Poslední aktualizace :
27/04/2026
Kurarimimetikas   Cisatracurium besylate  
Įpurškimas
Tirpalų stabilumas Mišinių stabilumas Stabilumą lemiantys veiksniai Suderinamumas Leidimo būdai Bibliografija pdf
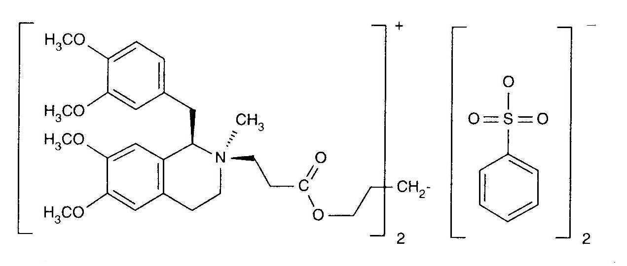
   Cheminė sandara  

Prekinis pavadinimas   Prekinis pavadinimas     

Trade names are indicative and excipients composition can be different depending on the country and manufacturers

Bensitrak Meksikas
Besilato de cisatracurio
Cicuryl Meksikas
Cirium Kolumbija
Cis Atracure
Cisatracurio Brazilija, Čilė, Ekvadoras, Ispanija, Italija, Kolumbija, Peru
Cisatracurium Airija, Belgija, Didžioji Britanija, Kanada, Prancūzija, Suomija, Tunisas, Vengrija, Vokietija
Nimbex Airija, Austrija, Belgija, Čilė, Danija, Didžioji Britanija, Egiptas, Ekvadoras, Graikija, Iranas, Ispanija, Italija, Jungtinės Amerikos Valstijos, Jungtiniai Arabų Emyratai, Kanada, Lenkija, Liuksemburgas, Malaizija, Meksikas, Norvegija, Olandija, Peru, Portugalija, Prancūzija, Saudo Arabija, Slovėnija, Suomija, Švedija, Tunisas, Turkija, Venesuela, Vengrija, Vokietija
Nimbium Brazilija, Kolumbija
Suderinamumas   Įpurškimas   Suderinamumas : Cisatracurium besylate              
explication_incompatibilite_molecules
Molekulė Tirpiklis Nuorodos
Nedelsiant krituliai Nesuderinamas
Įpurškimas Cisatracurium besylate 5 mg/ml
Įpurškimas Aciclovir sodium 7 mg/ml
Gliukozė 5% 299
Suderinamas
Įpurškimas Cisatracurium besylate 0.1 & 2 mg/ml
Įpurškimas Aciclovir sodium 7 mg/ml
Gliukozė 5% 299
Suderinamas
Įpurškimas Cisatracurium besylate
Įpurškimas Alfentanil hydrochloride
3601
Suderinamas
Įpurškimas Cisatracurium besylate 0.1 >> 5 mg/ml
Įpurškimas Alfentanil hydrochloride 125 µg/ml
Gliukozė 5% 299
Nedelsiant krituliai Nesuderinamas
Įpurškimas Cisatracurium besylate 1,2 mg/ml
Įpurškimas Alprostadil 20 µg/ml
Gliukozė 5% 4651
Nedelsiant krituliai Nesuderinamas
Įpurškimas Cisatracurium besylate 1,2 mg/ml
Įpurškimas Alprostadil 20 µg/ml
Gliukozė 5% 4491
Suderinamas
Įpurškimas Cisatracurium besylate 0.1 >> 5 mg/ml
Įpurškimas Amikacin sulfate 5 mg/ml
Gliukozė 5% 299
Suderinamas
Įpurškimas Cisatracurium besylate 0.1 & 2 mg/ml
Įpurškimas Aminophylline 2.5 mg/ml
Gliukozė 5% 299
Drumstumas per valandą Nesuderinamas
Įpurškimas Cisatracurium besylate 5 mg/ml
Įpurškimas Aminophylline 2.5 mg/ml
Gliukozė 5% 299
Suderinamas
Įpurškimas Cisatracurium besylate
Įpurškimas Amiodarone hydrochloride
3464
Suderinamas
Įpurškimas Cisatracurium besylate 5 mg/ml
Įpurškimas Amiodarone hydrochloride 15 mg/ml
Gliukozė 5% 3823
Suderinamas
Įpurškimas Cisatracurium besylate 0.1 mg/ml
Įpurškimas Amphotericin B 0.6 mg/ml
Gliukozė 5% 299
Nedelsiant krituliai Nesuderinamas
Įpurškimas Cisatracurium besylate 2 & 5 mg/ml
Įpurškimas Amphotericin B 0.6 mg/ml
Gliukozė 5% 299
Nedelsiant krituliai Nesuderinamas
Įpurškimas Cisatracurium besylate 2 mg/ml
Įpurškimas Amphotericin B cholesteryl sulfate complex 0.83 mg/ml
Gliukozė 5% 921
Drumstumas per valandą Nesuderinamas
Įpurškimas Cisatracurium besylate 5 mg/ml
Įpurškimas Ampicillin sodium 20 mg/ml
Natrio chloridas 0,9% 299
Suderinamas
Įpurškimas Cisatracurium besylate 0.1 & 2 mg/ml
Įpurškimas Ampicillin sodium 20 mg/ml
Gliukozė 5% 299
Drumstumas per valandą Nesuderinamas
Įpurškimas Cisatracurium besylate 5 mg/ml
Įpurškimas Ampicillin sodium 20 mg/ml
Gliukozė 5% 299
Tiesioginis drumstumas Nesuderinamas
Įpurškimas Cisatracurium besylate 5 mg/ml
Įpurškimas Ampicillin sodium - sulbactam sodium 20/10 mg/ml
Gliukozė 5% 299
Tiesioginis drumstumas Nesuderinamas
Įpurškimas Cisatracurium besylate 5 mg/ml
Įpurškimas Ampicillin sodium - sulbactam sodium 20/10 mg/ml
Natrio chloridas 0,9% 299
Suderinamas
Įpurškimas Cisatracurium besylate 0.1 & 2 mg/ml
Įpurškimas Ampicillin sodium - sulbactam sodium 20/10 mg/ml
Gliukozė 5% 299
Suderinamas
Įpurškimas Cisatracurium besylate 0.1 >> 5 mg/ml
Įpurškimas Aztreonam 40 mg/ml
Gliukozė 5% 299
Suderinamas
Įpurškimas Cisatracurium besylate 0.1 >> 5 mg/ml
Įpurškimas Bumetanide 0.04 mg/ml
Gliukozė 5% 299
Suderinamas
Įpurškimas Cisatracurium besylate 0.1 >> 5 mg/ml
Įpurškimas Buprenorphine hydrochloride 0.04 mg/ml
Gliukozė 5% 299
Suderinamas
Įpurškimas Cisatracurium besylate 0.1 >> 5 mg/ml
Įpurškimas Butorphanol tartrate 0.04 mg/ml
Gliukozė 5% 299
Suderinamas
Įpurškimas Cisatracurium besylate 0.1 >> 5 mg/ml
Įpurškimas Calcium gluconate 40 mg/ml
Gliukozė 5% 299
Suderinamas
Įpurškimas Cisatracurium besylate 1 mg/ml
Įpurškimas Calcium gluconate 20 mg/ml
Natrio chloridas 0,9% 3429
Tiesioginis drumstumas Nesuderinamas
Įpurškimas Cisatracurium besylate 2 & 5 mg/ml
Įpurškimas Cefazolin sodium 20 mg/ml
Gliukozė 5% 299
Suderinamas
Įpurškimas Cisatracurium besylate 0.1 mg/ml
Įpurškimas Cefazolin sodium 20 mg/ml
Gliukozė 5% 299
Suderinamas
Įpurškimas Cisatracurium besylate 0.4 mg/ml
Įpurškimas Cefiderocol sulfate tosylate 20 mg/mL
Gliukozė 5% 4528
Suderinamas
Įpurškimas Cisatracurium besylate 0.4 mg/ml
Įpurškimas Cefiderocol sulfate tosylate 20 mg/mL
Natrio chloridas 0,9% 4528
Nedelsiant krituliai Nesuderinamas
Įpurškimas Cisatracurium besylate 0.1 >> 5 mg/ml
Įpurškimas Cefoperazone sodium 40 mg/ml
Gliukozė 5% 299
Suderinamas
Įpurškimas Cisatracurium besylate 0.1 >> 5 mg/ml
Įpurškimas Cefoperazone sodium 40 mg/ml
Gliukozė 5% 299
Troebelheid in 4 uur Nesuderinamas
Įpurškimas Cisatracurium besylate 2 mg/ml
Įpurškimas Cefotaxime sodium 20 mg/ml
Gliukozė 5% 299
Tiesioginis drumstumas Nesuderinamas
Įpurškimas Cisatracurium besylate 5 mg/ml
Įpurškimas Cefotaxime sodium 20 mg/ml
Gliukozė 5% 299
Suderinamas
Įpurškimas Cisatracurium besylate 0.1 mg/ml
Įpurškimas Cefotaxime sodium 20 mg/ml
Gliukozė 5% 299
Suderinamas
Įpurškimas Cisatracurium besylate 0.1 mg/ml
Įpurškimas Cefoxitin sodium 20 mg/ml
Gliukozė 5% 299
Tiesioginis drumstumas Nesuderinamas
Įpurškimas Cisatracurium besylate 2 & 5 mg/ml
Įpurškimas Cefoxitin sodium 20 mg/ml
Gliukozė 5% 299
Suderinamas
Įpurškimas Cisatracurium besylate 0,5 mg/ml
Įpurškimas Ceftaroline fosamil 2,22 mg/ml
Ringerio laktato tirpalas 3249
Suderinamas
Įpurškimas Cisatracurium besylate 0,5 mg/ml
Įpurškimas Ceftaroline fosamil 2,22 mg/ml
Gliukozė 5% 3249
Suderinamas
Įpurškimas Cisatracurium besylate 0,5 mg/ml
Įpurškimas Ceftaroline fosamil 2,22 mg/ml
Natrio chloridas 0,9% 3249
Tiesioginis drumstumas Nesuderinamas
Įpurškimas Cisatracurium besylate 5 mg/ml
Įpurškimas Ceftazidime 40 mg/ml
Gliukozė 5% 299
Suderinamas
Įpurškimas Cisatracurium besylate 0.1 & 2 mg/ml
Įpurškimas Ceftazidime 40 mg/ml
Gliukozė 5% 299
Suderinamas
Įpurškimas Cisatracurium besylate 0.1 & 2 mg/ml
Įpurškimas Ceftizoxime sodium 20 mg/ml
Gliukozė 5% 299
Drumstumas per valandą Nesuderinamas
Įpurškimas Cisatracurium besylate 5 mg/ml
Įpurškimas Ceftizoxime sodium 20 mg/ml
Gliukozė 5% 299
Nedelsiant krituliai Nesuderinamas
Įpurškimas Cisatracurium besylate 0.5 mg/ml
Įpurškimas Ceftobiprole medocaril sodium 2 mg/ml
Natrio chloridas 0,9% 2269
Nedelsiant krituliai Nesuderinamas
Įpurškimas Cisatracurium besylate 0.5 mg/ml
Įpurškimas Ceftobiprole medocaril sodium 2 mg/ml
Ringerio laktato tirpalas 2269
Nedelsiant krituliai Nesuderinamas
Įpurškimas Cisatracurium besylate 0.5 mg/ml
Įpurškimas Ceftobiprole medocaril sodium 2 mg/ml
Gliukozė 5% 2269
Nepatikslintas nesuderinamumas Nesuderinamas
Įpurškimas Cisatracurium besylate
Įpurškimas Ceftobiprole medocaril sodium
4650
Suderinamas
Įpurškimas Cisatracurium besylate 0.4 mg/ml
Įpurškimas Ceftolozane / tazobactam 10/5 mg/ml
Gliukozė 5% 3828
Suderinamas
Įpurškimas Cisatracurium besylate 0.4 mg/ml
Įpurškimas Ceftolozane / tazobactam 10/5 mg/ml
Natrio chloridas 0,9% 3828
Suderinamas
Įpurškimas Cisatracurium besylate 0.1 >> 5 mg/ml
Įpurškimas Ceftriaxone disodium 20 mg/ml
Gliukozė 5% 299
Nedelsiant krituliai Nesuderinamas
Įpurškimas Cisatracurium besylate 2 & 5 mg/ml
Įpurškimas Cefuroxime sodium 30 mg/ml
Gliukozė 5% 299
Suderinamas
Įpurškimas Cisatracurium besylate 0.1 >> 5 mg/ml
Įpurškimas Chlorpromazine hydrochloride 2 mg/ml
Gliukozė 5% 299
Suderinamas
Įpurškimas Cisatracurium besylate 0.1 >> 5 mg/ml
Įpurškimas Cimetidine hydrochloride 12 mg/ml
Gliukozė 5% 299
Suderinamas
Įpurškimas Cisatracurium besylate 0.1 >> 5 mg/ml
Įpurškimas Ciprofloxacin lactate 1 mg/ml
Gliukozė 5% 299
Suderinamas
Įpurškimas Cisatracurium besylate 0.1 >> 5 mg/ml
Įpurškimas Clindamycin phosphate 10 mg/ml
Gliukozė 5% 299
Suderinamas
Įpurškimas Cisatracurium besylate 5 mg/ml
Įpurškimas Clonazepam 0.2 mg/ml
Natrio chloridas 0,9% 3823
Suderinamas
Įpurškimas Cisatracurium besylate 5 mg/ml
Įpurškimas Clonidine hydrochloride 0.012 mg/ml
Natrio chloridas 0,9% 3823
Tiesioginis drumstumas Nesuderinamas
Įpurškimas Cisatracurium besylate 2 & 5 mg/ml
Įpurškimas Co-trimoxazole 0,8/4 mg/ml
Gliukozė 5% 299
Suderinamas
Įpurškimas Cisatracurium besylate 0.1 mg/ml
Įpurškimas Co-trimoxazole 0.8/4 mg/ml
Gliukozė 5% 299
Suderinamas
Įpurškimas Cisatracurium besylate 0.5 mg/ml
Įpurškimas Dexmedetomidine 4 µg/ml
Natrio chloridas 0,9% 1712
Suderinamas
Įpurškimas Cisatracurium besylate 0.1 >> 5 mg/ml
Įpurškimas Diazepam 0.25 mg/ml
Gliukozė 5% 299
Nedelsiant krituliai Nesuderinamas
Įpurškimas Cisatracurium besylate 0.1 >> 5 mg/ml
Įpurškimas Diazepam 5 mg/ml
Gliukozė 5% 299
Nepatikslintas nesuderinamumas Nesuderinamas
Įpurškimas Cisatracurium besylate 5 mg/ml
Įpurškimas Diclofenac 3 mg/ml
Natrio chloridas 0,9% 3823
Suderinamas
Įpurškimas Cisatracurium besylate 0.1 >> 5 mg/ml
Įpurškimas Digoxin 250 µg/ml
Gliukozė 5% 299
Suderinamas
Įpurškimas Cisatracurium besylate 1 mg/ml
Įpurškimas Diltiazem hydrochloride 1 mg/ml
Natrio chloridas 0,9% 3429
Suderinamas
Įpurškimas Cisatracurium besylate 0.1 >> 5 mg/ml
Įpurškimas Diphenhydramine hydrochloride 2 mg/ml
Gliukozė 5% 299
Suderinamas
Įpurškimas Cisatracurium besylate 0.1 >> 5 mg/ml
Įpurškimas Dobutamine hydrochloride 4 mg/ml
Gliukozė 5% 299
Suderinamas
Įpurškimas Cisatracurium besylate 0.1 >> 5 mg/ml
Įpurškimas Dopamine hydrochloride 3.2 mg/ml
Gliukozė 5% 299
Suderinamas
Įpurškimas Cisatracurium besylate 0.1 >> 5 mg/ml
Įpurškimas Doxycycline hyclate 1 mg/ml
Gliukozė 5% 299
Suderinamas
Įpurškimas Cisatracurium besylate
Įpurškimas Droperidol
3601
Suderinamas
Įpurškimas Cisatracurium besylate 0.1 >> 5 mg/ml
Įpurškimas Droperidol 2.5 mg/ml
Gliukozė 5% 299
Suderinamas
Įpurškimas Cisatracurium besylate 0.1 >> 5 mg/ml
Įpurškimas Enalaprilate 0.1 mg/ml
Gliukozė 5% 299
Suderinamas
Įpurškimas Cisatracurium besylate 0.1 >> 5 mg/ml
Įpurškimas Epinephrine hydrochloride 50 µg/ml
Gliukozė 5% 299
Suderinamas
Įpurškimas Cisatracurium besylate 0,4 mg/ml
Įpurškimas Eravacycline 0,6 mg/ml
Natrio chloridas 0,9% 4434
Suderinamas
Įpurškimas Cisatracurium besylate 0.1 >> 5 mg/ml
Įpurškimas Esmolol hydrochloride 10 mg/ml
Gliukozė 5% 299
Suderinamas
Įpurškimas Cisatracurium besylate 0.4 mg/ml
Įpurškimas Fosfomycin 30 mg/ml
Gliukozė 5% 4055
Tiesioginis drumstumas Nesuderinamas
Įpurškimas Cisatracurium besylate 5 mg/ml
NaHCO3 3823
Suderinamas
Įpurškimas Cisatracurium besylate 5 mg/ml
Įpurškimas Esmolol hydrochloride 10 mg/ml
Natrio chloridas 0,9% 3823
Suderinamas
Įpurškimas Cisatracurium besylate 2 mg/ml
Įpurškimas Esmolol hydrochloride 10 mg/ml
Natrio chloridas 0,9% 3879
Suderinamas
Įpurškimas Cisatracurium besylate 1 mg/ml
Įpurškimas Esomeprazole sodium 0,4 mg/ml
Natrio chloridas 0,9% 3429
Suderinamas
Įpurškimas Cisatracurium besylate 0.1 >> 5 mg/ml
Įpurškimas Famotidine 2 mg/ml
Gliukozė 5% 299
Suderinamas
Įpurškimas Cisatracurium besylate 0.5 mg/ml
Įpurškimas Fenoldopam mesylate 80 µg/ml
Natrio chloridas 0,9% 1803
Suderinamas
Įpurškimas Cisatracurium besylate 0.1 >> 5 mg/ml
Įpurškimas Fentanyl citrate 12.5 µg/ml
Gliukozė 5% 299
Suderinamas
Įpurškimas Cisatracurium besylate
Įpurškimas Fentanyl citrate
3601
Suderinamas
Įpurškimas Cisatracurium besylate 0.1 >> 5 mg/ml
Įpurškimas Fluconazole 2 mg/ml
Gliukozė 5% 299
Suderinamas
Įpurškimas Cisatracurium besylate 0.4 mg/ml
Įpurškimas Fosfomycin 30 mg/ml
Natrio chloridas 0,9% 4055
Nepatikslintas nesuderinamumas Nesuderinamas
Įpurškimas Cisatracurium besylate
Įpurškimas Furosemide
3465
Tiesioginis drumstumas Nesuderinamas
Įpurškimas Cisatracurium besylate 2 & 5 mg/ml
NaHCO3 299
Nedelsiant krituliai Nesuderinamas
Įpurškimas Cisatracurium besylate 5 mg/ml
Įpurškimas Furosemide 10 mg/ml
Natrio chloridas 0,9% 3463
Suderinamas
Įpurškimas Cisatracurium besylate 0.1 mg/ml
Įpurškimas Furosemide 3 mg/ml
Gliukozė 5% 299
Nepatikslintas nesuderinamumas Nesuderinamas
Įpurškimas Cisatracurium besylate 5 mg/ml
Įpurškimas Furosemide 10 mg/ml
Natrio chloridas 0,9% 3823
Nedelsiant krituliai Nesuderinamas
Įpurškimas Cisatracurium besylate 5 mg/ml
Įpurškimas Ganciclovir sodium 20 mg/ml
Gliukozė 5% 299
Nepatikslintas nesuderinamumas Nesuderinamas
Įpurškimas Cisatracurium besylate
NaHCO3 3466
Suderinamas
Įpurškimas Cisatracurium besylate 0.1 & 2 mg/ml
Įpurškimas Ganciclovir sodium 20 mg/ml
Gliukozė 5% 299
Nepatikslintas nesuderinamumas Nesuderinamas
Įpurškimas Cisatracurium besylate
NaHCO3 3601
Nedelsiant krituliai Nesuderinamas
Įpurškimas Cisatracurium besylate 2 & 5 mg/ml
Įpurškimas Furosemide 3 mg/ml
Gliukozė 5% 299
Nepatikslintas nesuderinamumas Nesuderinamas
Įpurškimas Cisatracurium besylate 5 mg/ml
Įpurškimas Furosemide 10 mg/ml
Nėra 3134
Suderinamas
Įpurškimas Cisatracurium besylate 0.1 >> 5 mg/ml
Įpurškimas Gentamicin sulfate 5 mg/ml
Gliukozė 5% 299
Suderinamas
Įpurškimas Cisatracurium besylate 0.1 >> 5 mg/ml
Įpurškimas Haloperidol lactate 0.2 mg/ml
Gliukozė 5% 299
Nedelsiant krituliai Nesuderinamas
Įpurškimas Cisatracurium besylate 5 mg/ml
Įpurškimas Heparin sodium 100 UI/ml
Gliukozė 5% 299
Emulsijos nestabilumas po 4 valandų Nesuderinamas
Įpurškimas Cisatracurium besylate 2 mg/ml
Parenteriniu būdu (su lipidų) 4507
Nepatikslintas nesuderinamumas Nesuderinamas
Įpurškimas Cisatracurium besylate
Ringerio laktato tirpalas 3601
Spalvos pasikeitimas Nesuderinamas
Įpurškimas Cisatracurium besylate 5 mg/ml
Įpurškimas Heparin sodium 500 UI/ml
Natrio chloridas 0,9% 3463
Suderinamas
Įpurškimas Cisatracurium besylate 0.1 & 2 mg/ml
Įpurškimas Heparin sodium 100 UI/ml
Gliukozė 5% 299
Nepatikslintas nesuderinamumas Nesuderinamas
Įpurškimas Cisatracurium besylate 5 mg/ml
Įpurškimas Heparin sodium 500 UI/ml
Natrio chloridas 0,9% 3823
Suderinamas
Įpurškimas Cisatracurium besylate
Gliukozė 5% 3601
Nepatikslintas nesuderinamumas Nesuderinamas
Įpurškimas Cisatracurium besylate
Įpurškimas Heparin sodium
3540
Suderinamas
Įpurškimas Cisatracurium besylate 0.5 mg/ml
Įpurškimas Hetastarch 60 mg/ml
specifinis tirpiklis 1721
Suderinamas
Įpurškimas Cisatracurium besylate 0.1 >> 5 mg/ml
Įpurškimas Hydrocortisone sodium succinate 1 mg/ml
Gliukozė 5% 299
Suderinamas
Įpurškimas Cisatracurium besylate 2 mg/ml
Įpurškimas Hydrocortisone sodium succinate 1 mg/ml
Natrio chloridas 0,9% 4465
Suderinamas
Įpurškimas Cisatracurium besylate 0.1 >> 5 mg/ml
Įpurškimas Hydromorphone hydrochloride 0.5 mg/ml
Gliukozė 5% 299
Suderinamas
Įpurškimas Cisatracurium besylate 0.1 >> 5 mg/ml
Įpurškimas Hydroxyzine dihydrochloride 2 mg/ml
Gliukozė 5% 299
Suderinamas
Įpurškimas Cisatracurium besylate 0.1 >> 5 mg/ml
Įpurškimas Imipenem - cilastatin sodium 10 mg/ml
Gliukozė 5% 299
Suderinamas
Įpurškimas Cisatracurium besylate 0,4 mg/ml
Įpurškimas Imipenem-Cilastatin / Relebactam 5 mg/ml
Natrio chloridas 0,9% 4433
Suderinamas
Įpurškimas Cisatracurium besylate 0,4 mg/ml
Įpurškimas Imipenem-Cilastatin / Relebactam 5 mg/ml
Gliukozė 5% 4433
Suderinamas
Įpurškimas Cisatracurium besylate 1 mg/ml
Įpurškimas Insulin 1 UI/ml
Natrio chloridas 0,9% 3429
Suderinamas
Įpurškimas Cisatracurium besylate 5 mg/ml
Įpurškimas Insulin 2 UI/ml
Natrio chloridas 0,9% 3823
Suderinamas
Įpurškimas Cisatracurium besylate 0.4 mg/ml
Įpurškimas Isavuconazonium sulfate 1.5 mg/ml
Natrio chloridas 0,9% 3829
Suderinamas
Įpurškimas Cisatracurium besylate 0.4 mg/ml
Įpurškimas Isavuconazonium sulfate 1.5 mg/ml
Gliukozė 5% 3829
Suderinamas
Įpurškimas Cisatracurium besylate 0.1 >> 5 mg/ml
Įpurškimas Isoprenaline hydrochloride 0.02 mg/ml
Gliukozė 5% 299
Suderinamas
Įpurškimas Cisatracurium besylate 0.1 >> 5 mg/ml
Įpurškimas Ketorolac tromethamine 15 mg/ml
Gliukozė 5% 299
Nepatikslintas nesuderinamumas Nesuderinamas
Įpurškimas Cisatracurium besylate
Įpurškimas Ketorolac tromethamine
3601
Suderinamas
Įpurškimas Cisatracurium besylate 0.1 >> 5 mg/ml
Įpurškimas Lorazepam 0.5 mg/ml
Gliukozė 5% 299
Suderinamas
Įpurškimas Cisatracurium besylate 0.1 >> 5 mg/ml
Įpurškimas Magnesium sulfate 100 mg/ml
Gliukozė 5% 299
Suderinamas
Įpurškimas Cisatracurium besylate 0.1 >> 5 mg/ml
Įpurškimas Mannitol 150 mg/ml
Gliukozė 5% 299
Suderinamas
Įpurškimas Cisatracurium besylate
Natrio chloridas 0,9% 3601
Suderinamas
Įpurškimas Cisatracurium besylate 2 mg/ml
Įpurškimas Labetalol hydrochloride 5 mg/ml
Natrio chloridas 0,9% 3879
Suderinamas
Įpurškimas Cisatracurium besylate 1 mg/ml
Įpurškimas Levetiracetam 5 mg/ml
Natrio chloridas 0,9% 4569
Suderinamas
Įpurškimas Cisatracurium besylate 0.1 >> 5 mg/ml
Įpurškimas Lidocaine hydrochloride 8 mg/ml
Gliukozė 5% 299
Suderinamas
Įpurškimas Cisatracurium besylate 2 mg/ml
Įpurškimas Linezolid 2 mg/ml
Nėra 1925
Suderinamas
Įpurškimas Cisatracurium besylate 0.1 mg/ml
Įpurškimas Methylprednisolone sodium succinate 5 mg/ml
Gliukozė 5% 299
Tiesioginis drumstumas Nesuderinamas
Įpurškimas Cisatracurium besylate 2 & 5 mg/ml
Įpurškimas Methylprednisolone sodium succinate 5 mg/ml
Gliukozė 5% 299
Suderinamas
Įpurškimas Cisatracurium besylate 0.1 >> 5 mg/ml
Įpurškimas Metoclopramide hydrochloride 5 mg/ml
Gliukozė 5% 299
Suderinamas
Įpurškimas Cisatracurium besylate 2 mg/ml
Įpurškimas Metoprolol tartrate 0.4 mg/ml
Natrio chloridas 0,9% 3879
Suderinamas
Įpurškimas Cisatracurium besylate 0.1 >> 5 mg/ml
Įpurškimas Metronidazole 5 mg/ml
Gliukozė 5% 299
Nedelsiant krituliai Nesuderinamas
Įpurškimas Cisatracurium besylate 0.5 mg/ml
Įpurškimas Micafungin 1.5 mg/ml
Natrio chloridas 0,9% 2108
Suderinamas
Įpurškimas Cisatracurium besylate
Įpurškimas Midazolam hydrochloride
3601
Suderinamas
Įpurškimas Cisatracurium besylate 5 mg/ml
Įpurškimas Midazolam hydrochloride 2.1 mg/ml
Natrio chloridas 0,9% 3823
Suderinamas
Įpurškimas Cisatracurium besylate 0.1 >> 5 mg/ml
Įpurškimas Midazolam hydrochloride 1 mg/ml
Gliukozė 5% 299
Suderinamas
Įpurškimas Cisatracurium besylate 0.1 >> 5 mg/ml
Įpurškimas Minocycline hydrochloride 0.2 mg/ml
Gliukozė 5% 299
Suderinamas
Įpurškimas Cisatracurium besylate 0.1 >> 5 mg/ml
Įpurškimas Morphine sulfate 1 mg/ml
Gliukozė 5% 299
Suderinamas
Įpurškimas Cisatracurium besylate 0.1 >> 5 mg/ml
Įpurškimas Nalbuphine hydrochloride 10 mg/ml
Gliukozė 5% 299
Suderinamas
Įpurškimas Cisatracurium besylate 0.1 >> 5 mg/ml
Įpurškimas Netilmicin sulfate 5 mg/ml
Gliukozė 5% 299
Suderinamas
Įpurškimas Cisatracurium besylate 1 mg/ml
Įpurškimas Nicardipine hydrochloride 0,5 mg/ml
Natrio chloridas 0,9% 3429
Suderinamas
Įpurškimas Cisatracurium besylate 5 mg/ml
Įpurškimas Nimodipine 0.2 mg/ml
Natrio chloridas 0,9% 3823
Suderinamas
Įpurškimas Cisatracurium besylate 0.1 >> 5 mg/ml
Įpurškimas Nitroglycerin 0.4 mg/ml
Gliukozė 5% 299
Suderinamas
Įpurškimas Cisatracurium besylate 5 mg/ml
Įpurškimas Nitroglycerin 0.2 mg/ml
Gliukozė 5% 3823
Nedelsiant krituliai Nesuderinamas
Įpurškimas Cisatracurium besylate 2 & 5 mg/ml
Įpurškimas Nitroprusside sodium 2 mg/ml
Gliukozė 5% 299
Suderinamas
Įpurškimas Cisatracurium besylate 0.1 mg/ml
Įpurškimas Nitroprusside sodium 2 mg/ml
Gliukozė 5% 299
Suderinamas
Įpurškimas Cisatracurium besylate 0.1 >> 5 mg/ml
Įpurškimas Norepinephrine bitartrate 0.12 mg/ml
Gliukozė 5% 299
Suderinamas
Įpurškimas Cisatracurium besylate 0.1 >> 5 mg/ml
Įpurškimas Ofloxacin 4 mg/ml
Gliukozė 5% 299
Suderinamas
Įpurškimas Cisatracurium besylate 5 mg/ml
Įpurškimas Omeprazole sodium 1.6 mg/ml
Natrio chloridas 0,9% 3823
Suderinamas
Įpurškimas Cisatracurium besylate 0.1 >> 5 mg/ml
Įpurškimas Ondansetron hydrochloride 1 mg/ml
Gliukozė 5% 299
Suderinamas
Įpurškimas Cisatracurium besylate 0,5 mg/ml
Įpurškimas Palonosetron hydrochloride 50 µg/ml
Gliukozė 5% 2227
Drumstumas per valandą Nesuderinamas
Įpurškimas Cisatracurium besylate 1 mg/ml
Įpurškimas Pantoprazole sodium 0,8 mg/ml
Natrio chloridas 0,9% 3429
Suderinamas
Įpurškimas Cisatracurium besylate 0.1 >> 5 mg/ml
Įpurškimas Pethidine hydrochloride 4 mg/ml
Gliukozė 5% 299
Suderinamas
Įpurškimas Cisatracurium besylate 0.1 >> 5 mg/ml
Įpurškimas Phenylephrine hydrochloride 1 mg/ml
Gliukozė 5% 299
Suderinamas
Įpurškimas Cisatracurium besylate 0.1 mg/ml
Įpurškimas Piperacillin sodium 40 mg/ml
Gliukozė 5% 299
Tiesioginis drumstumas Nesuderinamas
Įpurškimas Cisatracurium besylate 2 & 5 mg/ml
Įpurškimas Piperacillin sodium 40 mg/ml
Gliukozė 5% 299
Suderinamas
Įpurškimas Cisatracurium besylate 0.1 & 2 mg/ml
Įpurškimas Piperacillin sodium / tazobactam 40/5 mg/ml
Gliukozė 5% 299
Krituliai po 4 valandų Nesuderinamas
Įpurškimas Cisatracurium besylate 5 mg/ml
Įpurškimas Piperacillin sodium / tazobactam 40/5 mg/ml
Gliukozė 5% 299
Suderinamas
Įpurškimas Cisatracurium besylate 0.4 mg/ml
Įpurškimas Plazomicin sulfate 24 mg/ml
Natrio chloridas 0,9% 4145
Suderinamas
Įpurškimas Cisatracurium besylate 0.1 >> 5 mg/ml
Įpurškimas Potassium chloride 100 mEq/l
Gliukozė 5% 299
Suderinamas
Įpurškimas Cisatracurium besylate 5 mg/ml
Įpurškimas Potassium chloride 10 mEq/l
Natrio chloridas 0,9% 3823
Suderinamas
Įpurškimas Cisatracurium besylate 0.1 >> 5 mg/ml
Įpurškimas Procainamide hydrochloride 10 mg/ml
Gliukozė 5% 299
Suderinamas
Įpurškimas Cisatracurium besylate 0.1 >> 5 mg/ml
Įpurškimas Prochlorperazine edysilate 0.5 mg/ml
Gliukozė 5% 299
Suderinamas
Įpurškimas Cisatracurium besylate 0.1 >> 5 mg/ml
Įpurškimas Promethazine hydrochloride 2 mg/ml
Gliukozė 5% 299
Nepatikslintas nesuderinamumas Nesuderinamas
Įpurškimas Cisatracurium besylate
Įpurškimas Propofol
3601
Suderinamas
Įpurškimas Cisatracurium besylate 0.1 >> 5 mg/ml
Įpurškimas Ranitidine hydrochloride 2 mg/ml
Gliukozė 5% 299
Suderinamas
Įpurškimas Cisatracurium besylate 5 mg/ml
Įpurškimas Remifentanil hydrochloride 100 µg/ml
Natrio chloridas 0,9% 3823
Suderinamas
Įpurškimas Cisatracurium besylate 2 mg/ml
Įpurškimas Remifentanil hydrochloride 25 & 250 µg/ml
Natrio chloridas 0,9% 59
Nepatikslintas nesuderinamumas Nesuderinamas
Įpurškimas Cisatracurium besylate
Įpurškimas Sodium bicarbonate
3466
Drumstumas per valandą Nesuderinamas
Įpurškimas Cisatracurium besylate 2 mg/ml
Įpurškimas Sodium bicarbonate 84 mg/ml
Gliukozė 5% 299
Nepatikslintas nesuderinamumas Nesuderinamas
Įpurškimas Cisatracurium besylate
Įpurškimas Sodium bicarbonate
3601
Suderinamas
Įpurškimas Cisatracurium besylate 0.1 mg/ml
Įpurškimas Sodium bicarbonate 84 mg/ml
Gliukozė 5% 299
Tiesioginis drumstumas Nesuderinamas
Įpurškimas Cisatracurium besylate 5 mg/ml
Įpurškimas Sodium bicarbonate 84 mg/ml
Gliukozė 5% 299
Drumstumas per 2 valandas Nesuderinamas
Įpurškimas Cisatracurium besylate 5 mg/ml
Įpurškimas Sodium bicarbonate 84 mg/ml
Nėra 3212
Suderinamas
Įpurškimas Cisatracurium besylate 0.1 >> 5 mg/ml
Įpurškimas Sufentanil citrate 0.0125 mg/ml
Gliukozė 5% 299
Suderinamas
Įpurškimas Cisatracurium besylate
Įpurškimas Sufentanil citrate
3601
Suderinamas
Įpurškimas Cisatracurium besylate 0,4 mg/ml
Įpurškimas Sulbactam/durlobactam 15/15 mg/ml
Natrio chloridas 0,9% 4801
Suderinamas
Įpurškimas Cisatracurium besylate 0.4 mg/ml
Įpurškimas Tedizolid phosphate 0.8 mg/ml
Natrio chloridas 0,9% 3827
Suderinamas
Įpurškimas Cisatracurium besylate 0.1 >> 5 mg/ml
Įpurškimas Theophylline 3.2 mg/ml
Gliukozė 5% 299
Nepatikslintas nesuderinamumas Nesuderinamas
Įpurškimas Cisatracurium besylate
Įpurškimas Thiopental sodium
3601
Suderinamas
Įpurškimas Cisatracurium besylate 0.1 mg/ml
Įpurškimas Thiopental sodium 25 mg/ml
Gliukozė 5% 299
Nepatikslintas nesuderinamumas Nesuderinamas
Įpurškimas Cisatracurium besylate 5 mg/ml
Įpurškimas Thiopental sodium 60 mg/ml
Natrio chloridas 0,9% 3823
Nedelsiant krituliai Nesuderinamas
Įpurškimas Cisatracurium besylate 2 & 5 mg/ml
Įpurškimas Thiopental sodium 25 mg/ml
Gliukozė 5% 299
Suderinamas
Įpurškimas Cisatracurium besylate 0.1 & 2 mg/ml
Įpurškimas Ticarcillin / clavulanic acid 30 mg/ml
Gliukozė 5% 299
Tiesioginis drumstumas Nesuderinamas
Įpurškimas Cisatracurium besylate 5 mg/ml
Įpurškimas Ticarcillin / clavulanic acid 30 mg/ml
Gliukozė 5% 299
Suderinamas
Įpurškimas Cisatracurium besylate 0.1 >> 5 mg/ml
Įpurškimas Tobramycin sulfate 5 mg/ml
Gliukozė 5% 299
Suderinamas
Įpurškimas Cisatracurium besylate 0.1 >> 5 mg/ml
Įpurškimas Vancomycin hydrochloride 10 mg/ml
Gliukozė 5% 299
Suderinamas
Įpurškimas Cisatracurium besylate 1 mg/ml
Įpurškimas Vasopressin 1 UI/ml
Natrio chloridas 0,9% 3429
Suderinamas
Įpurškimas Cisatracurium besylate 0.1 >> 5 mg/ml
Įpurškimas Zidovudine 4 mg/ml
Gliukozė 5% 299

  Mentions Légales