Senaste uppdateringen :
27/04/2026
Muskel avslappande medel   Cisatracurium besylate  
injektion
Lösningars stabilitet Stabilitet i blandningar Faktorer som påverkar stabiliteten Kompatibilitet Administreringssätt Hänvisningar pdf
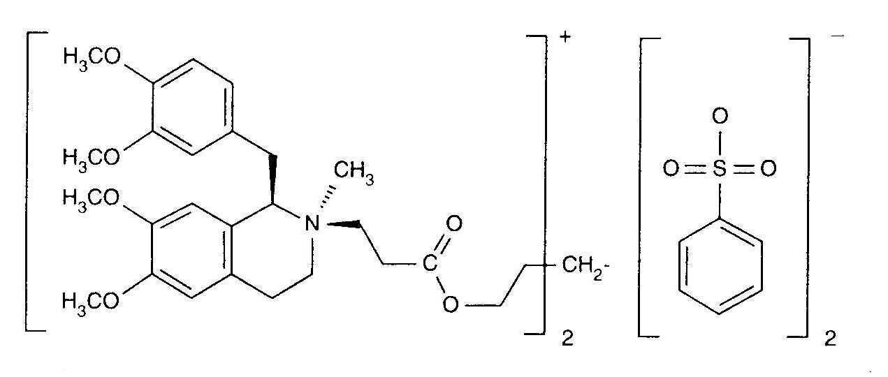
   Molekylstruktur  

Varunamn   Varunamn     

Angivna handelsnamn på läkemedel är enbart vägledande då formulering inklusive hjälpämnen kan variera mellan länder och tillverkare

Bensitrak Mexiko
Besilato de cisatracurio
Cicuryl Mexiko
Cirium Colombia
Cis Atracure
Cisatracurio Brasilien, Chile, Colombia, Ecuador, Italien, Peru, Spanien
Cisatracurium Belgien, Finland, Frankrike, Irland, Kanada, Storbritannien, Tunisien, Tyskland, Ungern
Nimbex Belgien, Chile, Danmark, Ecuador, Egypten, Finland, Förenade Arabemiraten, Förenta Staterna, Frankrike, Grekland, Iran, Irland, Italien, Kanada, Luxemburg, Malaysia, Mexiko, Nederländerna, Norge, Österrike, Peru, Polen, Portugal, Saudi-Arabien, Slovenien, Spanien, Storbritannien, Sverige, Tunisien, Turkiet, Tyskland, Ungern, Venezuela
Nimbium Brasilien, Colombia
Kompatibilitet   injektion   Kompatibilitet : Cisatracurium besylate              
Den här skärmen visar kompatibiliteten eller inkompatibiliteten med, i detta fall, typen av inkompatibilitet (utfällning, färgförändring, modifiering av en emulsion, etc.). De kompatibiliteter som visas här är oftast endast fysiska, varvid den kemiska stabiliteten för varje molekyl sällan utvärderas. Utvärderingen av dessa blandningar studerades för att överväga möjligheten för Y-platsadministrering till patienten. Dessa data kan inte användas för att göra blandningar i förväg i påsar eller sprutor. Denna typ av information finns på skärmen "Stabilitet i blandning".
Substans Lösningsmedel Hänvisningar
Omedelbar nederbörd Oförenlig
injektion Cisatracurium besylate 5 mg/ml
injektion Aciclovir sodium 7 mg/ml
Glukos 5 % 299
Kompatibel
injektion Cisatracurium besylate 0.1 & 2 mg/ml
injektion Aciclovir sodium 7 mg/ml
Glukos 5 % 299
Kompatibel
injektion Cisatracurium besylate
injektion Alfentanil hydrochloride
3601
Kompatibel
injektion Cisatracurium besylate 0.1 >> 5 mg/ml
injektion Alfentanil hydrochloride 125 µg/ml
Glukos 5 % 299
Omedelbar nederbörd Oförenlig
injektion Cisatracurium besylate 1,2 mg/ml
injektion Alprostadil 20 µg/ml
Glukos 5 % 4651
Omedelbar nederbörd Oförenlig
injektion Cisatracurium besylate 1,2 mg/ml
injektion Alprostadil 20 µg/ml
Glukos 5 % 4491
Kompatibel
injektion Cisatracurium besylate 0.1 >> 5 mg/ml
injektion Amikacin sulfate 5 mg/ml
Glukos 5 % 299
Kompatibel
injektion Cisatracurium besylate 0.1 & 2 mg/ml
injektion Aminophylline 2.5 mg/ml
Glukos 5 % 299
Grumlighet på en timme Oförenlig
injektion Cisatracurium besylate 5 mg/ml
injektion Aminophylline 2.5 mg/ml
Glukos 5 % 299
Kompatibel
injektion Cisatracurium besylate
injektion Amiodarone hydrochloride
3464
Kompatibel
injektion Cisatracurium besylate 5 mg/ml
injektion Amiodarone hydrochloride 15 mg/ml
Glukos 5 % 3823
Kompatibel
injektion Cisatracurium besylate 0.1 mg/ml
injektion Amphotericin B 0.6 mg/ml
Glukos 5 % 299
Omedelbar nederbörd Oförenlig
injektion Cisatracurium besylate 2 & 5 mg/ml
injektion Amphotericin B 0.6 mg/ml
Glukos 5 % 299
Omedelbar nederbörd Oförenlig
injektion Cisatracurium besylate 2 mg/ml
injektion Amphotericin B cholesteryl sulfate complex 0.83 mg/ml
Glukos 5 % 921
Grumlighet på en timme Oförenlig
injektion Cisatracurium besylate 5 mg/ml
injektion Ampicillin sodium 20 mg/ml
Natriumklorid 0,9 % 299
Kompatibel
injektion Cisatracurium besylate 0.1 & 2 mg/ml
injektion Ampicillin sodium 20 mg/ml
Glukos 5 % 299
Grumlighet på en timme Oförenlig
injektion Cisatracurium besylate 5 mg/ml
injektion Ampicillin sodium 20 mg/ml
Glukos 5 % 299
Omedelbar grumlighet Oförenlig
injektion Cisatracurium besylate 5 mg/ml
injektion Ampicillin sodium - sulbactam sodium 20/10 mg/ml
Glukos 5 % 299
Omedelbar grumlighet Oförenlig
injektion Cisatracurium besylate 5 mg/ml
injektion Ampicillin sodium - sulbactam sodium 20/10 mg/ml
Natriumklorid 0,9 % 299
Kompatibel
injektion Cisatracurium besylate 0.1 & 2 mg/ml
injektion Ampicillin sodium - sulbactam sodium 20/10 mg/ml
Glukos 5 % 299
Kompatibel
injektion Cisatracurium besylate 0.1 >> 5 mg/ml
injektion Aztreonam 40 mg/ml
Glukos 5 % 299
Kompatibel
injektion Cisatracurium besylate 0.1 >> 5 mg/ml
injektion Bumetanide 0.04 mg/ml
Glukos 5 % 299
Kompatibel
injektion Cisatracurium besylate 0.1 >> 5 mg/ml
injektion Buprenorphine hydrochloride 0.04 mg/ml
Glukos 5 % 299
Kompatibel
injektion Cisatracurium besylate 0.1 >> 5 mg/ml
injektion Butorphanol tartrate 0.04 mg/ml
Glukos 5 % 299
Kompatibel
injektion Cisatracurium besylate 0.1 >> 5 mg/ml
injektion Calcium gluconate 40 mg/ml
Glukos 5 % 299
Kompatibel
injektion Cisatracurium besylate 1 mg/ml
injektion Calcium gluconate 20 mg/ml
Natriumklorid 0,9 % 3429
Omedelbar grumlighet Oförenlig
injektion Cisatracurium besylate 2 & 5 mg/ml
injektion Cefazolin sodium 20 mg/ml
Glukos 5 % 299
Kompatibel
injektion Cisatracurium besylate 0.1 mg/ml
injektion Cefazolin sodium 20 mg/ml
Glukos 5 % 299
Kompatibel
injektion Cisatracurium besylate 0.4 mg/ml
injektion Cefiderocol sulfate tosylate 20 mg/mL
Glukos 5 % 4528
Kompatibel
injektion Cisatracurium besylate 0.4 mg/ml
injektion Cefiderocol sulfate tosylate 20 mg/mL
Natriumklorid 0,9 % 4528
Omedelbar nederbörd Oförenlig
injektion Cisatracurium besylate 0.1 >> 5 mg/ml
injektion Cefoperazone sodium 40 mg/ml
Glukos 5 % 299
Kompatibel
injektion Cisatracurium besylate 0.1 >> 5 mg/ml
injektion Cefoperazone sodium 40 mg/ml
Glukos 5 % 299
Grumlighet på 4 timmar Oförenlig
injektion Cisatracurium besylate 2 mg/ml
injektion Cefotaxime sodium 20 mg/ml
Glukos 5 % 299
Omedelbar grumlighet Oförenlig
injektion Cisatracurium besylate 5 mg/ml
injektion Cefotaxime sodium 20 mg/ml
Glukos 5 % 299
Kompatibel
injektion Cisatracurium besylate 0.1 mg/ml
injektion Cefotaxime sodium 20 mg/ml
Glukos 5 % 299
Kompatibel
injektion Cisatracurium besylate 0.1 mg/ml
injektion Cefoxitin sodium 20 mg/ml
Glukos 5 % 299
Omedelbar grumlighet Oförenlig
injektion Cisatracurium besylate 2 & 5 mg/ml
injektion Cefoxitin sodium 20 mg/ml
Glukos 5 % 299
Kompatibel
injektion Cisatracurium besylate 0,5 mg/ml
injektion Ceftaroline fosamil 2,22 mg/ml
Ringer-laktatlösning 3249
Kompatibel
injektion Cisatracurium besylate 0,5 mg/ml
injektion Ceftaroline fosamil 2,22 mg/ml
Glukos 5 % 3249
Kompatibel
injektion Cisatracurium besylate 0,5 mg/ml
injektion Ceftaroline fosamil 2,22 mg/ml
Natriumklorid 0,9 % 3249
Omedelbar grumlighet Oförenlig
injektion Cisatracurium besylate 5 mg/ml
injektion Ceftazidime 40 mg/ml
Glukos 5 % 299
Kompatibel
injektion Cisatracurium besylate 0.1 & 2 mg/ml
injektion Ceftazidime 40 mg/ml
Glukos 5 % 299
Kompatibel
injektion Cisatracurium besylate 0.1 & 2 mg/ml
injektion Ceftizoxime sodium 20 mg/ml
Glukos 5 % 299
Grumlighet på en timme Oförenlig
injektion Cisatracurium besylate 5 mg/ml
injektion Ceftizoxime sodium 20 mg/ml
Glukos 5 % 299
Omedelbar nederbörd Oförenlig
injektion Cisatracurium besylate 0.5 mg/ml
injektion Ceftobiprole medocaril sodium 2 mg/ml
Natriumklorid 0,9 % 2269
Omedelbar nederbörd Oförenlig
injektion Cisatracurium besylate 0.5 mg/ml
injektion Ceftobiprole medocaril sodium 2 mg/ml
Ringer-laktatlösning 2269
Omedelbar nederbörd Oförenlig
injektion Cisatracurium besylate 0.5 mg/ml
injektion Ceftobiprole medocaril sodium 2 mg/ml
Glukos 5 % 2269
Ospecificerad inkompatibilitet Oförenlig
injektion Cisatracurium besylate
injektion Ceftobiprole medocaril sodium
4650
Kompatibel
injektion Cisatracurium besylate 0.4 mg/ml
injektion Ceftolozane / tazobactam 10/5 mg/ml
Glukos 5 % 3828
Kompatibel
injektion Cisatracurium besylate 0.4 mg/ml
injektion Ceftolozane / tazobactam 10/5 mg/ml
Natriumklorid 0,9 % 3828
Kompatibel
injektion Cisatracurium besylate 0.1 >> 5 mg/ml
injektion Ceftriaxone disodium 20 mg/ml
Glukos 5 % 299
Omedelbar nederbörd Oförenlig
injektion Cisatracurium besylate 2 & 5 mg/ml
injektion Cefuroxime sodium 30 mg/ml
Glukos 5 % 299
Kompatibel
injektion Cisatracurium besylate 0.1 >> 5 mg/ml
injektion Chlorpromazine hydrochloride 2 mg/ml
Glukos 5 % 299
Kompatibel
injektion Cisatracurium besylate 0.1 >> 5 mg/ml
injektion Cimetidine hydrochloride 12 mg/ml
Glukos 5 % 299
Kompatibel
injektion Cisatracurium besylate 0.1 >> 5 mg/ml
injektion Ciprofloxacin lactate 1 mg/ml
Glukos 5 % 299
Kompatibel
injektion Cisatracurium besylate 0.1 >> 5 mg/ml
injektion Clindamycin phosphate 10 mg/ml
Glukos 5 % 299
Kompatibel
injektion Cisatracurium besylate 5 mg/ml
injektion Clonazepam 0.2 mg/ml
Natriumklorid 0,9 % 3823
Kompatibel
injektion Cisatracurium besylate 5 mg/ml
injektion Clonidine hydrochloride 0.012 mg/ml
Natriumklorid 0,9 % 3823
Omedelbar grumlighet Oförenlig
injektion Cisatracurium besylate 2 & 5 mg/ml
injektion Co-trimoxazole 0,8/4 mg/ml
Glukos 5 % 299
Kompatibel
injektion Cisatracurium besylate 0.1 mg/ml
injektion Co-trimoxazole 0.8/4 mg/ml
Glukos 5 % 299
Kompatibel
injektion Cisatracurium besylate 0.5 mg/ml
injektion Dexmedetomidine 4 µg/ml
Natriumklorid 0,9 % 1712
Kompatibel
injektion Cisatracurium besylate 0.1 >> 5 mg/ml
injektion Diazepam 0.25 mg/ml
Glukos 5 % 299
Omedelbar nederbörd Oförenlig
injektion Cisatracurium besylate 0.1 >> 5 mg/ml
injektion Diazepam 5 mg/ml
Glukos 5 % 299
Ospecificerad inkompatibilitet Oförenlig
injektion Cisatracurium besylate 5 mg/ml
injektion Diclofenac 3 mg/ml
Natriumklorid 0,9 % 3823
Kompatibel
injektion Cisatracurium besylate 0.1 >> 5 mg/ml
injektion Digoxin 250 µg/ml
Glukos 5 % 299
Kompatibel
injektion Cisatracurium besylate 1 mg/ml
injektion Diltiazem hydrochloride 1 mg/ml
Natriumklorid 0,9 % 3429
Kompatibel
injektion Cisatracurium besylate 0.1 >> 5 mg/ml
injektion Diphenhydramine hydrochloride 2 mg/ml
Glukos 5 % 299
Kompatibel
injektion Cisatracurium besylate 0.1 >> 5 mg/ml
injektion Dobutamine hydrochloride 4 mg/ml
Glukos 5 % 299
Kompatibel
injektion Cisatracurium besylate 0.1 >> 5 mg/ml
injektion Dopamine hydrochloride 3.2 mg/ml
Glukos 5 % 299
Kompatibel
injektion Cisatracurium besylate 0.1 >> 5 mg/ml
injektion Doxycycline hyclate 1 mg/ml
Glukos 5 % 299
Kompatibel
injektion Cisatracurium besylate
injektion Droperidol
3601
Kompatibel
injektion Cisatracurium besylate 0.1 >> 5 mg/ml
injektion Droperidol 2.5 mg/ml
Glukos 5 % 299
Kompatibel
injektion Cisatracurium besylate 0.1 >> 5 mg/ml
injektion Enalaprilate 0.1 mg/ml
Glukos 5 % 299
Kompatibel
injektion Cisatracurium besylate 0.1 >> 5 mg/ml
injektion Epinephrine hydrochloride 50 µg/ml
Glukos 5 % 299
Kompatibel
injektion Cisatracurium besylate 0,4 mg/ml
injektion Eravacycline 0,6 mg/ml
Natriumklorid 0,9 % 4434
Kompatibel
injektion Cisatracurium besylate 0.1 >> 5 mg/ml
injektion Esmolol hydrochloride 10 mg/ml
Glukos 5 % 299
Kompatibel
injektion Cisatracurium besylate 0.4 mg/ml
injektion Fosfomycin 30 mg/ml
Glukos 5 % 4055
Omedelbar grumlighet Oförenlig
injektion Cisatracurium besylate 5 mg/ml
NaHCO3 3823
Kompatibel
injektion Cisatracurium besylate 5 mg/ml
injektion Esmolol hydrochloride 10 mg/ml
Natriumklorid 0,9 % 3823
Kompatibel
injektion Cisatracurium besylate 2 mg/ml
injektion Esmolol hydrochloride 10 mg/ml
Natriumklorid 0,9 % 3879
Kompatibel
injektion Cisatracurium besylate 1 mg/ml
injektion Esomeprazole sodium 0,4 mg/ml
Natriumklorid 0,9 % 3429
Kompatibel
injektion Cisatracurium besylate 0.1 >> 5 mg/ml
injektion Famotidine 2 mg/ml
Glukos 5 % 299
Kompatibel
injektion Cisatracurium besylate 0.5 mg/ml
injektion Fenoldopam mesylate 80 µg/ml
Natriumklorid 0,9 % 1803
Kompatibel
injektion Cisatracurium besylate 0.1 >> 5 mg/ml
injektion Fentanyl citrate 12.5 µg/ml
Glukos 5 % 299
Kompatibel
injektion Cisatracurium besylate
injektion Fentanyl citrate
3601
Kompatibel
injektion Cisatracurium besylate 0.1 >> 5 mg/ml
injektion Fluconazole 2 mg/ml
Glukos 5 % 299
Kompatibel
injektion Cisatracurium besylate 0.4 mg/ml
injektion Fosfomycin 30 mg/ml
Natriumklorid 0,9 % 4055
Ospecificerad inkompatibilitet Oförenlig
injektion Cisatracurium besylate
injektion Furosemide
3465
Omedelbar grumlighet Oförenlig
injektion Cisatracurium besylate 2 & 5 mg/ml
NaHCO3 299
Omedelbar nederbörd Oförenlig
injektion Cisatracurium besylate 5 mg/ml
injektion Furosemide 10 mg/ml
Natriumklorid 0,9 % 3463
Kompatibel
injektion Cisatracurium besylate 0.1 mg/ml
injektion Furosemide 3 mg/ml
Glukos 5 % 299
Ospecificerad inkompatibilitet Oförenlig
injektion Cisatracurium besylate 5 mg/ml
injektion Furosemide 10 mg/ml
Natriumklorid 0,9 % 3823
Omedelbar nederbörd Oförenlig
injektion Cisatracurium besylate 5 mg/ml
injektion Ganciclovir sodium 20 mg/ml
Glukos 5 % 299
Ospecificerad inkompatibilitet Oförenlig
injektion Cisatracurium besylate
NaHCO3 3466
Kompatibel
injektion Cisatracurium besylate 0.1 & 2 mg/ml
injektion Ganciclovir sodium 20 mg/ml
Glukos 5 % 299
Ospecificerad inkompatibilitet Oförenlig
injektion Cisatracurium besylate
NaHCO3 3601
Omedelbar nederbörd Oförenlig
injektion Cisatracurium besylate 2 & 5 mg/ml
injektion Furosemide 3 mg/ml
Glukos 5 % 299
Ospecificerad inkompatibilitet Oförenlig
injektion Cisatracurium besylate 5 mg/ml
injektion Furosemide 10 mg/ml
Ingen 3134
Kompatibel
injektion Cisatracurium besylate 0.1 >> 5 mg/ml
injektion Gentamicin sulfate 5 mg/ml
Glukos 5 % 299
Kompatibel
injektion Cisatracurium besylate 0.1 >> 5 mg/ml
injektion Haloperidol lactate 0.2 mg/ml
Glukos 5 % 299
Omedelbar nederbörd Oförenlig
injektion Cisatracurium besylate 5 mg/ml
injektion Heparin sodium 100 UI/ml
Glukos 5 % 299
Emulsionens instabilitet efter 4 timmar Oförenlig
injektion Cisatracurium besylate 2 mg/ml
Parenteral nutrition (med lipider) 4507
Ospecificerad inkompatibilitet Oförenlig
injektion Cisatracurium besylate
Ringer-laktatlösning 3601
Färgändring Oförenlig
injektion Cisatracurium besylate 5 mg/ml
injektion Heparin sodium 500 UI/ml
Natriumklorid 0,9 % 3463
Kompatibel
injektion Cisatracurium besylate 0.1 & 2 mg/ml
injektion Heparin sodium 100 UI/ml
Glukos 5 % 299
Ospecificerad inkompatibilitet Oförenlig
injektion Cisatracurium besylate 5 mg/ml
injektion Heparin sodium 500 UI/ml
Natriumklorid 0,9 % 3823
Kompatibel
injektion Cisatracurium besylate
Glukos 5 % 3601
Ospecificerad inkompatibilitet Oförenlig
injektion Cisatracurium besylate
injektion Heparin sodium
3540
Kompatibel
injektion Cisatracurium besylate 0.5 mg/ml
injektion Hetastarch 60 mg/ml
specifikt lösningsmedel 1721
Kompatibel
injektion Cisatracurium besylate 0.1 >> 5 mg/ml
injektion Hydrocortisone sodium succinate 1 mg/ml
Glukos 5 % 299
Kompatibel
injektion Cisatracurium besylate 2 mg/ml
injektion Hydrocortisone sodium succinate 1 mg/ml
Natriumklorid 0,9 % 4465
Kompatibel
injektion Cisatracurium besylate 0.1 >> 5 mg/ml
injektion Hydromorphone hydrochloride 0.5 mg/ml
Glukos 5 % 299
Kompatibel
injektion Cisatracurium besylate 0.1 >> 5 mg/ml
injektion Hydroxyzine dihydrochloride 2 mg/ml
Glukos 5 % 299
Kompatibel
injektion Cisatracurium besylate 0.1 >> 5 mg/ml
injektion Imipenem - cilastatin sodium 10 mg/ml
Glukos 5 % 299
Kompatibel
injektion Cisatracurium besylate 0,4 mg/ml
injektion Imipenem-Cilastatin / Relebactam 5 mg/ml
Natriumklorid 0,9 % 4433
Kompatibel
injektion Cisatracurium besylate 0,4 mg/ml
injektion Imipenem-Cilastatin / Relebactam 5 mg/ml
Glukos 5 % 4433
Kompatibel
injektion Cisatracurium besylate 1 mg/ml
injektion Insulin 1 UI/ml
Natriumklorid 0,9 % 3429
Kompatibel
injektion Cisatracurium besylate 5 mg/ml
injektion Insulin 2 UI/ml
Natriumklorid 0,9 % 3823
Kompatibel
injektion Cisatracurium besylate 0.4 mg/ml
injektion Isavuconazonium sulfate 1.5 mg/ml
Natriumklorid 0,9 % 3829
Kompatibel
injektion Cisatracurium besylate 0.4 mg/ml
injektion Isavuconazonium sulfate 1.5 mg/ml
Glukos 5 % 3829
Kompatibel
injektion Cisatracurium besylate 0.1 >> 5 mg/ml
injektion Isoprenaline hydrochloride 0.02 mg/ml
Glukos 5 % 299
Kompatibel
injektion Cisatracurium besylate 0.1 >> 5 mg/ml
injektion Ketorolac tromethamine 15 mg/ml
Glukos 5 % 299
Ospecificerad inkompatibilitet Oförenlig
injektion Cisatracurium besylate
injektion Ketorolac tromethamine
3601
Kompatibel
injektion Cisatracurium besylate 0.1 >> 5 mg/ml
injektion Lorazepam 0.5 mg/ml
Glukos 5 % 299
Kompatibel
injektion Cisatracurium besylate 0.1 >> 5 mg/ml
injektion Magnesium sulfate 100 mg/ml
Glukos 5 % 299
Kompatibel
injektion Cisatracurium besylate 0.1 >> 5 mg/ml
injektion Mannitol 150 mg/ml
Glukos 5 % 299
Kompatibel
injektion Cisatracurium besylate
Natriumklorid 0,9 % 3601
Kompatibel
injektion Cisatracurium besylate 2 mg/ml
injektion Labetalol hydrochloride 5 mg/ml
Natriumklorid 0,9 % 3879
Kompatibel
injektion Cisatracurium besylate 1 mg/ml
injektion Levetiracetam 5 mg/ml
Natriumklorid 0,9 % 4569
Kompatibel
injektion Cisatracurium besylate 0.1 >> 5 mg/ml
injektion Lidocaine hydrochloride 8 mg/ml
Glukos 5 % 299
Kompatibel
injektion Cisatracurium besylate 2 mg/ml
injektion Linezolid 2 mg/ml
Ingen 1925
Kompatibel
injektion Cisatracurium besylate 0.1 mg/ml
injektion Methylprednisolone sodium succinate 5 mg/ml
Glukos 5 % 299
Omedelbar grumlighet Oförenlig
injektion Cisatracurium besylate 2 & 5 mg/ml
injektion Methylprednisolone sodium succinate 5 mg/ml
Glukos 5 % 299
Kompatibel
injektion Cisatracurium besylate 0.1 >> 5 mg/ml
injektion Metoclopramide hydrochloride 5 mg/ml
Glukos 5 % 299
Kompatibel
injektion Cisatracurium besylate 2 mg/ml
injektion Metoprolol tartrate 0.4 mg/ml
Natriumklorid 0,9 % 3879
Kompatibel
injektion Cisatracurium besylate 0.1 >> 5 mg/ml
injektion Metronidazole 5 mg/ml
Glukos 5 % 299
Omedelbar nederbörd Oförenlig
injektion Cisatracurium besylate 0.5 mg/ml
injektion Micafungin 1.5 mg/ml
Natriumklorid 0,9 % 2108
Kompatibel
injektion Cisatracurium besylate
injektion Midazolam hydrochloride
3601
Kompatibel
injektion Cisatracurium besylate 5 mg/ml
injektion Midazolam hydrochloride 2.1 mg/ml
Natriumklorid 0,9 % 3823
Kompatibel
injektion Cisatracurium besylate 0.1 >> 5 mg/ml
injektion Midazolam hydrochloride 1 mg/ml
Glukos 5 % 299
Kompatibel
injektion Cisatracurium besylate 0.1 >> 5 mg/ml
injektion Minocycline hydrochloride 0.2 mg/ml
Glukos 5 % 299
Kompatibel
injektion Cisatracurium besylate 0.1 >> 5 mg/ml
injektion Morphine sulfate 1 mg/ml
Glukos 5 % 299
Kompatibel
injektion Cisatracurium besylate 0.1 >> 5 mg/ml
injektion Nalbuphine hydrochloride 10 mg/ml
Glukos 5 % 299
Kompatibel
injektion Cisatracurium besylate 0.1 >> 5 mg/ml
injektion Netilmicin sulfate 5 mg/ml
Glukos 5 % 299
Kompatibel
injektion Cisatracurium besylate 1 mg/ml
injektion Nicardipine hydrochloride 0,5 mg/ml
Natriumklorid 0,9 % 3429
Kompatibel
injektion Cisatracurium besylate 5 mg/ml
injektion Nimodipine 0.2 mg/ml
Natriumklorid 0,9 % 3823
Kompatibel
injektion Cisatracurium besylate 0.1 >> 5 mg/ml
injektion Nitroglycerin 0.4 mg/ml
Glukos 5 % 299
Kompatibel
injektion Cisatracurium besylate 5 mg/ml
injektion Nitroglycerin 0.2 mg/ml
Glukos 5 % 3823
Omedelbar nederbörd Oförenlig
injektion Cisatracurium besylate 2 & 5 mg/ml
injektion Nitroprusside sodium 2 mg/ml
Glukos 5 % 299
Kompatibel
injektion Cisatracurium besylate 0.1 mg/ml
injektion Nitroprusside sodium 2 mg/ml
Glukos 5 % 299
Kompatibel
injektion Cisatracurium besylate 0.1 >> 5 mg/ml
injektion Norepinephrine bitartrate 0.12 mg/ml
Glukos 5 % 299
Kompatibel
injektion Cisatracurium besylate 0.1 >> 5 mg/ml
injektion Ofloxacin 4 mg/ml
Glukos 5 % 299
Kompatibel
injektion Cisatracurium besylate 5 mg/ml
injektion Omeprazole sodium 1.6 mg/ml
Natriumklorid 0,9 % 3823
Kompatibel
injektion Cisatracurium besylate 0.1 >> 5 mg/ml
injektion Ondansetron hydrochloride 1 mg/ml
Glukos 5 % 299
Kompatibel
injektion Cisatracurium besylate 0,5 mg/ml
injektion Palonosetron hydrochloride 50 µg/ml
Glukos 5 % 2227
Grumlighet på en timme Oförenlig
injektion Cisatracurium besylate 1 mg/ml
injektion Pantoprazole sodium 0,8 mg/ml
Natriumklorid 0,9 % 3429
Kompatibel
injektion Cisatracurium besylate 0.1 >> 5 mg/ml
injektion Pethidine hydrochloride 4 mg/ml
Glukos 5 % 299
Kompatibel
injektion Cisatracurium besylate 0.1 >> 5 mg/ml
injektion Phenylephrine hydrochloride 1 mg/ml
Glukos 5 % 299
Kompatibel
injektion Cisatracurium besylate 0.1 mg/ml
injektion Piperacillin sodium 40 mg/ml
Glukos 5 % 299
Omedelbar grumlighet Oförenlig
injektion Cisatracurium besylate 2 & 5 mg/ml
injektion Piperacillin sodium 40 mg/ml
Glukos 5 % 299
Kompatibel
injektion Cisatracurium besylate 0.1 & 2 mg/ml
injektion Piperacillin sodium / tazobactam 40/5 mg/ml
Glukos 5 % 299
Utfällning efter 4 timmar Oförenlig
injektion Cisatracurium besylate 5 mg/ml
injektion Piperacillin sodium / tazobactam 40/5 mg/ml
Glukos 5 % 299
Kompatibel
injektion Cisatracurium besylate 0.4 mg/ml
injektion Plazomicin sulfate 24 mg/ml
Natriumklorid 0,9 % 4145
Kompatibel
injektion Cisatracurium besylate 0.1 >> 5 mg/ml
injektion Potassium chloride 100 mEq/l
Glukos 5 % 299
Kompatibel
injektion Cisatracurium besylate 5 mg/ml
injektion Potassium chloride 10 mEq/l
Natriumklorid 0,9 % 3823
Kompatibel
injektion Cisatracurium besylate 0.1 >> 5 mg/ml
injektion Procainamide hydrochloride 10 mg/ml
Glukos 5 % 299
Kompatibel
injektion Cisatracurium besylate 0.1 >> 5 mg/ml
injektion Prochlorperazine edysilate 0.5 mg/ml
Glukos 5 % 299
Kompatibel
injektion Cisatracurium besylate 0.1 >> 5 mg/ml
injektion Promethazine hydrochloride 2 mg/ml
Glukos 5 % 299
Ospecificerad inkompatibilitet Oförenlig
injektion Cisatracurium besylate
injektion Propofol
3601
Kompatibel
injektion Cisatracurium besylate 0.1 >> 5 mg/ml
injektion Ranitidine hydrochloride 2 mg/ml
Glukos 5 % 299
Kompatibel
injektion Cisatracurium besylate 5 mg/ml
injektion Remifentanil hydrochloride 100 µg/ml
Natriumklorid 0,9 % 3823
Kompatibel
injektion Cisatracurium besylate 2 mg/ml
injektion Remifentanil hydrochloride 25 & 250 µg/ml
Natriumklorid 0,9 % 59
Ospecificerad inkompatibilitet Oförenlig
injektion Cisatracurium besylate
injektion Sodium bicarbonate
3466
Grumlighet på en timme Oförenlig
injektion Cisatracurium besylate 2 mg/ml
injektion Sodium bicarbonate 84 mg/ml
Glukos 5 % 299
Ospecificerad inkompatibilitet Oförenlig
injektion Cisatracurium besylate
injektion Sodium bicarbonate
3601
Kompatibel
injektion Cisatracurium besylate 0.1 mg/ml
injektion Sodium bicarbonate 84 mg/ml
Glukos 5 % 299
Omedelbar grumlighet Oförenlig
injektion Cisatracurium besylate 5 mg/ml
injektion Sodium bicarbonate 84 mg/ml
Glukos 5 % 299
Grumlighet på 2 timmar Oförenlig
injektion Cisatracurium besylate 5 mg/ml
injektion Sodium bicarbonate 84 mg/ml
Ingen 3212
Kompatibel
injektion Cisatracurium besylate 0.1 >> 5 mg/ml
injektion Sufentanil citrate 0.0125 mg/ml
Glukos 5 % 299
Kompatibel
injektion Cisatracurium besylate
injektion Sufentanil citrate
3601
Kompatibel
injektion Cisatracurium besylate 0,4 mg/ml
injektion Sulbactam/durlobactam 15/15 mg/ml
Natriumklorid 0,9 % 4801
Kompatibel
injektion Cisatracurium besylate 0.4 mg/ml
injektion Tedizolid phosphate 0.8 mg/ml
Natriumklorid 0,9 % 3827
Kompatibel
injektion Cisatracurium besylate 0.1 >> 5 mg/ml
injektion Theophylline 3.2 mg/ml
Glukos 5 % 299
Ospecificerad inkompatibilitet Oförenlig
injektion Cisatracurium besylate
injektion Thiopental sodium
3601
Kompatibel
injektion Cisatracurium besylate 0.1 mg/ml
injektion Thiopental sodium 25 mg/ml
Glukos 5 % 299
Ospecificerad inkompatibilitet Oförenlig
injektion Cisatracurium besylate 5 mg/ml
injektion Thiopental sodium 60 mg/ml
Natriumklorid 0,9 % 3823
Omedelbar nederbörd Oförenlig
injektion Cisatracurium besylate 2 & 5 mg/ml
injektion Thiopental sodium 25 mg/ml
Glukos 5 % 299
Kompatibel
injektion Cisatracurium besylate 0.1 & 2 mg/ml
injektion Ticarcillin / clavulanic acid 30 mg/ml
Glukos 5 % 299
Omedelbar grumlighet Oförenlig
injektion Cisatracurium besylate 5 mg/ml
injektion Ticarcillin / clavulanic acid 30 mg/ml
Glukos 5 % 299
Kompatibel
injektion Cisatracurium besylate 0.1 >> 5 mg/ml
injektion Tobramycin sulfate 5 mg/ml
Glukos 5 % 299
Kompatibel
injektion Cisatracurium besylate 0.1 >> 5 mg/ml
injektion Vancomycin hydrochloride 10 mg/ml
Glukos 5 % 299
Kompatibel
injektion Cisatracurium besylate 1 mg/ml
injektion Vasopressin 1 UI/ml
Natriumklorid 0,9 % 3429
Kompatibel
injektion Cisatracurium besylate 0.1 >> 5 mg/ml
injektion Zidovudine 4 mg/ml
Glukos 5 % 299

  Mentions Légales