Ultimele actualizari :
27/01/2026
Antibiotic   Daptomycin  
Injectabil
Stabilitatea in solutie Stabilitatea in amestec Factorii care influenteaza stabilitatea Compatibilitate Microunde Bibliografie pdf
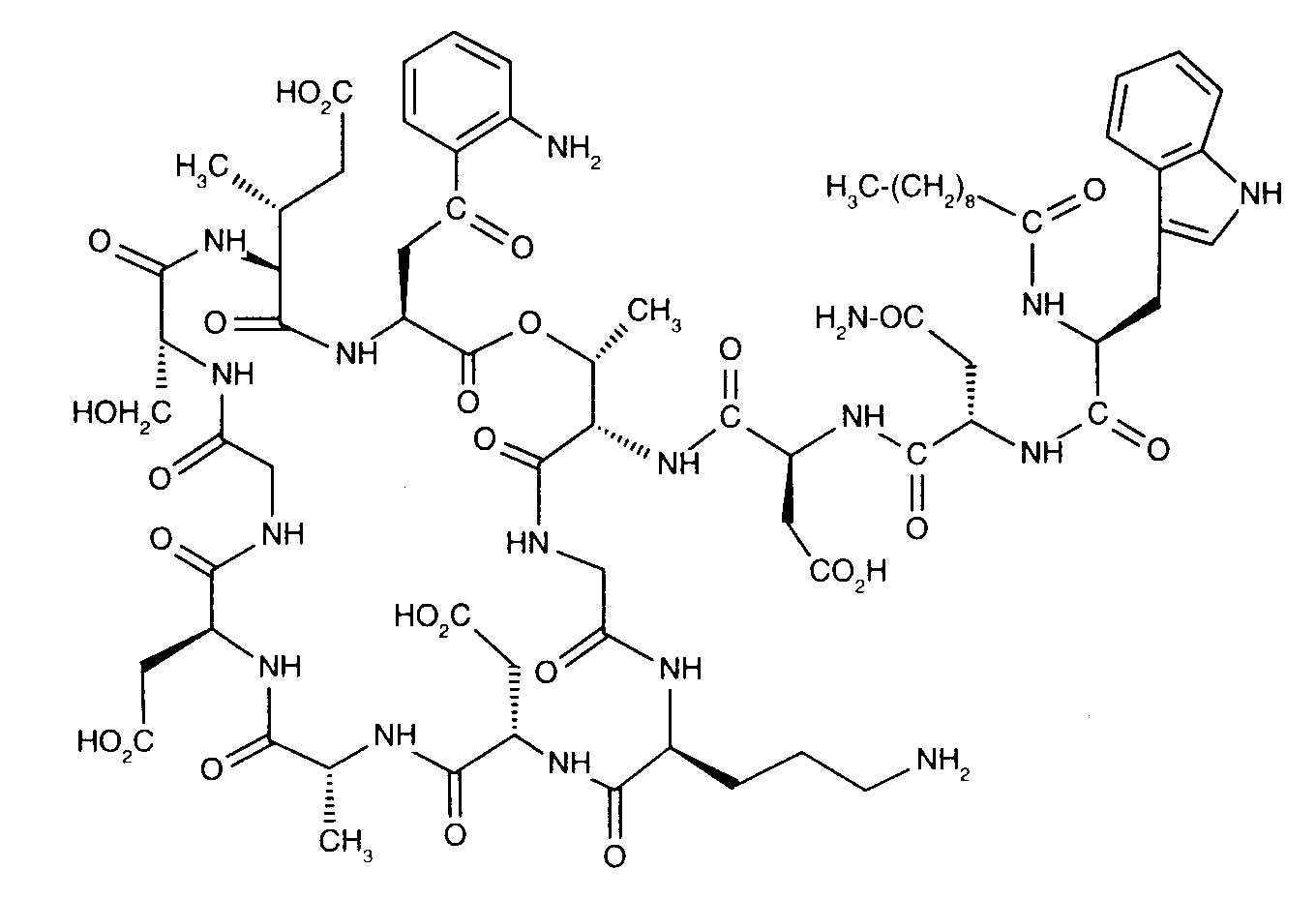
   Formula chimica  

Denumirea comerciala   Denumirea comerciala     

Trade names are indicative and excipients composition can be different depending on the country and manufacturers

Cubicin Argentina, Australia, Austria, Canada, Chilli, Columbia, Danemarca, Elvetia, Finlanda, Franta, Germania, Grecia, India, Irlanda, Islanda, Italia, Japonia, Malaezia, Marea Britanie, Mexic, Norvegia, noua Zeelandă, Olanda, Polonia, Portugalia, Romania, Spania, SUA, Suedia, Turcia, Ungaria, Venezuela
Daptomicina Argentina, Italia, Spania
Daptomicine Finlanda, Germania, Marea Britanie, Norvegia, Ungaria
Exfuno Brazilia, Chilli
Stenkivar Nigeria
Trisk Brazilia
Compatibilitate   Injectabil   Compatibilitate : Daptomycin              
Acest ecran indică compatibilitățile sau incompatibilitățile cu, în acest caz, tipul de incompatibilitate (precipitații, schimbarea culorii, modificarea unei emulsii etc.). Compatibilitățile prezentate aici sunt în mare parte numai fizice, stabilitatea chimică a fiecărei molecule fiind rareori evaluată. Evaluarea acestor amestecuri a fost studiată pentru a lua în considerare posibilitatea administrării site-ului Y la pacient. Aceste date nu pot fi utilizate pentru prepararea în prealabil a amestecurilor în pungi sau seringi. Acest tip de informații este disponibil în ecranul „Stabilitate în amestec».
Molecula (substanta activa) Solvent Bibiografie
Compatibil
Injectabil Daptomycin
Injectabil Aztreonam
2271
Precipitații imediate Incompatibil
Injectabil Daptomycin 6.1 mg/ml
Injectabil Blinatumomab 0.125 & 0.375 µg/ml
clorura de sodiu 0,9% 3976
Incompatibilitate nespecificată Incompatibil
Injectabil Daptomycin
Glucoza 5% 2271
Instabilitate chimică Incompatibil
Injectabil Daptomycin
Glucoza 5% 3439
Compatibil
Injectabil Daptomycin 16,7 mg/ml
Injectabil Aztreonam 16,7 mg/ml
clorura de sodiu 0,9% 1937
Compatibil
Injectabil Daptomycin
clorura de sodiu 0,9% 2271
Compatibil
Injectabil Daptomycin 10 mg/ml
Injectabil Caspofungin acetate 0,7 mg/ml
clorura de sodiu 0,9% 2247
Incompatibilitate nespecificată Incompatibil
Injectabil Daptomycin
NaCl 0,45% Glucoza 2,5% 2271
Compatibil
Injectabil Daptomycin 21 mg/ml
Injectabil Cefepime dihydrochloride 83.3 mg/ml
Glucoza 5% 4254
Compatibil
Injectabil Daptomycin 21 mg/ml
Injectabil Cefepime dihydrochloride 83.3 mg/ml
clorura de sodiu 0,9% 4254
Compatibil
Injectabil Daptomycin 20 mg/ml
Injectabil Cefiderocol sulfate tosylate 20 mg/mL
Glucoza 5% 4528
Compatibil
Injectabil Daptomycin 20 mg/ml
Injectabil Cefiderocol sulfate tosylate 20 mg/mL
clorura de sodiu 0,9% 4528
Compatibil
Injectabil Daptomycin
Injectabil Ceftazidime
2271
Compatibil
Injectabil Daptomycin 16,7 mg/ml
Injectabil Ceftazidime 16,7 mg/ml
clorura de sodiu 0,9% 1937
Compatibil
Injectabil Daptomycin 10 mg/ml
Injectabil Ceftolozane / tazobactam 10/5 mg/ml
clorura de sodiu 0,9% 3828
Compatibil
Injectabil Daptomycin
Injectabil Ceftriaxone disodium
2271
Compatibil
Injectabil Daptomycin 16,7 mg/ml
Injectabil Ceftriaxone disodium 16,7 mg/ml
clorura de sodiu 0,9% 1937
Compatibil
Injectabil Daptomycin 18,2 mg/ml
Injectabil Dopamine hydrochloride 3,6 mg/ml
clorura de sodiu 0,9% 1937
Compatibil
Injectabil Daptomycin 6,3 mg/ml
Injectabil Fluconazole 1,3 mg/ml
clorura de sodiu 0,9% 1937
Compatibil
Injectabil Daptomycin
Injectabil Fluconazole
2271
Compatibil
Injectabil Daptomycin 19,2 mg/ml
Injectabil Gentamicin sulfate 1,5 mg/ml
clorura de sodiu 0,9% 1937
Compatibil
Injectabil Daptomycin
Injectabil Gentamicin sulfate
2271
Incompatibilitate nespecificată Incompatibil
Injectabil Daptomycin
NaCl 0,45% Glucoza 5% 2271
Compatibil
Injectabil Daptomycin
Injectabil Dopamine hydrochloride
2271
Compatibil
Injectabil Daptomycin 10 mg/ml
Injectabil Doripenem 5 mg/ml
Glucoza 5% 2262
Compatibil
Injectabil Daptomycin 10 mg/ml
Injectabil Doripenem 5 mg/ml
clorura de sodiu 0,9% 2262
Turbiditate imediată Incompatibil
Injectabil Daptomycin 20 mg/ml
Injectabil Fosfomycin 30 mg/ml
clorura de sodiu 0,9% 4055
Compatibil
Injectabil Daptomycin 19,6 mg/ml
Injectabil Heparin sodium 98 UI/ml
clorura de sodiu 0,9% 1937
Compatibil
Injectabil Daptomycin
Injectabil Heparin sodium
2271
Compatibil
Injectabil Daptomycin 10 mg/ml
Injectabil Isavuconazonium sulfate 1.5 mg/ml
clorura de sodiu 0,9% 3829
Compatibil
Injectabil Daptomycin 14,3 mg/ml
Injectabil Levofloxacine 7,1 mg/ml
clorura de sodiu 0,9% 1937
Compatibil
Injectabil Daptomycin
Injectabil Levofloxacine
2271
Compatibil
Injectabil Daptomycin 16,7 mg/ml
Injectabil Lidocaine hydrochloride 3,3 mg/ml
clorura de sodiu 0,9% 1937
Compatibil
Injectabil Daptomycin
Injectabil Lidocaine hydrochloride
2271
Turbiditate imediată Incompatibil
Injectabil Daptomycin 20 mg/ml
Injectabil Plazomicin sulfate 24 mg/ml
clorura de sodiu 0,9% 4145
Compatibil
Injectabil Daptomycin
Injectabil Posaconazole
4380
Compatibil
Injectabil Daptomycin 5 mg/ml
Injectabil Sodium bicarbonate 40 mg/ml
fara 3122
Turbiditate într-o oră Incompatibil
Injectabil Daptomycin 20 mg/ml
Injectabil Sulbactam/durlobactam 15/15 mg/ml
clorura de sodiu 0,9% 4801
Compatibil
Injectabil Daptomycin 10 mg/ml
Injectabil Tedizolid phosphate 0.8 mg/ml
clorura de sodiu 0,9% 3827
Compatibil
Injectabil Daptomycin 21 mg/ml
Injectabil Thiamine hydrochloride 0.2 mg/ml
clorura de sodiu 0,9% 4254
Instabilitate chimică Incompatibil
Injectabil Daptomycin
Glucoza 10% 3439

  Mentions Légales