Laatste update :
27/04/2026
Antibioticum   Daptomycin  
injecteerbaar geneesmiddel
Stabiliteit in oplossing Stabiliteit in mengsels Factoren die de stabiliteit beïnvloeden Verenigbaarheden Toedieningswijze Literatuur pdf
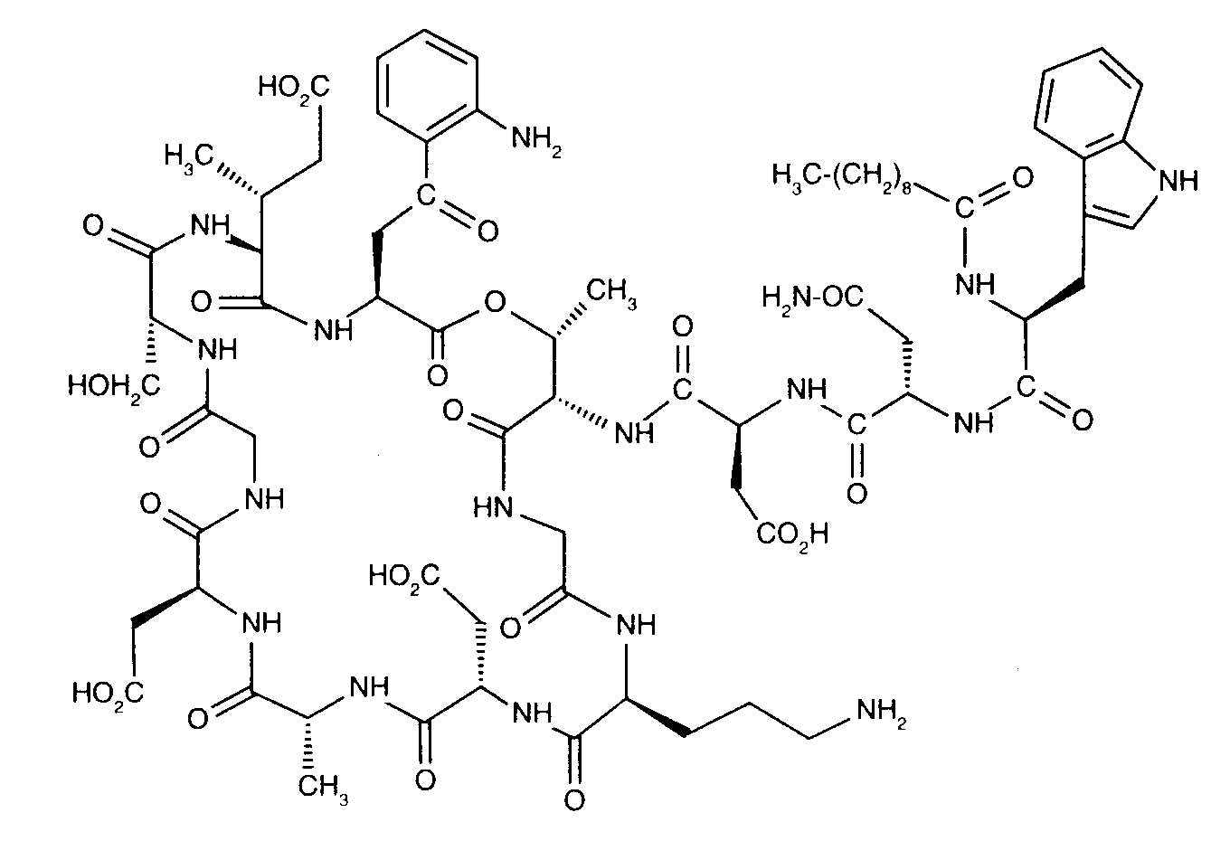
   Molecuulstructuur  

Merknamen in verschillende landen   Merknamen in verschillende landen     

Handelsnamen zijn slechts een indicatie; de samenstelling van hulpstoffen kan per land variëren afhankelijk van de fabrikant

Cubicin Argentinië, Australië, Canada, Chili, Colombia, Denemarken, Duitsland, Finland, Frankrijk, Griekenland, Groot Britannië, Hongarije, Ierland, IJsland, Indië, Italië, Japan, Maleisië, Mexico, Nederland, nieuw Zeeland, Noorwegen, Oostenrijk, Polen, Portugal, Roemenië, Spanje, Turkije, USA, Venezuela, Zweden, Zwitserland
Daptomicina Argentinië, Italië, Spanje
Daptomicine Duitsland, Finland, Groot Britannië, Hongarije, Noorwegen
Exfuno Brazilië, Chili
Stenkivar Nigeria
Trisk Brazilië
Verenigbaarheden   injecteerbaar geneesmiddel   Verenigbaarheden : Daptomycin              
In dit scherm worden de verenigbaarheden en onverenigbaarheden weergegeven. In het geval van een onverenigbaarheid wordt ook het type (neerslag, kleurverandering, modificatie van een emulsie, etc) weergegeven. De weergegeven verenigbaarheden zijn meestal alleen op uiterlijk beoordeeld, er heeft zelden een chemische beoordeling van iedere component plaatsgevonden. De verenigbaarheden betreffen gelijktijdige toediening aan de patient middels de Y-site. De data kan niet gebruikt worden in de beoordeling van verenigbaarheden van componenten in infuuszakken of spuiten. Die informatie is te vinden onder ‘stabiliteit in mengsels’.
Stof Oplosmiddel Literatuur
Verenigbaar
injecteerbaar geneesmiddel Daptomycin
injecteerbaar geneesmiddel Aztreonam
2271
Onmiddellijke neerslag Onverenigbaar
injecteerbaar geneesmiddel Daptomycin 6.1 mg/ml
injecteerbaar geneesmiddel Blinatumomab 0.125 & 0.375 µg/ml
Natriumchloride 0,9% 3976
Niet-gespecificeerde incompatibiliteit Onverenigbaar
injecteerbaar geneesmiddel Daptomycin
Glucose 5% 2271
Chemische instabiliteit Onverenigbaar
injecteerbaar geneesmiddel Daptomycin
Glucose 5% 3439
Verenigbaar
injecteerbaar geneesmiddel Daptomycin 16,7 mg/ml
injecteerbaar geneesmiddel Aztreonam 16,7 mg/ml
Natriumchloride 0,9% 1937
Verenigbaar
injecteerbaar geneesmiddel Daptomycin
Natriumchloride 0,9% 2271
Verenigbaar
injecteerbaar geneesmiddel Daptomycin 10 mg/ml
injecteerbaar geneesmiddel Caspofungin acetate 0,7 mg/ml
Natriumchloride 0,9% 2247
Niet-gespecificeerde incompatibiliteit Onverenigbaar
injecteerbaar geneesmiddel Daptomycin
NaCl 0,45% glucose 2,5% 2271
Verenigbaar
injecteerbaar geneesmiddel Daptomycin 21 mg/ml
injecteerbaar geneesmiddel Cefepime dihydrochloride 83.3 mg/ml
Glucose 5% 4254
Verenigbaar
injecteerbaar geneesmiddel Daptomycin 21 mg/ml
injecteerbaar geneesmiddel Cefepime dihydrochloride 83.3 mg/ml
Natriumchloride 0,9% 4254
Verenigbaar
injecteerbaar geneesmiddel Daptomycin 20 mg/ml
injecteerbaar geneesmiddel Cefiderocol sulfate tosylate 20 mg/mL
Glucose 5% 4528
Verenigbaar
injecteerbaar geneesmiddel Daptomycin 20 mg/ml
injecteerbaar geneesmiddel Cefiderocol sulfate tosylate 20 mg/mL
Natriumchloride 0,9% 4528
Verenigbaar
injecteerbaar geneesmiddel Daptomycin
injecteerbaar geneesmiddel Ceftazidime
2271
Verenigbaar
injecteerbaar geneesmiddel Daptomycin 16,7 mg/ml
injecteerbaar geneesmiddel Ceftazidime 16,7 mg/ml
Natriumchloride 0,9% 1937
Verenigbaar
injecteerbaar geneesmiddel Daptomycin 10 mg/ml
injecteerbaar geneesmiddel Ceftolozane / tazobactam 10/5 mg/ml
Natriumchloride 0,9% 3828
Verenigbaar
injecteerbaar geneesmiddel Daptomycin
injecteerbaar geneesmiddel Ceftriaxone disodium
2271
Verenigbaar
injecteerbaar geneesmiddel Daptomycin 16,7 mg/ml
injecteerbaar geneesmiddel Ceftriaxone disodium 16,7 mg/ml
Natriumchloride 0,9% 1937
Verenigbaar
injecteerbaar geneesmiddel Daptomycin 18,2 mg/ml
injecteerbaar geneesmiddel Dopamine hydrochloride 3,6 mg/ml
Natriumchloride 0,9% 1937
Verenigbaar
injecteerbaar geneesmiddel Daptomycin 6,3 mg/ml
injecteerbaar geneesmiddel Fluconazole 1,3 mg/ml
Natriumchloride 0,9% 1937
Verenigbaar
injecteerbaar geneesmiddel Daptomycin
injecteerbaar geneesmiddel Fluconazole
2271
Verenigbaar
injecteerbaar geneesmiddel Daptomycin 19,2 mg/ml
injecteerbaar geneesmiddel Gentamicin sulfate 1,5 mg/ml
Natriumchloride 0,9% 1937
Verenigbaar
injecteerbaar geneesmiddel Daptomycin
injecteerbaar geneesmiddel Gentamicin sulfate
2271
Niet-gespecificeerde incompatibiliteit Onverenigbaar
injecteerbaar geneesmiddel Daptomycin
NaCl 0,45% glucose 5% 2271
Verenigbaar
injecteerbaar geneesmiddel Daptomycin
injecteerbaar geneesmiddel Dopamine hydrochloride
2271
Verenigbaar
injecteerbaar geneesmiddel Daptomycin 10 mg/ml
injecteerbaar geneesmiddel Doripenem 5 mg/ml
Glucose 5% 2262
Verenigbaar
injecteerbaar geneesmiddel Daptomycin 10 mg/ml
injecteerbaar geneesmiddel Doripenem 5 mg/ml
Natriumchloride 0,9% 2262
Onmiddellijke troebelheid Onverenigbaar
injecteerbaar geneesmiddel Daptomycin 20 mg/ml
injecteerbaar geneesmiddel Fosfomycin 30 mg/ml
Natriumchloride 0,9% 4055
Verenigbaar
injecteerbaar geneesmiddel Daptomycin 19,6 mg/ml
injecteerbaar geneesmiddel Heparin sodium 98 UI/ml
Natriumchloride 0,9% 1937
Verenigbaar
injecteerbaar geneesmiddel Daptomycin
injecteerbaar geneesmiddel Heparin sodium
2271
Verenigbaar
injecteerbaar geneesmiddel Daptomycin 10 mg/ml
injecteerbaar geneesmiddel Isavuconazonium sulfate 1.5 mg/ml
Natriumchloride 0,9% 3829
Verenigbaar
injecteerbaar geneesmiddel Daptomycin 14,3 mg/ml
injecteerbaar geneesmiddel Levofloxacine 7,1 mg/ml
Natriumchloride 0,9% 1937
Verenigbaar
injecteerbaar geneesmiddel Daptomycin
injecteerbaar geneesmiddel Levofloxacine
2271
Verenigbaar
injecteerbaar geneesmiddel Daptomycin 16,7 mg/ml
injecteerbaar geneesmiddel Lidocaine hydrochloride 3,3 mg/ml
Natriumchloride 0,9% 1937
Verenigbaar
injecteerbaar geneesmiddel Daptomycin
injecteerbaar geneesmiddel Lidocaine hydrochloride
2271
Onmiddellijke troebelheid Onverenigbaar
injecteerbaar geneesmiddel Daptomycin 20 mg/ml
injecteerbaar geneesmiddel Plazomicin sulfate 24 mg/ml
Natriumchloride 0,9% 4145
Verenigbaar
injecteerbaar geneesmiddel Daptomycin
injecteerbaar geneesmiddel Posaconazole
4380
Verenigbaar
injecteerbaar geneesmiddel Daptomycin 5 mg/ml
injecteerbaar geneesmiddel Sodium bicarbonate 40 mg/ml
Geen 3122
Troebelheid in een uur Onverenigbaar
injecteerbaar geneesmiddel Daptomycin 20 mg/ml
injecteerbaar geneesmiddel Sulbactam/durlobactam 15/15 mg/ml
Natriumchloride 0,9% 4801
Verenigbaar
injecteerbaar geneesmiddel Daptomycin 10 mg/ml
injecteerbaar geneesmiddel Tedizolid phosphate 0.8 mg/ml
Natriumchloride 0,9% 3827
Verenigbaar
injecteerbaar geneesmiddel Daptomycin 21 mg/ml
injecteerbaar geneesmiddel Thiamine hydrochloride 0.2 mg/ml
Natriumchloride 0,9% 4254
Chemische instabiliteit Onverenigbaar
injecteerbaar geneesmiddel Daptomycin
Glucose 10% 3439

  Mentions Légales