Siste oppdatering :
27/01/2026
Antibiotika   Daptomycin  
Injeksjon
Oppløsningsstabilitet Stabilitet i blandinger Faktorer som påvirker stabiliteten Kompatibilitet Administrasjonsmåte Referanser pdf
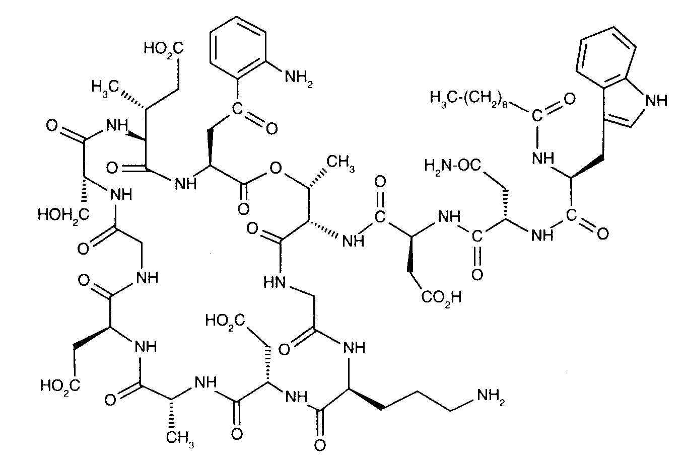
   Kjemisk struktur  

Handelsnavn   Handelsnavn     

Handelsnavn er veiledende og sammensetning av hjelpestoffer kan være forskjellig avhengig av land og produsent

Cubicin Argentina, Australia, Canada, Chile, Colombia, Danmark, Finland, Frankrike, Hellas, India, Irland, Island, Italia, Japan, Malaysia, Mexico, Nederland, New Zealand, Norge, Polen, Portugal, Romania, Spania, Storbritannia, Sveits, Sverige, Tyrkia, Tyskland, Ungarn, USA, Venezuela, Østerrike
Daptomicina Argentina, Italia, Spania
Daptomicine Finland, Norge, Storbritannia, Tyskland, Ungarn
Exfuno Brasil, Chile
Stenkivar Nigeria
Trisk Brasil
Kompatibilitet   Injeksjon   Kompatibilitet : Daptomycin              
Dette skjermbildet viser kompatibilitet eller inkompatibilitet med, i dette tilfellet, typen inkompatibilitet (nedbør, fargeendring, modifisering av en emulsjon, etc.). Kompatibilitetene som er vist her, er for det meste bare fysiske, og den kjemiske stabiliteten til hvert molekyl blir sjelden vurdert. Evalueringen av disse blandingene ble studert for å vurdere muligheten for Y-stedadministrasjon til pasienten. Disse dataene kan ikke brukes til å lage blandinger på forhånd i poser eller sprøyter. Denne typen informasjon er tilgjengelig på skjermen "Stabilitet i blanding".
Legemiddel Oppløsningsmiddel Referanser
Kompatibel
Injeksjon Daptomycin
Injeksjon Aztreonam
2271
Umiddelbar nedbør Uforenlig
Injeksjon Daptomycin 6.1 mg/ml
Injeksjon Blinatumomab 0.125 & 0.375 µg/ml
Natriumklorid 0,9 % 3976
Uspesifisert inkompatibilitet Uforenlig
Injeksjon Daptomycin
Glukose 5 % 2271
Kjemisk ustabilitet Uforenlig
Injeksjon Daptomycin
Glukose 5 % 3439
Kompatibel
Injeksjon Daptomycin 16,7 mg/ml
Injeksjon Aztreonam 16,7 mg/ml
Natriumklorid 0,9 % 1937
Kompatibel
Injeksjon Daptomycin
Natriumklorid 0,9 % 2271
Kompatibel
Injeksjon Daptomycin 10 mg/ml
Injeksjon Caspofungin acetate 0,7 mg/ml
Natriumklorid 0,9 % 2247
Uspesifisert inkompatibilitet Uforenlig
Injeksjon Daptomycin
NaCl 0,45% Glukose 2,5% 2271
Kompatibel
Injeksjon Daptomycin 21 mg/ml
Injeksjon Cefepime dihydrochloride 83.3 mg/ml
Glukose 5 % 4254
Kompatibel
Injeksjon Daptomycin 21 mg/ml
Injeksjon Cefepime dihydrochloride 83.3 mg/ml
Natriumklorid 0,9 % 4254
Kompatibel
Injeksjon Daptomycin 20 mg/ml
Injeksjon Cefiderocol sulfate tosylate 20 mg/mL
Glukose 5 % 4528
Kompatibel
Injeksjon Daptomycin 20 mg/ml
Injeksjon Cefiderocol sulfate tosylate 20 mg/mL
Natriumklorid 0,9 % 4528
Kompatibel
Injeksjon Daptomycin
Injeksjon Ceftazidime
2271
Kompatibel
Injeksjon Daptomycin 16,7 mg/ml
Injeksjon Ceftazidime 16,7 mg/ml
Natriumklorid 0,9 % 1937
Kompatibel
Injeksjon Daptomycin 10 mg/ml
Injeksjon Ceftolozane / tazobactam 10/5 mg/ml
Natriumklorid 0,9 % 3828
Kompatibel
Injeksjon Daptomycin
Injeksjon Ceftriaxone disodium
2271
Kompatibel
Injeksjon Daptomycin 16,7 mg/ml
Injeksjon Ceftriaxone disodium 16,7 mg/ml
Natriumklorid 0,9 % 1937
Kompatibel
Injeksjon Daptomycin 18,2 mg/ml
Injeksjon Dopamine hydrochloride 3,6 mg/ml
Natriumklorid 0,9 % 1937
Kompatibel
Injeksjon Daptomycin 6,3 mg/ml
Injeksjon Fluconazole 1,3 mg/ml
Natriumklorid 0,9 % 1937
Kompatibel
Injeksjon Daptomycin
Injeksjon Fluconazole
2271
Kompatibel
Injeksjon Daptomycin 19,2 mg/ml
Injeksjon Gentamicin sulfate 1,5 mg/ml
Natriumklorid 0,9 % 1937
Kompatibel
Injeksjon Daptomycin
Injeksjon Gentamicin sulfate
2271
Uspesifisert inkompatibilitet Uforenlig
Injeksjon Daptomycin
NaCl 0,45 % Glukose 5 % 2271
Kompatibel
Injeksjon Daptomycin
Injeksjon Dopamine hydrochloride
2271
Kompatibel
Injeksjon Daptomycin 10 mg/ml
Injeksjon Doripenem 5 mg/ml
Glukose 5 % 2262
Kompatibel
Injeksjon Daptomycin 10 mg/ml
Injeksjon Doripenem 5 mg/ml
Natriumklorid 0,9 % 2262
Umiddelbar turbiditet Uforenlig
Injeksjon Daptomycin 20 mg/ml
Injeksjon Fosfomycin 30 mg/ml
Natriumklorid 0,9 % 4055
Kompatibel
Injeksjon Daptomycin 19,6 mg/ml
Injeksjon Heparin sodium 98 UI/ml
Natriumklorid 0,9 % 1937
Kompatibel
Injeksjon Daptomycin
Injeksjon Heparin sodium
2271
Kompatibel
Injeksjon Daptomycin 10 mg/ml
Injeksjon Isavuconazonium sulfate 1.5 mg/ml
Natriumklorid 0,9 % 3829
Kompatibel
Injeksjon Daptomycin 14,3 mg/ml
Injeksjon Levofloxacine 7,1 mg/ml
Natriumklorid 0,9 % 1937
Kompatibel
Injeksjon Daptomycin
Injeksjon Levofloxacine
2271
Kompatibel
Injeksjon Daptomycin 16,7 mg/ml
Injeksjon Lidocaine hydrochloride 3,3 mg/ml
Natriumklorid 0,9 % 1937
Kompatibel
Injeksjon Daptomycin
Injeksjon Lidocaine hydrochloride
2271
Umiddelbar turbiditet Uforenlig
Injeksjon Daptomycin 20 mg/ml
Injeksjon Plazomicin sulfate 24 mg/ml
Natriumklorid 0,9 % 4145
Kompatibel
Injeksjon Daptomycin
Injeksjon Posaconazole
4380
Kompatibel
Injeksjon Daptomycin 5 mg/ml
Injeksjon Sodium bicarbonate 40 mg/ml
Ingen 3122
Turbiditet på en time Uforenlig
Injeksjon Daptomycin 20 mg/ml
Injeksjon Sulbactam/durlobactam 15/15 mg/ml
Natriumklorid 0,9 % 4801
Kompatibel
Injeksjon Daptomycin 10 mg/ml
Injeksjon Tedizolid phosphate 0.8 mg/ml
Natriumklorid 0,9 % 3827
Kompatibel
Injeksjon Daptomycin 21 mg/ml
Injeksjon Thiamine hydrochloride 0.2 mg/ml
Natriumklorid 0,9 % 4254
Kjemisk ustabilitet Uforenlig
Injeksjon Daptomycin
Glukose 10 % 3439

  Mentions Légales