Cập nhật lần cuối :
27/04/2026
Kháng sinh   Daptomycin  
Dạng tiêm
Tính ổn định của các dung dịch Độ ổn định khi trộn lẫn Những yếu tố ảnh hưởng đến độ ổn định Khả năng tương thích Đường dùng Tài liệu tham khảo Pdf
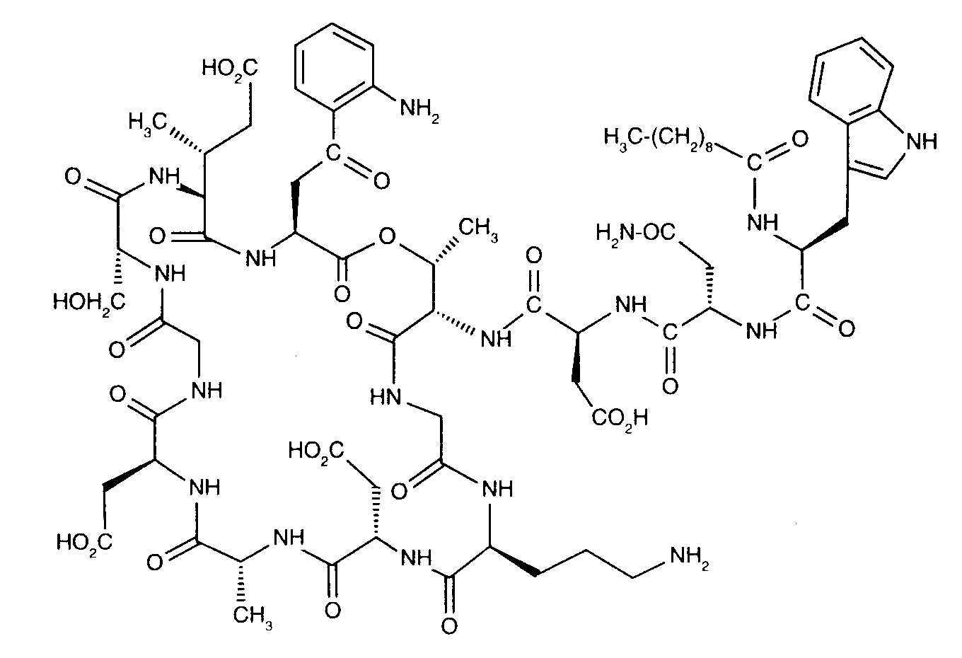
   Cấu trúc hóa học  

Tên thương mại   Tên thương mại     

Các tên thương mại được cung cấp và thành phần tá dược có thể khác nhau giữa các quốc gia và các hãng dược

Cubicin Ấn Độ, Anh, Áo, Argentina, Ba Lan, Bồ Đào Nha, Canada, Chile, Colombia, Hà Lan, Hoa Kỳ, Hungary, Hy Lạp, Iceland, Ireland, Malaysia, Mexico, Na Uy, new zealand, Nhật, Phần Lan, Pháp, Romania, Tây Ban Nha, Thổ Nhĩ Kỳ, Thụy Sỹ, Thụy Điển, Úc, Venezuela, Ý, Đan Mạch, Đức
Daptomicina Argentina, Tây Ban Nha, Ý
Daptomicine Anh, Hungary, Na Uy, Phần Lan, Đức
Exfuno Brazil, Chile
Stenkivar Nigeria
Trisk Brazil
Khả năng tương thích   Dạng tiêm   Khả năng tương thích : Daptomycin              
Màn hình này cho biết khả năng tương thích hoặc không tương thích, trong trường hợp này là loại không tương thích (kết tủa, thay đổi màu sắc, sửa đổi nhũ tương, v.v.). Sự tương hợp được chỉ ra ở đây chủ yếu chỉ là vật lý, với độ ổn định hóa học của mỗi phân tử hiếm khi được đánh giá. Việc đánh giá các hỗn hợp này được nghiên cứu để xem xét khả năng sử dụng vị trí Y cho bệnh nhân. Những dữ liệu này không thể được sử dụng để tạo hỗn hợp trước trong túi hoặc ống tiêm. Loại thông tin này có sẵn trong màn hình "Độ ổn định trong hỗn hợp».
Phân tử Dung môi Mục lục
Tương thích
Dạng tiêm Daptomycin
Dạng tiêm Aztreonam
2271
Lượng mưa ngay lập tức Không tương thích
Dạng tiêm Daptomycin 6.1 mg/ml
Dạng tiêm Blinatumomab 0.125 & 0.375 µg/ml
NaCl 0,9% 3976
Không tương thích không xác định Không tương thích
Dạng tiêm Daptomycin
Glucose 5% 2271
Không ổn định hóa học Không tương thích
Dạng tiêm Daptomycin
Glucose 5% 3439
Tương thích
Dạng tiêm Daptomycin 16,7 mg/ml
Dạng tiêm Aztreonam 16,7 mg/ml
NaCl 0,9% 1937
Tương thích
Dạng tiêm Daptomycin
NaCl 0,9% 2271
Tương thích
Dạng tiêm Daptomycin 10 mg/ml
Dạng tiêm Caspofungin acetate 0,7 mg/ml
NaCl 0,9% 2247
Không tương thích không xác định Không tương thích
Dạng tiêm Daptomycin
NaCl 0,45% Glucose 2,5% 2271
Tương thích
Dạng tiêm Daptomycin 21 mg/ml
Dạng tiêm Cefepime dihydrochloride 83.3 mg/ml
Glucose 5% 4254
Tương thích
Dạng tiêm Daptomycin 21 mg/ml
Dạng tiêm Cefepime dihydrochloride 83.3 mg/ml
NaCl 0,9% 4254
Tương thích
Dạng tiêm Daptomycin 20 mg/ml
Dạng tiêm Cefiderocol sulfate tosylate 20 mg/mL
Glucose 5% 4528
Tương thích
Dạng tiêm Daptomycin 20 mg/ml
Dạng tiêm Cefiderocol sulfate tosylate 20 mg/mL
NaCl 0,9% 4528
Tương thích
Dạng tiêm Daptomycin
Dạng tiêm Ceftazidime
2271
Tương thích
Dạng tiêm Daptomycin 16,7 mg/ml
Dạng tiêm Ceftazidime 16,7 mg/ml
NaCl 0,9% 1937
Tương thích
Dạng tiêm Daptomycin 10 mg/ml
Dạng tiêm Ceftolozane / tazobactam 10/5 mg/ml
NaCl 0,9% 3828
Tương thích
Dạng tiêm Daptomycin
Dạng tiêm Ceftriaxone disodium
2271
Tương thích
Dạng tiêm Daptomycin 16,7 mg/ml
Dạng tiêm Ceftriaxone disodium 16,7 mg/ml
NaCl 0,9% 1937
Tương thích
Dạng tiêm Daptomycin 18,2 mg/ml
Dạng tiêm Dopamine hydrochloride 3,6 mg/ml
NaCl 0,9% 1937
Tương thích
Dạng tiêm Daptomycin 6,3 mg/ml
Dạng tiêm Fluconazole 1,3 mg/ml
NaCl 0,9% 1937
Tương thích
Dạng tiêm Daptomycin
Dạng tiêm Fluconazole
2271
Tương thích
Dạng tiêm Daptomycin 19,2 mg/ml
Dạng tiêm Gentamicin sulfate 1,5 mg/ml
NaCl 0,9% 1937
Tương thích
Dạng tiêm Daptomycin
Dạng tiêm Gentamicin sulfate
2271
Không tương thích không xác định Không tương thích
Dạng tiêm Daptomycin
NaCl 0,45% Glucose 5% 2271
Tương thích
Dạng tiêm Daptomycin
Dạng tiêm Dopamine hydrochloride
2271
Tương thích
Dạng tiêm Daptomycin 10 mg/ml
Dạng tiêm Doripenem 5 mg/ml
Glucose 5% 2262
Tương thích
Dạng tiêm Daptomycin 10 mg/ml
Dạng tiêm Doripenem 5 mg/ml
NaCl 0,9% 2262
Độ đục ngay lập tức Không tương thích
Dạng tiêm Daptomycin 20 mg/ml
Dạng tiêm Fosfomycin 30 mg/ml
NaCl 0,9% 4055
Tương thích
Dạng tiêm Daptomycin 19,6 mg/ml
Dạng tiêm Heparin sodium 98 UI/ml
NaCl 0,9% 1937
Tương thích
Dạng tiêm Daptomycin
Dạng tiêm Heparin sodium
2271
Tương thích
Dạng tiêm Daptomycin 10 mg/ml
Dạng tiêm Isavuconazonium sulfate 1.5 mg/ml
NaCl 0,9% 3829
Tương thích
Dạng tiêm Daptomycin 14,3 mg/ml
Dạng tiêm Levofloxacine 7,1 mg/ml
NaCl 0,9% 1937
Tương thích
Dạng tiêm Daptomycin
Dạng tiêm Levofloxacine
2271
Tương thích
Dạng tiêm Daptomycin 16,7 mg/ml
Dạng tiêm Lidocaine hydrochloride 3,3 mg/ml
NaCl 0,9% 1937
Tương thích
Dạng tiêm Daptomycin
Dạng tiêm Lidocaine hydrochloride
2271
Độ đục ngay lập tức Không tương thích
Dạng tiêm Daptomycin 20 mg/ml
Dạng tiêm Plazomicin sulfate 24 mg/ml
NaCl 0,9% 4145
Tương thích
Dạng tiêm Daptomycin
Dạng tiêm Posaconazole
4380
Tương thích
Dạng tiêm Daptomycin 5 mg/ml
Dạng tiêm Sodium bicarbonate 40 mg/ml
Không 3122
Độ đục trong một giờ Không tương thích
Dạng tiêm Daptomycin 20 mg/ml
Dạng tiêm Sulbactam/durlobactam 15/15 mg/ml
NaCl 0,9% 4801
Tương thích
Dạng tiêm Daptomycin 10 mg/ml
Dạng tiêm Tedizolid phosphate 0.8 mg/ml
NaCl 0,9% 3827
Tương thích
Dạng tiêm Daptomycin 21 mg/ml
Dạng tiêm Thiamine hydrochloride 0.2 mg/ml
NaCl 0,9% 4254
Không ổn định hóa học Không tương thích
Dạng tiêm Daptomycin
Glucose 10% 3439

  Mentions Légales