最新更新 :
27/04/2026
抗菌薬   Daptomycin  
注射薬
溶媒内の安定性 混合時の安定性 安定性に影響する因子 互換性 投与経路 引用文献 PDF
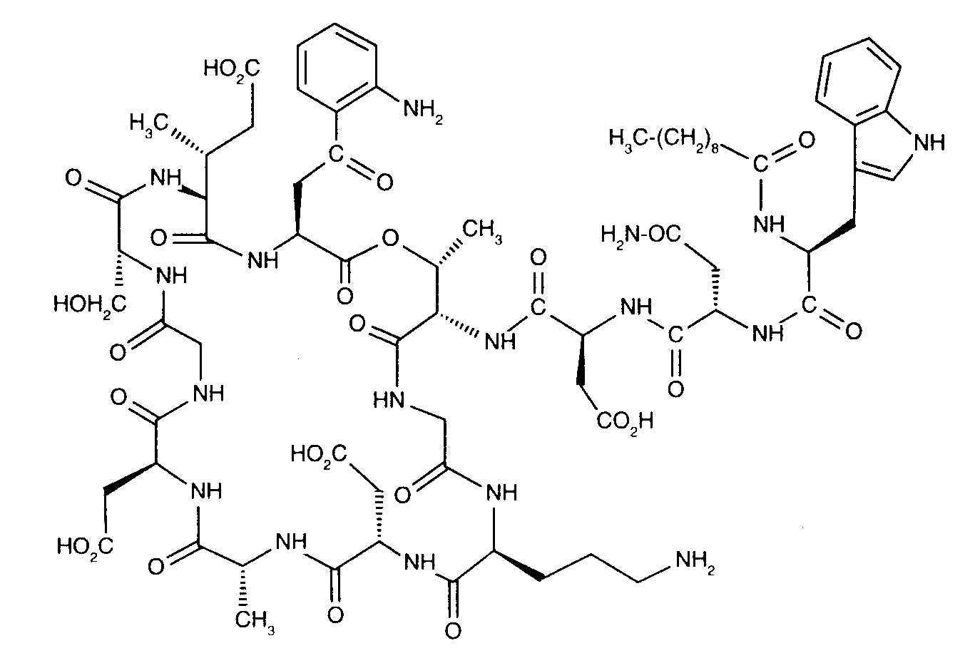
   化学構造  

商品名   商品名     

商品名、賦形剤は国、製薬会社ごとに異なることがあります

Cubicin アイスランド, アイルランド, アメリカ, アルゼンチン, アーストラリア, イギリス, イタリア, インド, オランダ, オーストリア, カナダ, ギリシア, コロンビア, スイス, スウェーデン, スペイン, チリ, デンマーク, トルコ, ドイツ, ニュージーランド, ノルウェー, ハンガリー, フィンランド, フランス, ベネズエラ, ポルトガル, ポーランド, マレーシア, メキシコ, ルーマニア, 日本
Daptomicina アルゼンチン, イタリア, スペイン
Daptomicine イギリス, ドイツ, ノルウェー, ハンガリー, フィンランド
Exfuno チリ, ブラジル
Stenkivar ナイジェリア
Trisk ブラジル
互換性   注射薬   互換性 : Daptomycin              
This screen indicates the compatibilities or incompatibilities with, in this case, the type of incompatibility (precipitation, color change, modification of an emulsion, etc.). The compatibilities shown here are mostly physical only, with the chemical stability of each molecule rarely being assessed. The evaluation of these mixtures was studied to consider the possibility of Y-site administration to the patient. These data cannot be used for making mixtures in advance in bags or syringes. This type of information is available in the screen "Stability in mixture ».
化合物 溶媒 引用文献
対応
注射薬 Daptomycin
注射薬 Aztreonam
2271
即時降水 非互換
注射薬 Daptomycin 6.1 mg/ml
注射薬 Blinatumomab 0.125 & 0.375 µg/ml
NaCl 0,9% 3976
不特定の非互換性 非互換
注射薬 Daptomycin
グルコース5% 2271
化学的不安定性 非互換
注射薬 Daptomycin
グルコース5% 3439
対応
注射薬 Daptomycin 16,7 mg/ml
注射薬 Aztreonam 16,7 mg/ml
NaCl 0,9% 1937
対応
注射薬 Daptomycin
NaCl 0,9% 2271
対応
注射薬 Daptomycin 10 mg/ml
注射薬 Caspofungin acetate 0,7 mg/ml
NaCl 0,9% 2247
不特定の非互換性 非互換
注射薬 Daptomycin
NaCl 0,45% Glucose 2,5% 2271
対応
注射薬 Daptomycin 21 mg/ml
注射薬 Cefepime dihydrochloride 83.3 mg/ml
グルコース5% 4254
対応
注射薬 Daptomycin 21 mg/ml
注射薬 Cefepime dihydrochloride 83.3 mg/ml
NaCl 0,9% 4254
対応
注射薬 Daptomycin 20 mg/ml
注射薬 Cefiderocol sulfate tosylate 20 mg/mL
グルコース5% 4528
対応
注射薬 Daptomycin 20 mg/ml
注射薬 Cefiderocol sulfate tosylate 20 mg/mL
NaCl 0,9% 4528
対応
注射薬 Daptomycin
注射薬 Ceftazidime
2271
対応
注射薬 Daptomycin 16,7 mg/ml
注射薬 Ceftazidime 16,7 mg/ml
NaCl 0,9% 1937
対応
注射薬 Daptomycin 10 mg/ml
注射薬 Ceftolozane / tazobactam 10/5 mg/ml
NaCl 0,9% 3828
対応
注射薬 Daptomycin
注射薬 Ceftriaxone disodium
2271
対応
注射薬 Daptomycin 16,7 mg/ml
注射薬 Ceftriaxone disodium 16,7 mg/ml
NaCl 0,9% 1937
対応
注射薬 Daptomycin 18,2 mg/ml
注射薬 Dopamine hydrochloride 3,6 mg/ml
NaCl 0,9% 1937
対応
注射薬 Daptomycin 6,3 mg/ml
注射薬 Fluconazole 1,3 mg/ml
NaCl 0,9% 1937
対応
注射薬 Daptomycin
注射薬 Fluconazole
2271
対応
注射薬 Daptomycin 19,2 mg/ml
注射薬 Gentamicin sulfate 1,5 mg/ml
NaCl 0,9% 1937
対応
注射薬 Daptomycin
注射薬 Gentamicin sulfate
2271
不特定の非互換性 非互換
注射薬 Daptomycin
NaCl 0,45% Glucose 5% 2271
対応
注射薬 Daptomycin
注射薬 Dopamine hydrochloride
2271
対応
注射薬 Daptomycin 10 mg/ml
注射薬 Doripenem 5 mg/ml
グルコース5% 2262
対応
注射薬 Daptomycin 10 mg/ml
注射薬 Doripenem 5 mg/ml
NaCl 0,9% 2262
すぐに濁り 非互換
注射薬 Daptomycin 20 mg/ml
注射薬 Fosfomycin 30 mg/ml
NaCl 0,9% 4055
対応
注射薬 Daptomycin 19,6 mg/ml
注射薬 Heparin sodium 98 UI/ml
NaCl 0,9% 1937
対応
注射薬 Daptomycin
注射薬 Heparin sodium
2271
対応
注射薬 Daptomycin 10 mg/ml
注射薬 Isavuconazonium sulfate 1.5 mg/ml
NaCl 0,9% 3829
対応
注射薬 Daptomycin 14,3 mg/ml
注射薬 Levofloxacine 7,1 mg/ml
NaCl 0,9% 1937
対応
注射薬 Daptomycin
注射薬 Levofloxacine
2271
対応
注射薬 Daptomycin 16,7 mg/ml
注射薬 Lidocaine hydrochloride 3,3 mg/ml
NaCl 0,9% 1937
対応
注射薬 Daptomycin
注射薬 Lidocaine hydrochloride
2271
すぐに濁り 非互換
注射薬 Daptomycin 20 mg/ml
注射薬 Plazomicin sulfate 24 mg/ml
NaCl 0,9% 4145
対応
注射薬 Daptomycin
注射薬 Posaconazole
4380
対応
注射薬 Daptomycin 5 mg/ml
注射薬 Sodium bicarbonate 40 mg/ml
なし 3122
1時間で濁り 非互換
注射薬 Daptomycin 20 mg/ml
注射薬 Sulbactam/durlobactam 15/15 mg/ml
NaCl 0,9% 4801
対応
注射薬 Daptomycin 10 mg/ml
注射薬 Tedizolid phosphate 0.8 mg/ml
NaCl 0,9% 3827
対応
注射薬 Daptomycin 21 mg/ml
注射薬 Thiamine hydrochloride 0.2 mg/ml
NaCl 0,9% 4254
化学的不安定性 非互換
注射薬 Daptomycin
グルコース10% 3439

  Mentions Légales