Poslední aktualizace :
27/01/2026
Antibiotikas   Daptomycin  
Įpurškimas
Tirpalų stabilumas Mišinių stabilumas Stabilumą lemiantys veiksniai Suderinamumas Leidimo būdai Bibliografija pdf
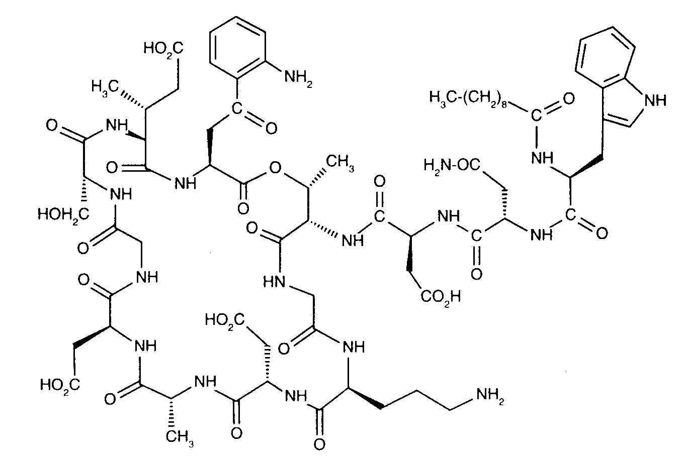
   Cheminė sandara  

Prekinis pavadinimas   Prekinis pavadinimas     

Trade names are indicative and excipients composition can be different depending on the country and manufacturers

Cubicin Airija, Argentina, Australija, Austrija, Čilė, Danija, Didžioji Britanija, Graikija, Indija, Islandija, Ispanija, Italija, Japonija, Jungtinės Amerikos Valstijos, Kanada, Kolumbija, Lenkija, Malaizija, Meksikas, Naujojoje Zelandijoje, Norvegija, Olandija, Portugalija, Prancūzija, Rumunija, Suomija, Švedija, Šveicarija, Turkija, Venesuela, Vengrija, Vokietija
Daptomicina Argentina, Ispanija, Italija
Daptomicine Didžioji Britanija, Norvegija, Suomija, Vengrija, Vokietija
Exfuno Brazilija, Čilė
Stenkivar Nigerija
Trisk Brazilija
Suderinamumas   Įpurškimas   Suderinamumas : Daptomycin              
explication_incompatibilite_molecules
Molekulė Tirpiklis Nuorodos
Suderinamas
Įpurškimas Daptomycin
Įpurškimas Aztreonam
2271
Nedelsiant krituliai Nesuderinamas
Įpurškimas Daptomycin 6.1 mg/ml
Įpurškimas Blinatumomab 0.125 & 0.375 µg/ml
Natrio chloridas 0,9% 3976
Nepatikslintas nesuderinamumas Nesuderinamas
Įpurškimas Daptomycin
Gliukozė 5% 2271
Cheminis nestabilumas Nesuderinamas
Įpurškimas Daptomycin
Gliukozė 5% 3439
Suderinamas
Įpurškimas Daptomycin 16,7 mg/ml
Įpurškimas Aztreonam 16,7 mg/ml
Natrio chloridas 0,9% 1937
Suderinamas
Įpurškimas Daptomycin
Natrio chloridas 0,9% 2271
Suderinamas
Įpurškimas Daptomycin 10 mg/ml
Įpurškimas Caspofungin acetate 0,7 mg/ml
Natrio chloridas 0,9% 2247
Nepatikslintas nesuderinamumas Nesuderinamas
Įpurškimas Daptomycin
NaCl 0,45% Gliukozė 2,5% 2271
Suderinamas
Įpurškimas Daptomycin 21 mg/ml
Įpurškimas Cefepime dihydrochloride 83.3 mg/ml
Gliukozė 5% 4254
Suderinamas
Įpurškimas Daptomycin 21 mg/ml
Įpurškimas Cefepime dihydrochloride 83.3 mg/ml
Natrio chloridas 0,9% 4254
Suderinamas
Įpurškimas Daptomycin 20 mg/ml
Įpurškimas Cefiderocol sulfate tosylate 20 mg/mL
Gliukozė 5% 4528
Suderinamas
Įpurškimas Daptomycin 20 mg/ml
Įpurškimas Cefiderocol sulfate tosylate 20 mg/mL
Natrio chloridas 0,9% 4528
Suderinamas
Įpurškimas Daptomycin
Įpurškimas Ceftazidime
2271
Suderinamas
Įpurškimas Daptomycin 16,7 mg/ml
Įpurškimas Ceftazidime 16,7 mg/ml
Natrio chloridas 0,9% 1937
Suderinamas
Įpurškimas Daptomycin 10 mg/ml
Įpurškimas Ceftolozane / tazobactam 10/5 mg/ml
Natrio chloridas 0,9% 3828
Suderinamas
Įpurškimas Daptomycin
Įpurškimas Ceftriaxone disodium
2271
Suderinamas
Įpurškimas Daptomycin 16,7 mg/ml
Įpurškimas Ceftriaxone disodium 16,7 mg/ml
Natrio chloridas 0,9% 1937
Suderinamas
Įpurškimas Daptomycin 18,2 mg/ml
Įpurškimas Dopamine hydrochloride 3,6 mg/ml
Natrio chloridas 0,9% 1937
Suderinamas
Įpurškimas Daptomycin 6,3 mg/ml
Įpurškimas Fluconazole 1,3 mg/ml
Natrio chloridas 0,9% 1937
Suderinamas
Įpurškimas Daptomycin
Įpurškimas Fluconazole
2271
Suderinamas
Įpurškimas Daptomycin 19,2 mg/ml
Įpurškimas Gentamicin sulfate 1,5 mg/ml
Natrio chloridas 0,9% 1937
Suderinamas
Įpurškimas Daptomycin
Įpurškimas Gentamicin sulfate
2271
Nepatikslintas nesuderinamumas Nesuderinamas
Įpurškimas Daptomycin
NaCl 0,45% Gliukozė 5% 2271
Suderinamas
Įpurškimas Daptomycin
Įpurškimas Dopamine hydrochloride
2271
Suderinamas
Įpurškimas Daptomycin 10 mg/ml
Įpurškimas Doripenem 5 mg/ml
Gliukozė 5% 2262
Suderinamas
Įpurškimas Daptomycin 10 mg/ml
Įpurškimas Doripenem 5 mg/ml
Natrio chloridas 0,9% 2262
Tiesioginis drumstumas Nesuderinamas
Įpurškimas Daptomycin 20 mg/ml
Įpurškimas Fosfomycin 30 mg/ml
Natrio chloridas 0,9% 4055
Suderinamas
Įpurškimas Daptomycin 19,6 mg/ml
Įpurškimas Heparin sodium 98 UI/ml
Natrio chloridas 0,9% 1937
Suderinamas
Įpurškimas Daptomycin
Įpurškimas Heparin sodium
2271
Suderinamas
Įpurškimas Daptomycin 10 mg/ml
Įpurškimas Isavuconazonium sulfate 1.5 mg/ml
Natrio chloridas 0,9% 3829
Suderinamas
Įpurškimas Daptomycin 14,3 mg/ml
Įpurškimas Levofloxacine 7,1 mg/ml
Natrio chloridas 0,9% 1937
Suderinamas
Įpurškimas Daptomycin
Įpurškimas Levofloxacine
2271
Suderinamas
Įpurškimas Daptomycin 16,7 mg/ml
Įpurškimas Lidocaine hydrochloride 3,3 mg/ml
Natrio chloridas 0,9% 1937
Suderinamas
Įpurškimas Daptomycin
Įpurškimas Lidocaine hydrochloride
2271
Tiesioginis drumstumas Nesuderinamas
Įpurškimas Daptomycin 20 mg/ml
Įpurškimas Plazomicin sulfate 24 mg/ml
Natrio chloridas 0,9% 4145
Suderinamas
Įpurškimas Daptomycin
Įpurškimas Posaconazole
4380
Suderinamas
Įpurškimas Daptomycin 5 mg/ml
Įpurškimas Sodium bicarbonate 40 mg/ml
Nėra 3122
Drumstumas per valandą Nesuderinamas
Įpurškimas Daptomycin 20 mg/ml
Įpurškimas Sulbactam/durlobactam 15/15 mg/ml
Natrio chloridas 0,9% 4801
Suderinamas
Įpurškimas Daptomycin 10 mg/ml
Įpurškimas Tedizolid phosphate 0.8 mg/ml
Natrio chloridas 0,9% 3827
Suderinamas
Įpurškimas Daptomycin 21 mg/ml
Įpurškimas Thiamine hydrochloride 0.2 mg/ml
Natrio chloridas 0,9% 4254
Cheminis nestabilumas Nesuderinamas
Įpurškimas Daptomycin
Gliukozė 10% 3439

  Mentions Légales