml
0,9 % Natriumklorid 3827
Kompatibel
Injektion Cisatracurium besylate 0.1 >> 5 mg/ml
Injektion Theophylline 3.2 mg/ml
5 % Glukose 299
Uspecificeret inkompatibilitet Uforenelig
Injektion Cisatracurium besylate
Injektion Thiopental sodium
3601
Kompatibel
Injektion Cisatracurium besylate 0.1 mg/ml
Injektion Thiopental sodium 25 mg/ml
5 % Glukose 299
Uspecificeret inkompatibilitet Uforenelig
Injektion Cisatracurium besylate 5 mg/ml
Injektion Thiopental sodium 60 mg/ml
0,9 % Natriumklorid 3823
Umiddelbar nedbør Uforenelig
Injektion Cisatracurium besylate 2 & 5 mg/ml
Injektion Thiopental sodium 25 mg/ml
5 % Glukose 299
Kompatibel
Injektion Cisatracurium besylate 0.1 & 2 mg/ml
Injektion Ticarcillin / clavulanic acid 30 mg/ml
5 % Glukose 299
Umiddelbar turbiditet Uforenelig
Injektion Cisatracurium besylate 5 mg/ml
Injektion Ticarcillin / clavulanic acid 30 mg/ml
5 % Glukose 299
Kompatibel
Injektion Cisatracurium besylate 0.1 >> 5 mg/ml
Injektion Tobramycin sulfate 5 mg/ml
5 % Glukose 299
Kompatibel
Injektion Cisatracurium besylate 0.1 >> 5 mg/ml
Injektion Vancomycin hydrochloride 10 mg/ml
5 % Glukose 299
Kompatibel
Injektion Cisatracurium besylate 1 mg/ml
Injektion Vasopressin 1 UI/ml
0,9 % Natriumklorid 3429
Kompatibel
Injektion Cisatracurium besylate 0.1 >> 5 mg/ml
Injektion Zidovudine 4 mg/ml
5 % Glukose 299

  Mentions Légales