Ostatnia aktualizacja :
27/01/2026
Antybiotyk   Daptomycin  
Injekcje
Trwałość roztworów Trwałość w mieszaninie Czynnik wpływający na trwałość Zgodność Sposób podania Bibliografia pdf
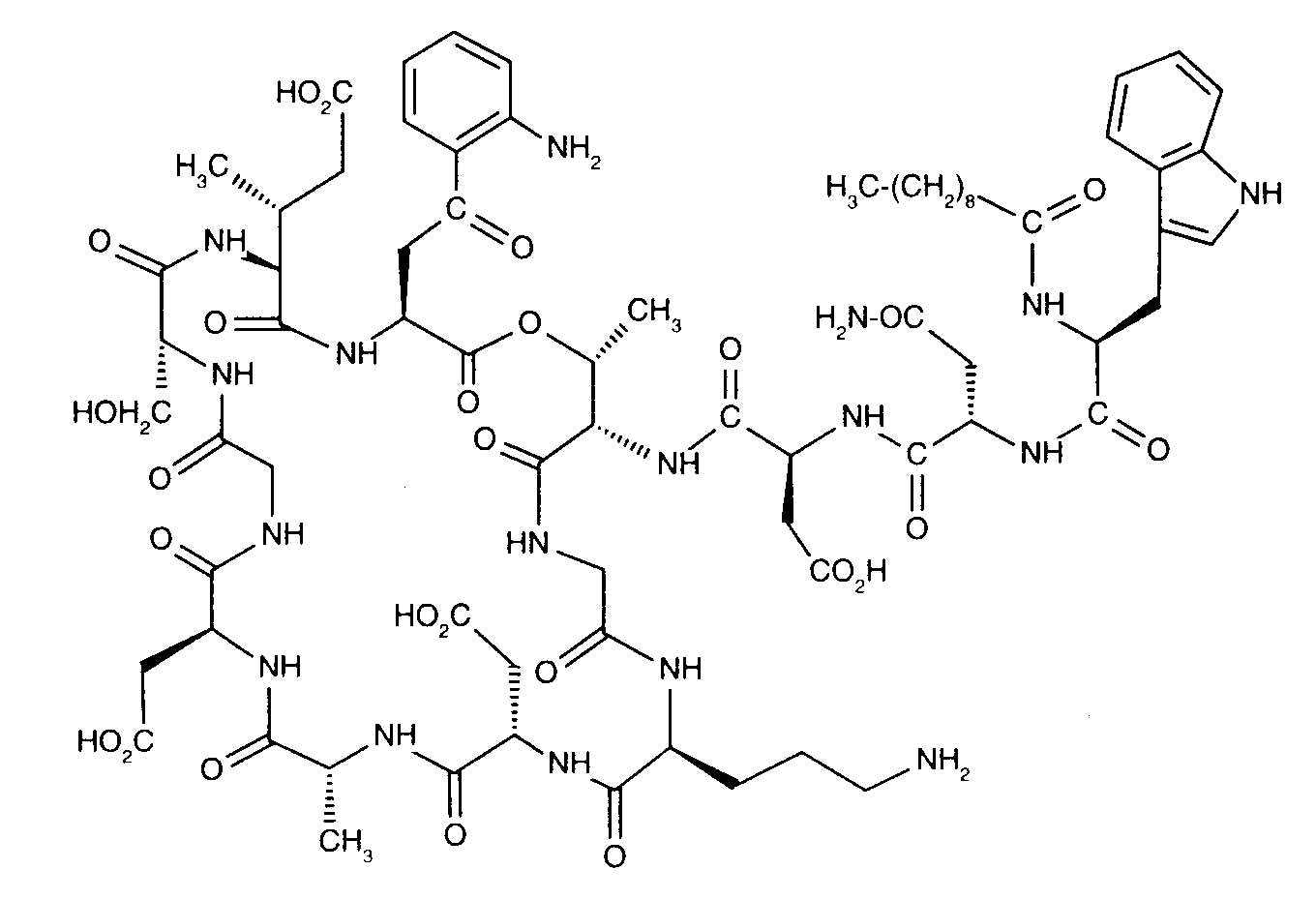
   Struktura chemiczna  

Nazwa handlowa   Nazwa handlowa     

Trade names are indicative and excipients composition can be different depending on the country and manufacturers

Cubicin Argentyna, Australia, Austria, Chile, Dania, Finlandia, Francja , Grecja, Hiszpania, Holandia, Indie, Irlandia, Islandia, Japonia, Kanada, KolumbiaKolumbia, Malezja, Meksyk, Niemcy, Norwegia, nowa Zelandia, Polska, Portugalia, Rumunia, Stany Zjednoczone Ameryki, Szwajcaria, Szwecja, Turcja, Węgry, Wenezuela, Wielka Brytania, Włochy
Daptomicina Argentyna, Hiszpania, Włochy
Daptomicine Finlandia, Niemcy, Norwegia, Węgry, Wielka Brytania
Exfuno Brazylia, Chile
Stenkivar Nigeria
Trisk Brazylia
Zgodność   Injekcje   Zgodność : Daptomycin              
Ekran ten wskazuje na kompatybilności lub niezgodności z, w tym przypadku, rodzajem niezgodności (strącanie, zmiana koloru, modyfikacja emulsji, itp.). Przedstawione tutaj kompatybilności są głównie fizyczne, a stabilność chemiczna każdej cząsteczki jest rzadko oceniana. Ocenę tych mieszanin badano w celu rozważenia możliwości podania pacjentowi w miejscu Y. Dane te nie mogą być wykorzystywane do sporządzania mieszanin z wyprzedzeniem w workach lub strzykawkach. Tego typu informacje są dostępne na ekranie „Stabilność w mieszaninie”.
Związek Rozpuszczalnik Bibliografia
Zgodny
Injekcje Daptomycin
Injekcje Aztreonam
2271
Natychmiastowe opady Niekompatybilny
Injekcje Daptomycin 6.1 mg/ml
Injekcje Blinatumomab 0.125 & 0.375 µg/ml
Chlorek sodu 0,9% 3976
Nieokreślona niezgodność Niekompatybilny
Injekcje Daptomycin
Glukoza 5% 2271
Niestabilność chemiczna Niekompatybilny
Injekcje Daptomycin
Glukoza 5% 3439
Zgodny
Injekcje Daptomycin 16,7 mg/ml
Injekcje Aztreonam 16,7 mg/ml
Chlorek sodu 0,9% 1937
Zgodny
Injekcje Daptomycin
Chlorek sodu 0,9% 2271
Zgodny
Injekcje Daptomycin 10 mg/ml
Injekcje Caspofungin acetate 0,7 mg/ml
Chlorek sodu 0,9% 2247
Nieokreślona niezgodność Niekompatybilny
Injekcje Daptomycin
NaCl 0,45% glukoza 2,5% 2271
Zgodny
Injekcje Daptomycin 21 mg/ml
Injekcje Cefepime dihydrochloride 83.3 mg/ml
Glukoza 5% 4254
Zgodny
Injekcje Daptomycin 21 mg/ml
Injekcje Cefepime dihydrochloride 83.3 mg/ml
Chlorek sodu 0,9% 4254
Zgodny
Injekcje Daptomycin 20 mg/ml
Injekcje Cefiderocol sulfate tosylate 20 mg/mL
Glukoza 5% 4528
Zgodny
Injekcje Daptomycin 20 mg/ml
Injekcje Cefiderocol sulfate tosylate 20 mg/mL
Chlorek sodu 0,9% 4528
Zgodny
Injekcje Daptomycin
Injekcje Ceftazidime
2271
Zgodny
Injekcje Daptomycin 16,7 mg/ml
Injekcje Ceftazidime 16,7 mg/ml
Chlorek sodu 0,9% 1937
Zgodny
Injekcje Daptomycin 10 mg/ml
Injekcje Ceftolozane / tazobactam 10/5 mg/ml
Chlorek sodu 0,9% 3828
Zgodny
Injekcje Daptomycin
Injekcje Ceftriaxone disodium
2271
Zgodny
Injekcje Daptomycin 16,7 mg/ml
Injekcje Ceftriaxone disodium 16,7 mg/ml
Chlorek sodu 0,9% 1937
Zgodny
Injekcje Daptomycin 18,2 mg/ml
Injekcje Dopamine hydrochloride 3,6 mg/ml
Chlorek sodu 0,9% 1937
Zgodny
Injekcje Daptomycin 6,3 mg/ml
Injekcje Fluconazole 1,3 mg/ml
Chlorek sodu 0,9% 1937
Zgodny
Injekcje Daptomycin
Injekcje Fluconazole
2271
Zgodny
Injekcje Daptomycin 19,2 mg/ml
Injekcje Gentamicin sulfate 1,5 mg/ml
Chlorek sodu 0,9% 1937
Zgodny
Injekcje Daptomycin
Injekcje Gentamicin sulfate
2271
Nieokreślona niezgodność Niekompatybilny
Injekcje Daptomycin
NaCl 0,45%  glukoza 5% 2271
Zgodny
Injekcje Daptomycin
Injekcje Dopamine hydrochloride
2271
Zgodny
Injekcje Daptomycin 10 mg/ml
Injekcje Doripenem 5 mg/ml
Glukoza 5% 2262
Zgodny
Injekcje Daptomycin 10 mg/ml
Injekcje Doripenem 5 mg/ml
Chlorek sodu 0,9% 2262
Natychmiastowe zmętnienie Niekompatybilny
Injekcje Daptomycin 20 mg/ml
Injekcje Fosfomycin 30 mg/ml
Chlorek sodu 0,9% 4055
Zgodny
Injekcje Daptomycin 19,6 mg/ml
Injekcje Heparin sodium 98 UI/ml
Chlorek sodu 0,9% 1937
Zgodny
Injekcje Daptomycin
Injekcje Heparin sodium
2271
Zgodny
Injekcje Daptomycin 10 mg/ml
Injekcje Isavuconazonium sulfate 1.5 mg/ml
Chlorek sodu 0,9% 3829
Zgodny
Injekcje Daptomycin 14,3 mg/ml
Injekcje Levofloxacine 7,1 mg/ml
Chlorek sodu 0,9% 1937
Zgodny
Injekcje Daptomycin
Injekcje Levofloxacine
2271
Zgodny
Injekcje Daptomycin 16,7 mg/ml
Injekcje Lidocaine hydrochloride 3,3 mg/ml
Chlorek sodu 0,9% 1937
Zgodny
Injekcje Daptomycin
Injekcje Lidocaine hydrochloride
2271
Natychmiastowe zmętnienie Niekompatybilny
Injekcje Daptomycin 20 mg/ml
Injekcje Plazomicin sulfate 24 mg/ml
Chlorek sodu 0,9% 4145
Zgodny
Injekcje Daptomycin
Injekcje Posaconazole
4380
Zgodny
Injekcje Daptomycin 5 mg/ml
Injekcje Sodium bicarbonate 40 mg/ml
Żaden 3122
Zmętnienie w ciągu godziny Niekompatybilny
Injekcje Daptomycin 20 mg/ml
Injekcje Sulbactam/durlobactam 15/15 mg/ml
Chlorek sodu 0,9% 4801
Zgodny
Injekcje Daptomycin 10 mg/ml
Injekcje Tedizolid phosphate 0.8 mg/ml
Chlorek sodu 0,9% 3827
Zgodny
Injekcje Daptomycin 21 mg/ml
Injekcje Thiamine hydrochloride 0.2 mg/ml
Chlorek sodu 0,9% 4254
Niestabilność chemiczna Niekompatybilny
Injekcje Daptomycin
Glukoza 10% 3439

  Mentions Légales