Utolsó frissítés :
27/01/2026
Antibiotikum   Daptomycin  
Injekció
Az oldatok stabilitása A keverékek stabilitása Stabilitást befolyásoló tényezők Kompatibilitás Az alkalmazás módja Irodalom pdf
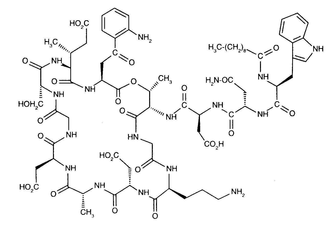
   Kémiai szerkezet   

Kereskedelmi név   Kereskedelmi név     

A kereskedelmi név meghatározó jelentőségű: a készítmények összetétele országonként, előállítóként eltérő lehet

Cubicin Amerikai Egyesült Államok, Argentína, Ausztrália, Ausztria, Chile, Colombia, Dánia, Finnország, Franciaország, Görögország, Hollandia, India, Írország, Izland, Japán, Kanada, Lengyelország, Magyarország, Malaysia, Mexikó, Nagy-Britannia, Németország, Norvégia, Olaszország, Portugália, Románia, Spanyolország, Svájc, Svédország, Törökország, új-Zéland, Venezuela
Daptomicina Argentína, Olaszország, Spanyolország
Daptomicine Finnország, Magyarország, Nagy-Britannia, Németország, Norvégia
Exfuno Brazília, Chile
Stenkivar Nigéria
Trisk Brazília
Kompatibilitás   Injekció   Kompatibilitás : Daptomycin              
Ovdje su prikazane kompatibilnosti ili nekompatibilnosti s tipom nekompatibilnosti (taloženje, promjena boje, modifikacija emulzije itd.) u ovom slučaju. Kompatibilnosti prikazane ovdje najčešće su fizikalne dok se kemijska stabilnost molekule rijetko procjenjuje. Procjena ovih mikstura je proučavana kako bi se razmotrila mogućnost primjene lijeka putem Y-mjesta. Ovi se podaci ne smiju koristiti za pripremu mikstura unaprijed u vrećicama ili štrcaljkama. Ova vrsta informacije se može pronaći u odjeljku « stabilnost u miksturama ».
Vegyület Oldószer Irodalom
Összeegyeztethető
Injekció Daptomycin
Injekció Aztreonam
2271
Azonnali csapadék Összeegyeztethetetlen
Injekció Daptomycin 6.1 mg/ml
Injekció Blinatumomab 0.125 & 0.375 µg/ml
0,9% nátrium-klorid 3976
Meghatározatlan összeférhetetlenség Összeegyeztethetetlen
Injekció Daptomycin
5% glükóz 2271
Kémiai instabilitás Összeegyeztethetetlen
Injekció Daptomycin
5% glükóz 3439
Összeegyeztethető
Injekció Daptomycin 16,7 mg/ml
Injekció Aztreonam 16,7 mg/ml
0,9% nátrium-klorid 1937
Összeegyeztethető
Injekció Daptomycin
0,9% nátrium-klorid 2271
Összeegyeztethető
Injekció Daptomycin 10 mg/ml
Injekció Caspofungin acetate 0,7 mg/ml
0,9% nátrium-klorid 2247
Meghatározatlan összeférhetetlenség Összeegyeztethetetlen
Injekció Daptomycin
NaCl 0,45% glükóz 2,5% 2271
Összeegyeztethető
Injekció Daptomycin 21 mg/ml
Injekció Cefepime dihydrochloride 83.3 mg/ml
5% glükóz 4254
Összeegyeztethető
Injekció Daptomycin 21 mg/ml
Injekció Cefepime dihydrochloride 83.3 mg/ml
0,9% nátrium-klorid 4254
Összeegyeztethető
Injekció Daptomycin 20 mg/ml
Injekció Cefiderocol sulfate tosylate 20 mg/mL
5% glükóz 4528
Összeegyeztethető
Injekció Daptomycin 20 mg/ml
Injekció Cefiderocol sulfate tosylate 20 mg/mL
0,9% nátrium-klorid 4528
Összeegyeztethető
Injekció Daptomycin
Injekció Ceftazidime
2271
Összeegyeztethető
Injekció Daptomycin 16,7 mg/ml
Injekció Ceftazidime 16,7 mg/ml
0,9% nátrium-klorid 1937
Összeegyeztethető
Injekció Daptomycin 10 mg/ml
Injekció Ceftolozane / tazobactam 10/5 mg/ml
0,9% nátrium-klorid 3828
Összeegyeztethető
Injekció Daptomycin
Injekció Ceftriaxone disodium
2271
Összeegyeztethető
Injekció Daptomycin 16,7 mg/ml
Injekció Ceftriaxone disodium 16,7 mg/ml
0,9% nátrium-klorid 1937
Összeegyeztethető
Injekció Daptomycin 18,2 mg/ml
Injekció Dopamine hydrochloride 3,6 mg/ml
0,9% nátrium-klorid 1937
Összeegyeztethető
Injekció Daptomycin 6,3 mg/ml
Injekció Fluconazole 1,3 mg/ml
0,9% nátrium-klorid 1937
Összeegyeztethető
Injekció Daptomycin
Injekció Fluconazole
2271
Összeegyeztethető
Injekció Daptomycin 19,2 mg/ml
Injekció Gentamicin sulfate 1,5 mg/ml
0,9% nátrium-klorid 1937
Összeegyeztethető
Injekció Daptomycin
Injekció Gentamicin sulfate
2271
Meghatározatlan összeférhetetlenség Összeegyeztethetetlen
Injekció Daptomycin
0,45% NaCl 5% glükóz 2271
Összeegyeztethető
Injekció Daptomycin
Injekció Dopamine hydrochloride
2271
Összeegyeztethető
Injekció Daptomycin 10 mg/ml
Injekció Doripenem 5 mg/ml
5% glükóz 2262
Összeegyeztethető
Injekció Daptomycin 10 mg/ml
Injekció Doripenem 5 mg/ml
0,9% nátrium-klorid 2262
Azonnali zavarosság Összeegyeztethetetlen
Injekció Daptomycin 20 mg/ml
Injekció Fosfomycin 30 mg/ml
0,9% nátrium-klorid 4055
Összeegyeztethető
Injekció Daptomycin 19,6 mg/ml
Injekció Heparin sodium 98 UI/ml
0,9% nátrium-klorid 1937
Összeegyeztethető
Injekció Daptomycin
Injekció Heparin sodium
2271
Összeegyeztethető
Injekció Daptomycin 10 mg/ml
Injekció Isavuconazonium sulfate 1.5 mg/ml
0,9% nátrium-klorid 3829
Összeegyeztethető
Injekció Daptomycin 14,3 mg/ml
Injekció Levofloxacine 7,1 mg/ml
0,9% nátrium-klorid 1937
Összeegyeztethető
Injekció Daptomycin
Injekció Levofloxacine
2271
Összeegyeztethető
Injekció Daptomycin 16,7 mg/ml
Injekció Lidocaine hydrochloride 3,3 mg/ml
0,9% nátrium-klorid 1937
Összeegyeztethető
Injekció Daptomycin
Injekció Lidocaine hydrochloride
2271
Azonnali zavarosság Összeegyeztethetetlen
Injekció Daptomycin 20 mg/ml
Injekció Plazomicin sulfate 24 mg/ml
0,9% nátrium-klorid 4145
Összeegyeztethető
Injekció Daptomycin
Injekció Posaconazole
4380
Összeegyeztethető
Injekció Daptomycin 5 mg/ml
Injekció Sodium bicarbonate 40 mg/ml
Egy sem 3122
Zavarosság egy órán belül Összeegyeztethetetlen
Injekció Daptomycin 20 mg/ml
Injekció Sulbactam/durlobactam 15/15 mg/ml
0,9% nátrium-klorid 4801
Összeegyeztethető
Injekció Daptomycin 10 mg/ml
Injekció Tedizolid phosphate 0.8 mg/ml
0,9% nátrium-klorid 3827
Összeegyeztethető
Injekció Daptomycin 21 mg/ml
Injekció Thiamine hydrochloride 0.2 mg/ml
0,9% nátrium-klorid 4254
Kémiai instabilitás Összeegyeztethetetlen
Injekció Daptomycin
10% glükóz 3439

  Mentions Légales