viimane versioon :
27/01/2026
antibiootikum   Daptomycin  
Süsteravim
Stabiilsus lahustes Stabiilsust mõjutavad tegurid stabiilsust mõjutavad faktorid Sobimatus Manustamis viis Viited pdf
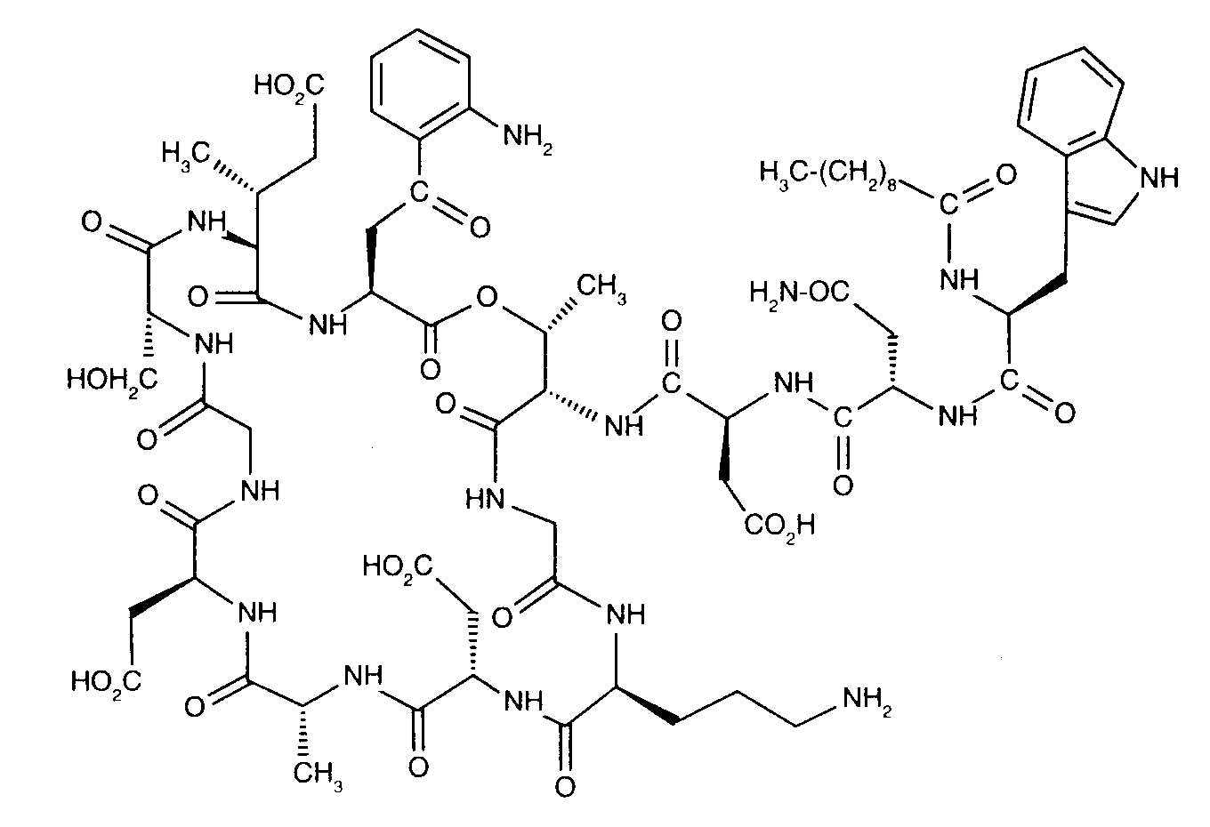
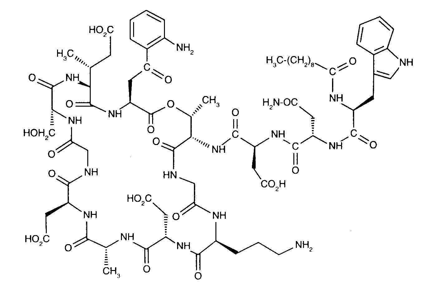
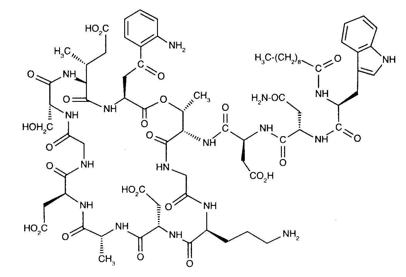
   keemiline struktuur  

Kaubanduslikud nimed erinevates maades   Kaubanduslikud nimed erinevates maades     

Preparaatide nimed on näitlikud ja abianete sisaldus võib erineda sõltuvalt riigist ja laborist

Cubicin Ameerika ühendriigid, Argentiina, Austraalia, Austria, Hispaania, Holland, Iirimaa, India, Island, Itaalia, Jaapan, Kanada, Kolumbia, Kreeka, Malaisia, Mehhiko, Norra, Poola, Portugal, Prantsusmaa, Rootsi, Rumeenia, Saksamaa, Soome, Suurbritannia, Sveits, Taani, Tšiili, Türgi, Ungari, uus-Meremaa, Venetsueela
Daptomicina Argentiina, Hispaania, Itaalia
Daptomicine Norra, Saksamaa, Soome, Suurbritannia, Ungari
Exfuno Brasiilia, Tšiili
Stenkivar Nigeeria
Trisk Brasiilia
Sobimatus   Süsteravim   Sobimatus : Daptomycin              
Sellel lehel kuvatakse sobimatusi ja sobimatuse tüüpi (sadenemine, värvuse muutus, emulsiooni modifitseerumine jne). Enamasti on siin lehel kuvatud füüsikalised sobimatused, kuna molekulide keemilist stabiilsust hinnatakse harva. Hinnatud on segude sobivust Y-liinis. Antud infot ei saa kasutada ravimite sobivuse hindamiseks juhul, kui ravimid on segatud süstaldes või infusioonikottides. See info on lehel « stabiilsus segudes ».
ingredient lahusti Viited
Ühilduv
Süsteravim Daptomycin
Süsteravim Aztreonam
2271
Kohene sade Sobimatu
Süsteravim Daptomycin 6.1 mg/ml
Süsteravim Blinatumomab 0.125 & 0.375 µg/ml
naatriumkloriid 0.9% 3976
Täpsustamata sobimatus Sobimatu
Süsteravim Daptomycin
glükoos 5% 2271
Keemiline ebastabiilsus Sobimatu
Süsteravim Daptomycin
glükoos 5% 3439
Ühilduv
Süsteravim Daptomycin 16,7 mg/ml
Süsteravim Aztreonam 16,7 mg/ml
naatriumkloriid 0.9% 1937
Ühilduv
Süsteravim Daptomycin
naatriumkloriid 0.9% 2271
Ühilduv
Süsteravim Daptomycin 10 mg/ml
Süsteravim Caspofungin acetate 0,7 mg/ml
naatriumkloriid 0.9% 2247
Täpsustamata sobimatus Sobimatu
Süsteravim Daptomycin
NaCl 0,45% glükoos 2,5% 2271
Ühilduv
Süsteravim Daptomycin 21 mg/ml
Süsteravim Cefepime dihydrochloride 83.3 mg/ml
glükoos 5% 4254
Ühilduv
Süsteravim Daptomycin 21 mg/ml
Süsteravim Cefepime dihydrochloride 83.3 mg/ml
naatriumkloriid 0.9% 4254
Ühilduv
Süsteravim Daptomycin 20 mg/ml
Süsteravim Cefiderocol sulfate tosylate 20 mg/mL
glükoos 5% 4528
Ühilduv
Süsteravim Daptomycin 20 mg/ml
Süsteravim Cefiderocol sulfate tosylate 20 mg/mL
naatriumkloriid 0.9% 4528
Ühilduv
Süsteravim Daptomycin
Süsteravim Ceftazidime
2271
Ühilduv
Süsteravim Daptomycin 16,7 mg/ml
Süsteravim Ceftazidime 16,7 mg/ml
naatriumkloriid 0.9% 1937
Ühilduv
Süsteravim Daptomycin 10 mg/ml
Süsteravim Ceftolozane / tazobactam 10/5 mg/ml
naatriumkloriid 0.9% 3828
Ühilduv
Süsteravim Daptomycin
Süsteravim Ceftriaxone disodium
2271
Ühilduv
Süsteravim Daptomycin 16,7 mg/ml
Süsteravim Ceftriaxone disodium 16,7 mg/ml
naatriumkloriid 0.9% 1937
Ühilduv
Süsteravim Daptomycin 18,2 mg/ml
Süsteravim Dopamine hydrochloride 3,6 mg/ml
naatriumkloriid 0.9% 1937
Ühilduv
Süsteravim Daptomycin 6,3 mg/ml
Süsteravim Fluconazole 1,3 mg/ml
naatriumkloriid 0.9% 1937
Ühilduv
Süsteravim Daptomycin
Süsteravim Fluconazole
2271
Ühilduv
Süsteravim Daptomycin 19,2 mg/ml
Süsteravim Gentamicin sulfate 1,5 mg/ml
naatriumkloriid 0.9% 1937
Ühilduv
Süsteravim Daptomycin
Süsteravim Gentamicin sulfate
2271
Täpsustamata sobimatus Sobimatu
Süsteravim Daptomycin
NaCl 0,45%+ glükoos 5% 2271
Ühilduv
Süsteravim Daptomycin
Süsteravim Dopamine hydrochloride
2271
Ühilduv
Süsteravim Daptomycin 10 mg/ml
Süsteravim Doripenem 5 mg/ml
glükoos 5% 2262
Ühilduv
Süsteravim Daptomycin 10 mg/ml
Süsteravim Doripenem 5 mg/ml
naatriumkloriid 0.9% 2262
Kohene hägusus Sobimatu
Süsteravim Daptomycin 20 mg/ml
Süsteravim Fosfomycin 30 mg/ml
naatriumkloriid 0.9% 4055
Ühilduv
Süsteravim Daptomycin 19,6 mg/ml
Süsteravim Heparin sodium 98 UI/ml
naatriumkloriid 0.9% 1937
Ühilduv
Süsteravim Daptomycin
Süsteravim Heparin sodium
2271
Ühilduv
Süsteravim Daptomycin 10 mg/ml
Süsteravim Isavuconazonium sulfate 1.5 mg/ml
naatriumkloriid 0.9% 3829
Ühilduv
Süsteravim Daptomycin 14,3 mg/ml
Süsteravim Levofloxacine 7,1 mg/ml
naatriumkloriid 0.9% 1937
Ühilduv
Süsteravim Daptomycin
Süsteravim Levofloxacine
2271
Ühilduv
Süsteravim Daptomycin 16,7 mg/ml
Süsteravim Lidocaine hydrochloride 3,3 mg/ml
naatriumkloriid 0.9% 1937
Ühilduv
Süsteravim Daptomycin
Süsteravim Lidocaine hydrochloride
2271
Kohene hägusus Sobimatu
Süsteravim Daptomycin 20 mg/ml
Süsteravim Plazomicin sulfate 24 mg/ml
naatriumkloriid 0.9% 4145
Ühilduv
Süsteravim Daptomycin
Süsteravim Posaconazole
4380
Ühilduv
Süsteravim Daptomycin 5 mg/ml
Süsteravim Sodium bicarbonate 40 mg/ml
mitte ükski 3122
Hägusus ühe tunni jooksul Sobimatu
Süsteravim Daptomycin 20 mg/ml
Süsteravim Sulbactam/durlobactam 15/15 mg/ml
naatriumkloriid 0.9% 4801
Ühilduv
Süsteravim Daptomycin 10 mg/ml
Süsteravim Tedizolid phosphate 0.8 mg/ml
naatriumkloriid 0.9% 3827
Ühilduv
Süsteravim Daptomycin 21 mg/ml
Süsteravim Thiamine hydrochloride 0.2 mg/ml
naatriumkloriid 0.9% 4254
Keemiline ebastabiilsus Sobimatu
Süsteravim Daptomycin
glükoos 10% 3439

  Mentions Légales