Последнее обновление :
18/03/2026
Антибиотик   Daptomycin  
Инъекция
Стабильность растворов Стабильность смесей Факторы, которые влияют на стабильность Совместимость Способы введения Библиография pdf
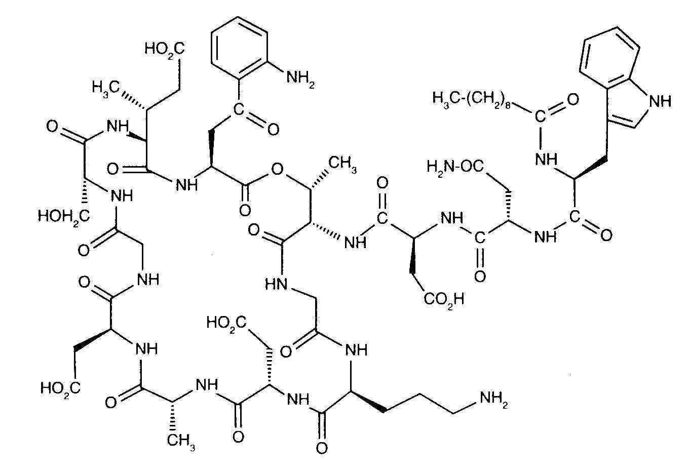
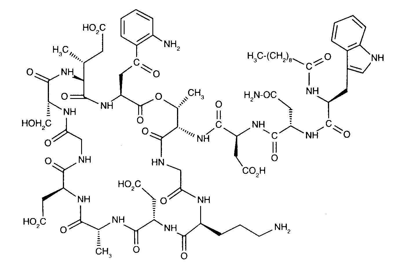
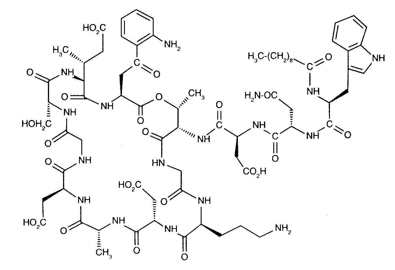
   Химическая структура  

Товарное название   Товарное название     

Trade names are indicative and excipients composition can be different depending on the country and manufacturers

Cubicin Австралия, Австрия, Аргентина, Великобритания, Венгрия, Венесуэла, Германия, Голландия, Греция, Дания, Индия, Ирландия, Исландия, Испания, Италия, Канада, Колумбия, Малайзия, Мексика, новая Зеландия, Норвегия, Польша, Португалия, Румыния, Соединённые Штаты Америки, Турция, Финляндия, Франция, чили, Швейцария, Швеция, Япония
Daptomicina Аргентина, Испания, Италия
Daptomicine Великобритания, Венгрия, Германия, Норвегия, Финляндия
Exfuno Бразилия, чили
Stenkivar Нигерия
Trisk Бразилия
Совместимость   Инъекция   Совместимость : Daptomycin              
Эта таблица показывает совместимость или несовместимость препаратов, по возможности тип несовместимости (преципитат, смена цвета, разложение эмульсии и др.). Показанные здесь совместимости в основном физические, по возможности указана и химическая стабильность каждой молекулы. Анализ этих смесей произведён для исследования возможности ввести препараты пациенту в Y-соединении систем. Эти данные нельзя использовать, чтобы приготовить лекарства на будущее в мешках или шприцах. Эта информация доступна в разделе "Стабильность смесей".
Молекула Растворитель Ссылки
совместимый
Инъекция Daptomycin
Инъекция Aztreonam
2271
Немедленные осадки несовместимый
Инъекция Daptomycin 6.1 mg/ml
Инъекция Blinatumomab 0.125 & 0.375 µg/ml
Натрия хлорид 0,9% 3976
Неопределенная несовместимость несовместимый
Инъекция Daptomycin
Глюкоза 5% 2271
Химическая нестабильность несовместимый
Инъекция Daptomycin
Глюкоза 5% 3439
совместимый
Инъекция Daptomycin 16,7 mg/ml
Инъекция Aztreonam 16,7 mg/ml
Натрия хлорид 0,9% 1937
совместимый
Инъекция Daptomycin
Натрия хлорид 0,9% 2271
совместимый
Инъекция Daptomycin 10 mg/ml
Инъекция Caspofungin acetate 0,7 mg/ml
Натрия хлорид 0,9% 2247
Неопределенная несовместимость несовместимый
Инъекция Daptomycin
NaCl 0,45% Глюкоза 2,5% 2271
совместимый
Инъекция Daptomycin 21 mg/ml
Инъекция Cefepime dihydrochloride 83.3 mg/ml
Глюкоза 5% 4254
совместимый
Инъекция Daptomycin 21 mg/ml
Инъекция Cefepime dihydrochloride 83.3 mg/ml
Натрия хлорид 0,9% 4254
совместимый
Инъекция Daptomycin 20 mg/ml
Инъекция Cefiderocol sulfate tosylate 20 mg/mL
Глюкоза 5% 4528
совместимый
Инъекция Daptomycin 20 mg/ml
Инъекция Cefiderocol sulfate tosylate 20 mg/mL
Натрия хлорид 0,9% 4528
совместимый
Инъекция Daptomycin
Инъекция Ceftazidime
2271
совместимый
Инъекция Daptomycin 16,7 mg/ml
Инъекция Ceftazidime 16,7 mg/ml
Натрия хлорид 0,9% 1937
совместимый
Инъекция Daptomycin 10 mg/ml
Инъекция Ceftolozane / tazobactam 10/5 mg/ml
Натрия хлорид 0,9% 3828
совместимый
Инъекция Daptomycin
Инъекция Ceftriaxone disodium
2271
совместимый
Инъекция Daptomycin 16,7 mg/ml
Инъекция Ceftriaxone disodium 16,7 mg/ml
Натрия хлорид 0,9% 1937
совместимый
Инъекция Daptomycin 18,2 mg/ml
Инъекция Dopamine hydrochloride 3,6 mg/ml
Натрия хлорид 0,9% 1937
совместимый
Инъекция Daptomycin 6,3 mg/ml
Инъекция Fluconazole 1,3 mg/ml
Натрия хлорид 0,9% 1937
совместимый
Инъекция Daptomycin
Инъекция Fluconazole
2271
совместимый
Инъекция Daptomycin 19,2 mg/ml
Инъекция Gentamicin sulfate 1,5 mg/ml
Натрия хлорид 0,9% 1937
совместимый
Инъекция Daptomycin
Инъекция Gentamicin sulfate
2271
Неопределенная несовместимость несовместимый
Инъекция Daptomycin
NaCl 0,45% Глюкоза 5% 2271
совместимый
Инъекция Daptomycin
Инъекция Dopamine hydrochloride
2271
совместимый
Инъекция Daptomycin 10 mg/ml
Инъекция Doripenem 5 mg/ml
Глюкоза 5% 2262
совместимый
Инъекция Daptomycin 10 mg/ml
Инъекция Doripenem 5 mg/ml
Натрия хлорид 0,9% 2262
Немедленная мутность несовместимый
Инъекция Daptomycin 20 mg/ml
Инъекция Fosfomycin 30 mg/ml
Натрия хлорид 0,9% 4055
совместимый
Инъекция Daptomycin 19,6 mg/ml
Инъекция Heparin sodium 98 UI/ml
Натрия хлорид 0,9% 1937
совместимый
Инъекция Daptomycin
Инъекция Heparin sodium
2271
совместимый
Инъекция Daptomycin 10 mg/ml
Инъекция Isavuconazonium sulfate 1.5 mg/ml
Натрия хлорид 0,9% 3829
совместимый
Инъекция Daptomycin 14,3 mg/ml
Инъекция Levofloxacine 7,1 mg/ml
Натрия хлорид 0,9% 1937
совместимый
Инъекция Daptomycin
Инъекция Levofloxacine
2271
совместимый
Инъекция Daptomycin 16,7 mg/ml
Инъекция Lidocaine hydrochloride 3,3 mg/ml
Натрия хлорид 0,9% 1937
совместимый
Инъекция Daptomycin
Инъекция Lidocaine hydrochloride
2271
Немедленная мутность несовместимый
Инъекция Daptomycin 20 mg/ml
Инъекция Plazomicin sulfate 24 mg/ml
Натрия хлорид 0,9% 4145
совместимый
Инъекция Daptomycin
Инъекция Posaconazole
4380
совместимый
Инъекция Daptomycin 5 mg/ml
Инъекция Sodium bicarbonate 40 mg/ml
Нет 3122
Мутность за один час несовместимый
Инъекция Daptomycin 20 mg/ml
Инъекция Sulbactam/durlobactam 15/15 mg/ml
Натрия хлорид 0,9% 4801
совместимый
Инъекция Daptomycin 10 mg/ml
Инъекция Tedizolid phosphate 0.8 mg/ml
Натрия хлорид 0,9% 3827
совместимый
Инъекция Daptomycin 21 mg/ml
Инъекция Thiamine hydrochloride 0.2 mg/ml
Натрия хлорид 0,9% 4254
Химическая нестабильность несовместимый
Инъекция Daptomycin
Глюкоза 10% 3439

  Mentions Légales