Last update :
27/01/2026
Antibiotic   Daptomycin  
injection
Stability in solutions Stability of mixtures Factors which affect stability Compatibility Route of administration References pdf
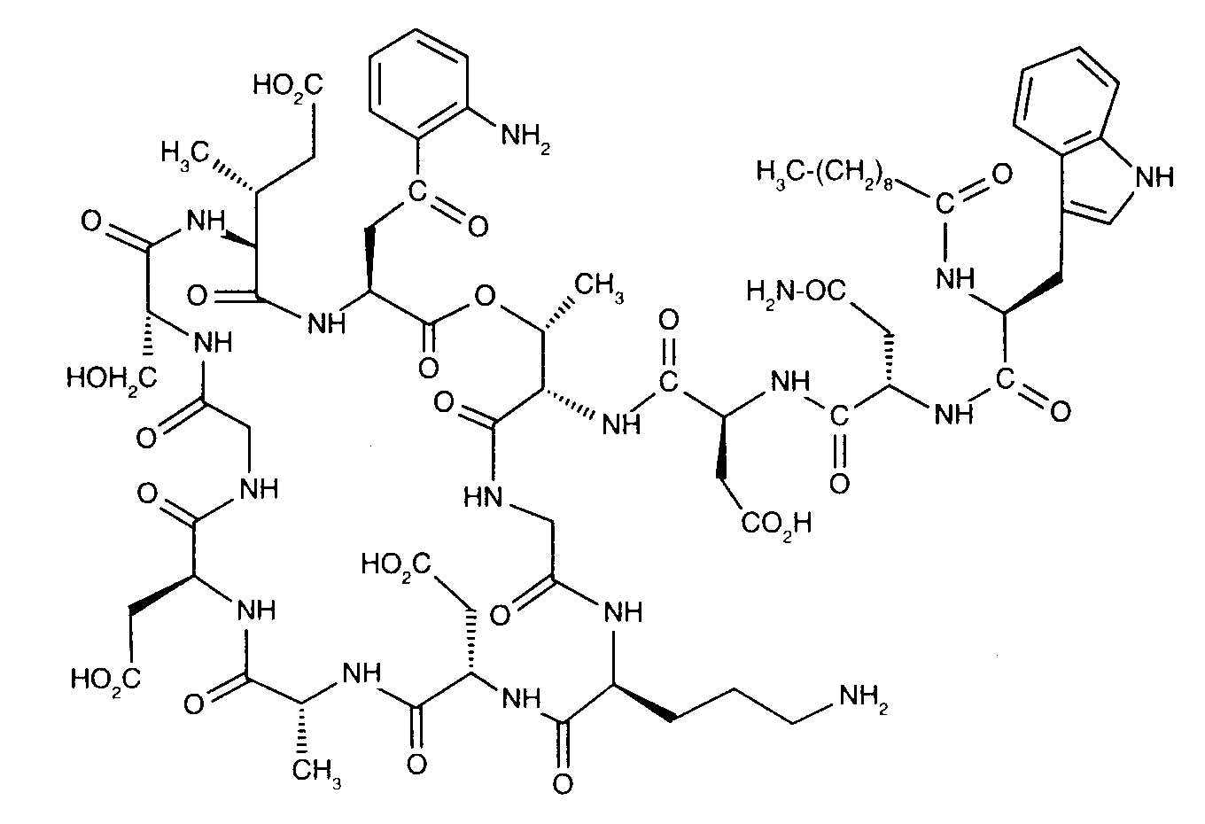
   Chemical structure  

Tradename   Tradename     

Trade names are indicative and excipients composition can be different depending on the country and manufacturers

Cubicin Argentina, Australia, Austria, Canada, Chile, Colombia, Denmark, Finland, France, Germany, Great Britain, Greece, Hungary, Iceland, India, Ireland, Italy, Japan, Malaysia, Mexico, Netherlands, New Zealand, Norway, Poland, Portugal, Romania, Spain, Sweden, Switzerland, Turkey, United States of America, Venezuela
Daptomicina Argentina, Italy, Spain
Daptomicine Finland, Germany, Great Britain, Hungary, Norway
Exfuno Brazil, Chile
Stenkivar Nigeria
Trisk Brazil
Compatibility   injection   Compatibility : Daptomycin              
This screen indicates the compatibilities or incompatibilities with, in this case, the type of incompatibility (precipitation, color change, modification of an emulsion, etc.). The compatibilities shown here are mostly physical only, with the chemical stability of each molecule rarely being assessed. The evaluation of these mixtures was studied to consider the possibility of Y-site administration to the patient. These data cannot be used for making mixtures in advance in bags or syringes. This type of information is available in the screen "Stability in mixture ».
Compound Solvent References
Compatible
injection Daptomycin
injection Aztreonam
2271
Immediate precipitation Incompatible
injection Daptomycin 6.1 mg/ml
injection Blinatumomab 0.125 & 0.375 µg/ml
Sodium chloride 0,9% 3976
Unspecified incompatibility Incompatible
injection Daptomycin
Glucose 5% 2271
Chemical instability Incompatible
injection Daptomycin
Glucose 5% 3439
Compatible
injection Daptomycin 16,7 mg/ml
injection Aztreonam 16,7 mg/ml
Sodium chloride 0,9% 1937
Compatible
injection Daptomycin
Sodium chloride 0,9% 2271
Compatible
injection Daptomycin 10 mg/ml
injection Caspofungin acetate 0,7 mg/ml
Sodium chloride 0,9% 2247
Unspecified incompatibility Incompatible
injection Daptomycin
NaCl 0,45% Glucose 2,5% 2271
Compatible
injection Daptomycin 21 mg/ml
injection Cefepime dihydrochloride 83.3 mg/ml
Glucose 5% 4254
Compatible
injection Daptomycin 21 mg/ml
injection Cefepime dihydrochloride 83.3 mg/ml
Sodium chloride 0,9% 4254
Compatible
injection Daptomycin 20 mg/ml
injection Cefiderocol sulfate tosylate 20 mg/mL
Glucose 5% 4528
Compatible
injection Daptomycin 20 mg/ml
injection Cefiderocol sulfate tosylate 20 mg/mL
Sodium chloride 0,9% 4528
Compatible
injection Daptomycin
injection Ceftazidime
2271
Compatible
injection Daptomycin 16,7 mg/ml
injection Ceftazidime 16,7 mg/ml
Sodium chloride 0,9% 1937
Compatible
injection Daptomycin 10 mg/ml
injection Ceftolozane / tazobactam 10/5 mg/ml
Sodium chloride 0,9% 3828
Compatible
injection Daptomycin
injection Ceftriaxone disodium
2271
Compatible
injection Daptomycin 16,7 mg/ml
injection Ceftriaxone disodium 16,7 mg/ml
Sodium chloride 0,9% 1937
Compatible
injection Daptomycin 18,2 mg/ml
injection Dopamine hydrochloride 3,6 mg/ml
Sodium chloride 0,9% 1937
Compatible
injection Daptomycin 6,3 mg/ml
injection Fluconazole 1,3 mg/ml
Sodium chloride 0,9% 1937
Compatible
injection Daptomycin
injection Fluconazole
2271
Compatible
injection Daptomycin 19,2 mg/ml
injection Gentamicin sulfate 1,5 mg/ml
Sodium chloride 0,9% 1937
Compatible
injection Daptomycin
injection Gentamicin sulfate
2271
Unspecified incompatibility Incompatible
injection Daptomycin
NaCl 0,45% Glucose 5% 2271
Compatible
injection Daptomycin
injection Dopamine hydrochloride
2271
Compatible
injection Daptomycin 10 mg/ml
injection Doripenem 5 mg/ml
Glucose 5% 2262
Compatible
injection Daptomycin 10 mg/ml
injection Doripenem 5 mg/ml
Sodium chloride 0,9% 2262
Immediate turbidity Incompatible
injection Daptomycin 20 mg/ml
injection Fosfomycin 30 mg/ml
Sodium chloride 0,9% 4055
Compatible
injection Daptomycin 19,6 mg/ml
injection Heparin sodium 98 UI/ml
Sodium chloride 0,9% 1937
Compatible
injection Daptomycin
injection Heparin sodium
2271
Compatible
injection Daptomycin 10 mg/ml
injection Isavuconazonium sulfate 1.5 mg/ml
Sodium chloride 0,9% 3829
Compatible
injection Daptomycin 14,3 mg/ml
injection Levofloxacine 7,1 mg/ml
Sodium chloride 0,9% 1937
Compatible
injection Daptomycin
injection Levofloxacine
2271
Compatible
injection Daptomycin 16,7 mg/ml
injection Lidocaine hydrochloride 3,3 mg/ml
Sodium chloride 0,9% 1937
Compatible
injection Daptomycin
injection Lidocaine hydrochloride
2271
Immediate turbidity Incompatible
injection Daptomycin 20 mg/ml
injection Plazomicin sulfate 24 mg/ml
Sodium chloride 0,9% 4145
Compatible
injection Daptomycin
injection Posaconazole
4380
Compatible
injection Daptomycin 5 mg/ml
injection Sodium bicarbonate 40 mg/ml
None 3122
Turbidity in one hour Incompatible
injection Daptomycin 20 mg/ml
injection Sulbactam/durlobactam 15/15 mg/ml
Sodium chloride 0,9% 4801
Compatible
injection Daptomycin 10 mg/ml
injection Tedizolid phosphate 0.8 mg/ml
Sodium chloride 0,9% 3827
Compatible
injection Daptomycin 21 mg/ml
injection Thiamine hydrochloride 0.2 mg/ml
Sodium chloride 0,9% 4254
Chemical instability Incompatible
injection Daptomycin
Glucose 10% 3439

  Mentions Légales